免费智能真题库 > 历年试卷 > 软件评测师 > 2020年下半年 软件评测师 上午试卷 综合知识
  第25题      
  关键词:   表达式   后缀式        章/节:   程序设计语言知识       

 
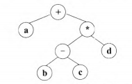
某表达式的语法树如下图所示,其后缀式(逆波兰式)是(25)。
 
 
  A.  a b c d - + *
 
  B.  a b -
 
  C.  a b c - d *+
 
  D.  a b-c d + *
 
 
 

  相关试题:程序设计语言知识          更多>  
 
  第63题    2025年上半年  
   0%
将源程序中多处使用的同一个常数定义为常量并命名,( )。
  第43题    2013年下半年  
   37%
在面向对象技术中,(43)是一组具有相同结构、相同服务、共同关系和共同语义的(44)集合,其定义包括名称、属性和操作。
  第49题    2019年下半年  
   50%
下图是(47)设计模式的类图,该设计模式的目的是(48)。该图中,Handler和Handler之间是(49)关系,Handler和ConcreteHandler之间是(..
   题号导航      2020年下半年 软件评测师 上午试卷 综合知识   本试卷我的完整做题情况  
1 /
2 /
3 /
4 /
5 /
6 /
7 /
8 /
9 /
10 /
11 /
12 /
13 /
14 /
15 /
 
16 /
17 /
18 /
19 /
20 /
21 /
22 /
23 /
24 /
25 /
26 /
27 /
28 /
29 /
30 /
 
31 /
32 /
33 /
34 /
35 /
36 /
37 /
38 /
39 /
40 /
41 /
42 /
43 /
44 /
45 /
 
46 /
47 /
48 /
49 /
50 /
51 /
52 /
53 /
54 /
55 /
56 /
57 /
58 /
59 /
60 /
 
61 /
62 /
63 /
64 /
65 /
66 /
67 /
68 /
69 /
70 /
71 /
72 /
73 /
74 /
75 /
 
第25题    在手机中做本题