容斥原理
考试要求: 掌握     
知识路径:  > 应用数学  > 组合分析  > 组合分析


 
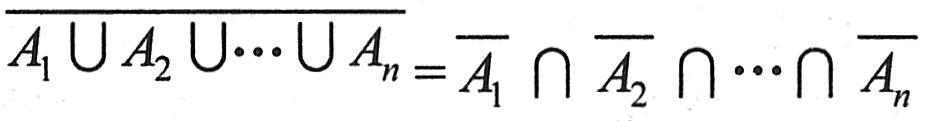
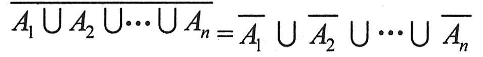
       学习容斥原理之前,我们先介绍德摩根定理(De Morgan)定理。
       德摩根定理:A1A2,…,An是集合U的子集,则
       (a)
       (b)
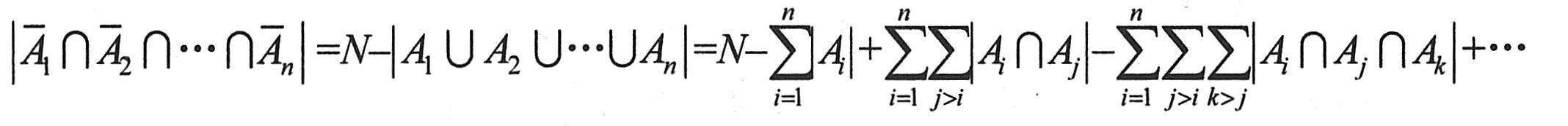
       容斥原理的两个基本公式:
       公式一:设A1A2,…,An是有限集合,且都是集合U的子集,则
       
       公式二:设A1A2,…,An是有限集合,且都是集合U的子集,N为集合U的元素个数,则
       
       
       显然,|AB|=|A|+|B|-|AB|,
       |ABC|=|A|+|B|+|C|-|AB|-|AC|-|BC|+|ABC|
       例:某进修学校只开设了数学、物理和化学这3门课程。该学校规定在校学生必须至少修一门课程。已知修这3门课程的学生分别有170、130和120人;同时修数学和物理课程、数学和化学课程、物理和化学课程的学生分别有45、20和22人;同时修这3门课程的学生有3人。请问该学校共有多少学生?
       解:MPC分别为修数学、物理和化学课程的学生集合。根据题意得:
       |M|=170,|P|=130,|C|=120,|MP|=45,|MC|=20,|PC|=22,|MPC|=3
       该校共有学生|MPC|=|M|+|P|+|C|-(|MP|+|MC|+|PC|)+|MPC|=170+130+120-45-20-22+3=336(人)。
 

更多复习资料
请登录电脑版软考在线 www.rkpass.cn

京B2-20210865 | 京ICP备2020040059号-5
京公网安备 11010502032051号 | 营业执照
 Copyright ©2000-2025 All Rights Reserved
软考在线版权所有