活动时间估计
考试要求: 掌握     
知识路径:  > 信息工程项目管理知识  > 进度控制  > 进度控制计划管理各阶段监理的主要内容


 
       PERT对各个项目活动的完成时间按三种不同情况进行估计。
       (1)乐观时间(optimistic time):任何事情都顺利的情况下完成某项工作的时间。
       (2)最可能时间(mostlikely time):正常情况下完成某项工作的时间。
       (3)悲观时间(pessimistic time):最不利的情况下完成某项工作的时间。
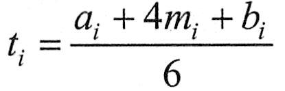
       假定三个估计服从β分布,由此可以算出每个活动的期望ti
       
       其中:ai表示第i项活动的乐观时间,mi表示第i项活动的最可能时间,bi表示第i项活动的悲观时间。
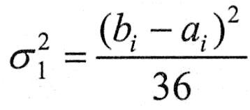
       根据β分布的方差计算方法,第i项活动的持续时间方差为:
       
       例如,某政府OA系统的建设可分解为需求分析、设计编码、测试及安装部署4个活动,各个活动顺次进行,没有时间上的重叠,活动的完成时间估计如下图所示。
       
       OA系统工作分解和活动工期估计
       则各活动的期望工期和方差为:
       
 

更多复习资料
请登录电脑版软考在线 www.rkpass.cn

京B2-20210865 | 京ICP备2020040059号-5
京公网安备 11010502032051号 | 营业执照
 Copyright ©2000-2025 All Rights Reserved
软考在线版权所有