鸽巢原理
考试要求: 掌握     
知识路径:  > 应用数学  > 组合分析  > 组合分析


 
       鸽巢原理(抽屉原理,鸽笼原理)的简单形式定义如下:
       若n+1个物体(鸽子)被放进n个盒子(巢)中,则至少有一个盒子(巢)将存有2个或2个以上的物体(鸽子)。
       例如,13个人中必有至少两个人的生日是在同一个月中。
       鸽巢原理的推广:设kn都是任意的正整数。若至少有kn+1个物体被放进n个盒子中,则至少存在一个盒子中有至少k+1个物体。
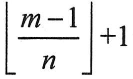
       推论1:m个物体,n个盒子,则至少有一个盒子里有不少于个物体。
       推论2:若取nm-1)+1个球放进n个盒子,则至少有1个盒子有m个球。
       鸽巢原理的强形式定义:设有p1+p2+…+pn-n+1个物体,有标号分别为1,2,…,n的盒子,则存在至少一个标号为j的盒子至少有pj个物体,j=1,2,…,n
       例:在一个水果中放入苹果、香和子。那么需要在一个水果中最少放多少个水果,才能保证水果中至少有8个苹果或6个香或9个子。
       解:依据鸽巢原理的强形式定义,应该为8+6+9-3+1=21个水果。
       例:在一个中有100个苹果,100个香,100个子和100个生。如果现在每分钟从中拿出一个水果,请问需要多久时间才能确保从中已取出12个同一种类的水果。
       解:根据鸽巢原理,应该取n=4(有4种类型的水果),k+1=12,k=11,从而kn+1=11×4+1=45。即需要45分钟时间就能确保从中取出12个同一种类水果。
 

更多复习资料
请登录电脑版软考在线 www.rkpass.cn

京B2-20210865 | 京ICP备2020040059号-5
京公网安备 11010502032051号 | 营业执照
 Copyright ©2000-2025 All Rights Reserved
软考在线版权所有