免费智能真题库 > 历年试卷 > 系统架构设计师 > 2014年下半年 系统架构设计师 上午试卷 综合知识
  第2题      
  章/节:   操作系统       

 
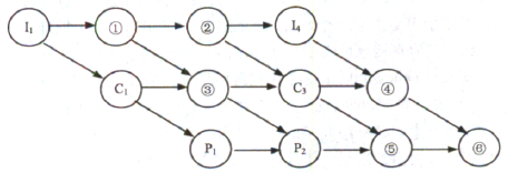
某计算机系统中有一个CPU、一台输入设备和一台输出设备,假设系统中有四个作业T1、T2、T3和T4,系统采用优先级调度,且T1的优先级>T2的优先级>T3的优先级>T4的优先级。每个作业具有三个程序段:输入Ii、计算Ci和输出Pi(i=1,2,3,4),其执行顺序为Ii→Ci→Pi。这四个作业各程序段并发执行的前驱图如下所示。图中①、②、③分别为(1),④、⑤、⑥分别为(2)。
 
 
  A.  C2、C4、P4
 
  B.  I2、I3、C4
 
  C.  I3、P3、P4
 
  D.  C4、P3、P4
 
 
 

  相关试题:操作系统          更多>  
 
  第1题    2009年下半年  
   31%
计算机系统中硬件层之上的软件通常按照三层来划分,如下图所示,图中①②③分别表示(1) 。
  第66题    2021年下半年  
   44%
某文件系统文件存储采用文件索引节点法。假设文件索引节点中有8个地址项iaddr[0]~iaddr[7],每个地址项大小为4字节,其中地址项..
  第4题    2024年上半年  
   13%
()是最简单的一种调度算法。它的基本思想就是按照任务到达的先后次序来进行调度。它是一种不可抢占的调度方式,如果当前任乡占用..
   题号导航      2014年下半年 系统架构设计师 上午试卷 综合知识   本试卷我的完整做题情况  
1 /
2 /
3 /
4 /
5 /
6 /
7 /
8 /
9 /
10 /
11 /
12 /
13 /
14 /
15 /
 
16 /
17 /
18 /
19 /
20 /
21 /
22 /
23 /
24 /
25 /
26 /
27 /
28 /
29 /
30 /
 
31 /
32 /
33 /
34 /
35 /
36 /
37 /
38 /
39 /
40 /
41 /
42 /
43 /
44 /
45 /
 
46 /
47 /
48 /
49 /
50 /
51 /
52 /
53 /
54 /
55 /
56 /
57 /
58 /
59 /
60 /
 
61 /
62 /
63 /
64 /
65 /
66 /
67 /
68 /
69 /
70 /
71 /
72 /
73 /
74 /
75 /
 
第2题    在手机中做本题