免费智能真题库 > 历年试卷 > 信息系统项目管理师 > 2016年上半年 信息系统项目管理师 上午试卷 综合知识
  第70题      
  章/节:   运筹学基本方法       

 
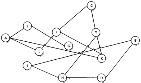
从任一节点走到相连的下一节点算一步,在下图中,从A节点到B节点至少需(70)步。
 
 
  A.  4
 
  B.  5
 
  C.  7
 
  D.  6
 
 
 

  相关试题:运筹学基本方法          更多>  
 
  第67题    2011年上半年  
   51%
某企业需要采用甲、乙、丙三种原材料生产Ⅰ、Ⅱ两种产品。生产两种产品所需原材料数量、单位产品可获得利润以及企业现有原材料数..
  第70题    2018年上半年  
   34%
某拟建项目财务净现金流量如下表所示,该项目的静态投资回收期是( )年。
  第67题    2013年上半年  
   58%
编号1、2、3、4、5、6的6个城市的距离矩阵如表2所示,设推销员从1城出发,经过每个城市一次且仅一次,最后回到1城,选择适当的路..
   题号导航      2016年上半年 信息系统项目管理师 上午试卷 综合知识   本试卷我的完整做题情况  
1 /
2 /
3 /
4 /
5 /
6 /
7 /
8 /
9 /
10 /
11 /
12 /
13 /
14 /
15 /
 
16 /
17 /
18 /
19 /
20 /
21 /
22 /
23 /
24 /
25 /
26 /
27 /
28 /
29 /
30 /
 
31 /
32 /
33 /
34 /
35 /
36 /
37 /
38 /
39 /
40 /
41 /
42 /
43 /
44 /
45 /
 
46 /
47 /
48 /
49 /
50 /
51 /
52 /
53 /
54 /
55 /
56 /
57 /
58 /
59 /
60 /
 
61 /
62 /
63 /
64 /
65 /
66 /
67 /
68 /
69 /
70 /
71 /
72 /
73 /
74 /
75 /
 
第70题    在手机中做本题