全部科目 > 电子商务设计师 >
2017年下半年 下午试卷 案例
第 3 题
知识点 白盒测试   动态测试   程序流程图   电子商务  
 
 
【说明】
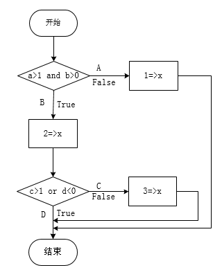
某公司需开发二千套电子商务系统,为保证开发进度和开发质量,专门组建测试小组对开发的全过程进行测试,其中,某测试员需要对如图3-1所示的程序进行测试,采用的方法是白盒测试动态测试方式。该程序共有3条路径,分别为P1 (AD)、P2 (BD) 和P3(BCD) 。

                                  图3-1程序流程图
 
问题:3.1   (2分)
如果采用语句覆盖法进行测试,满足条件的路径是 (1)、(2)。
问题:3.2   (4分)
如果采用判定覆盖法进行测试,测试用例表如表3-1所示(用例不分顺序)。
注:答案必须从备选答案中选出。

(3)〜(6)的备选答案:
A.a=2,b=-1    
B.a=2,b=1,c=3    
C.a=2,b=1,c=0,d=4     
D.a=1,b=2,c=3,d=4    
E.P1
F.P2
G.P3
问题:3.3   (1分)
条件覆盖是设计测试用例,使每个判断中每个条件的可能取值至少满足一次,因此采用条件覆盖法进行测试,一般需要设计两组测试用例,如果第一组测试用例设计为:a=2,b=0,c=2,d=0,则另一组测试对应的路径为(7)。
问题:3.4   (4分)
如果采用判定一条件覆盖法进行测试,测试用例表如表3-2所示 (用例不分顺序)。
注:答案必须从备选答案中选出。

(8)~(11)的备选答案:
A.a=2,b=-1,c=2,d=-1  B.a=3,b=0,c=3,d=-2  C.a=2,b=1,c=-3,d=4
D.a=0,b=2,c=3,d=4
E.P1
F.P2
G.P3
问题:3.5   (4分)
如果采用条件组合覆盖法进行测试,测试用例表如表2-3所示(用例不分顺序)。
注:答案必须从备选答案中选出。

(12)~(15)的备选答案:
A.a=2,b=-1,c=2,d=1 B.a=-3,b=1,c=-3,d=-2 C.a=2,b=1,c=-3,d=4
D.a=2,b=-2,c=3,d=4
E.P1
F.P2
G.P3




 
 
 
知识点讲解
· 白盒测试
· 动态测试
· 程序流程图
· 电子商务
 
        白盒测试
        白盒测试是对软件的开发过程中细节做细致的检查,把测试对象看作一个打开的盒子,它允许测试人员利用程序内部的逻辑结构及有关信息,设计或选择测试用例,对程序所有的逻辑路径进行测试。通过在不同点检查程序状态,以确定实际状态是否与预期的状态一致。因此,白盒测试又称为结构测试或逻辑驱动测试。
        白盒测试只测试软件产品的内部结构和处理过程,而不测试软件产品的功能。白盒测试用于纠正软件系统在描述、表示和规格上的错误,是进一步测试的前提。
        白盒测试方法分为静态测试和动态测试。静态测试是不通过执行程序而进行的测试,用于检查软件的表现和需求规格说明描述是否一致。动态测试是指软件执行时,在模拟或真实的软件环境中对软件系统执行之前、执行之中和执行之后进行测试,根据程序的控制结构设计测试用例,具体原则如下:
        (1)保证一个模块中的所有独立路径至少被使用一次。
        (2)对所有的逻辑值均需测试true和false。
        (3)在上下边界及可操作范围内运行所有循环。
        (4)检查内部数据结构以确保其有效性。
               逻辑覆盖法
               逻辑覆盖法又称为控制流覆盖,是选择一组实体以满足覆盖标准,如语句覆盖、判定覆盖、条件覆盖、判定-条件覆盖、条件组合覆盖和路径覆盖等,然后再选择一组覆盖该组实体的有限路径。下面通过示例来讲解逻辑覆盖方法。
               基本路径测试法
               基本路径测试法是在程序控制流图的基础上,通过分析控制构造的环路复杂性,导出基本可执行路径的集合,从而设计测试用例的方法。
               基本路径测试的关注点在于条件判定节点与循环节点对程序路径带来的复杂度的提高,它通过对程序执行路径的遍历来实现程序的覆盖。该法所遵循的基本测试原则是:对程序模块的所有独立执行路径至少测试一次。
                      程序的控制流图
                      程序的控制流图(可简称流图)是对程序流程图进行简化后得到的,它可以更加突出地表示程序控制流的结构,如下图所示。
                      
                      控制流图的图形符号
                      控制流图中包括两种图形符号:结点和控制流线。
                      结点由带标号的圆圈表示,可代表一个或多个语句、一个处理框序列和一个条件判定框(假设不包含复合条件)。
                      控制流线由带箭头的弧或线表示,可称为边。它代表程序中的控制流。
                      环形复杂度
                      环形复杂度也称为圈复杂度,它是一种为程序逻辑复杂度提供定量尺度的软件度量。
                      可以将环形复杂度用于程序基本路径测试。环形复杂度可以提供:程序基本集的独立路径数量和确保所有语句至少执行一次的测试数量的上界。
                      其中独立路径是指程序中至少引入了一个新的处理语句集合或一个新条件的程序通路,即独立路径必须至少包含一条在本次定义路径之前不曾用过的边。
                      测试可以被设计为基本路径集的执行过程,但基本路径集通常并不唯一。
                      环形复杂度以图论为基础,为我们提供了非常有用的软件度量。可用如下三种方法之一来计算环形复杂度:
                      (1)控制流图中区域的数量对应于环形复杂度。
                      (2)给定控制流图G的环形复杂度V(G),定义为
                      V(G)=E-N+2
                      其中,E是控制流图中边的数量,N是控制流图中的节点数量。
                      (3)给定控制流图G的环形复杂度V(G),也可定义为
                      V(G)=P+1
                      其中,P是控制流图G中判定节点的数量。
                      基本路径测试法步骤
                      基本路径测试方法包括以下4个步骤:
                      ①画出程序的控制流图。
                      ②计算得到控制流图G的环形复杂度V(G),导出程序基本路径集中的独立路径条数,这是确定程序中每个可执行语句至少执行一次所必须的测试用例数目的上界。
                      ③导出基本路径集,确定程序的独立路径。
                      ④根据③中的独立路径,设计测试用例的输入数据和预期输出。
 
        动态测试
        动态测试也称为机器测试,就是直接在计算机上运行所要测试的软件,从实际运行的结果发现并纠正错误。动态测试主要是通过动态分析以及程序测试来检查程序的执行状态,以确认程序的正确性。动态测试的工作包括设计一组测试用例,执行被测试的程序,分析执行后的结果并发现错误。
        动态测试的基本思想是:将程序视为一个函数,该函数描述了程序的输入与输出的关系。输入的全体称为函数的定义域,输出的全体称为函数的值域。动态测试的过程实际上是取定义域中每个数位作为输入,实际运行程序,判定执行结果是否全部包含在函数的值域中,用以检验程序的正确性、有效性和可靠性。
        具体地讲,一个动态测试过程可以分为以下5个步骤:
        ①选取定义域中的有效值,或定义域外无效值。
        ②对已选取的值确定其预期的结果。
        ③用选取的位作为输入,执行程序。
        ④观察程序的行为,记录其执行结果。
        ⑤将第④步的结果(程序执行结果)与第②步的结果(预期结果)相比较,不吻合则表明程序存在错误。
        用定义域中的每个元素执行上述测试过程,可以证明程序中是否存在错误,这就是穷尽测试。实际使用的测试方法是一种抽样检查,它把穷尽测试变成一个可行的测试过程。为了进行选择测试,首先就要寻找一个合适的定义域中具有代表性的测试数据集。专家们已经证明,并不存在寻找测试数据集的标准算法。而测试用例中的预期结果实际上是与所选出来的定义域子集相对应的值域子集。
        常用的动态测试方法有白盒测试和黑盒测试。白盒测试和黑盒测试是软件测试中的两大方法,传统的测试活动基本上都可以划到这两类方法当中。如果了解软件产品的内部逻辑结构,针对某些特定条件设计测试用例对软件的逻辑路径进行测试,可以用白盒法。如果已经了解软件产品规定的功能,测试是为了证实各个功能已经被软件实现,并在各功能中查找其中的错误,可以用黑盒法。
 
        程序流程图
        1)基本符号
        流程图的基本符号如下图所示。
        
        流程图的基本符号
        2)流程图的结构
        任何复杂的算法,都可以由顺序结构、选择(分支)结构和循环结构这三种基本结构组成。流程图中,也仅以这三种基本结构作为"建筑单元",遵守三种基本结构的规范,基本结构之间可以并列、相互包含,但不允许交叉,即不允许从一个结构直接转到另一个结构的内部去。正因为整个算法都是由三种基本结构组成的,就像用模块构建的一样,所以结构清晰,易于正确性验证及纠错。
        (1)顺序结构。顺序结构是简单的线性结构,各框按顺序执行。其流程图的基本形态如下图所示,语句的执行顺序为:A→B→C。
        
        顺序结构流程图
        (2)选择(分支)结构。这种结构是对某个给定条件进行判断,条件为真或假时分别执行不同的框的内容。其基本形状有两种,如下图(a)和下图(b)所示。下图(a)的执行序列为:当条件为真时执行A,当条件为假时执行B;下图(b)的执行序列为:当条件为真时执行A,当条件为假时什么也不做。
        
        选择(分支)结构流程图
        (3)循环结构。循环结构有while型循环和do…while型循环两种基本形态。
        .while型循环:如下图所示。其执行序列为:当条件为真时,反复执行A,一旦条件为假,跳出循环,执行循环紧后的语句。
        
        while循环流程图
        .do…while型循环:如下图所示。执行序列为:首先执行A,再判断条件,条件为真时,一直循环执行A,一旦条件为假,结束循环,执行循环紧后的下一条语句。
        
        do…while循环流程图
        在上2图和上1图中,A被称为循环体,条件被称为循环控制条件。
 
        电子商务
        加快发展电子商务,是企业降低成本、提高效率、拓展市场和创新经营模式的有效手段,是提升产业和资源的组织化程度、转变经济发展方式、提高经济运行质量和增强国际竞争力的重要途径,对于优化产业结构、支撑战略性新兴产业发展和形成新的经济增长点具有非常重要的作用,对于满足和提升消费需求、改善民生和带动就业具有十分重要的意义,对于经济和社会可持续发展具有愈加深远的影响。
               电子商务的概念
               对于电子商务至今尚无统一定义,根据电子商务发展历程,电子商务概念可分为原始电子商务与现代电子商务。
               (1)原始电子商务概念。使用电子信息技术工具进行商务活动。凡使用了诸如电报、电话、广播、电视、传真以及计算机、计算机网络等手段、工具和技术进行商务活动,都可以称之为电子商务。
               (2)现代电子商务概念。电子商务通常是指在网络环境下,买卖双方不需见面,实现网上(线上)交易、在线支付(或者货到付款)、智能配送以及相关综合服务的一切活动,是完全创新的或者在一定程度上模拟传统商务流程的一种以信息化手段应用为典型特征的商业运营模式。可以认为EDI(电子数据交换)是连接原始电子商务和现代电子商务的纽带。
               电子商务的功能
               电子商务本质上是依靠信息技术,将贸易(交易)中涉及的信息流、资金流、物流、服务评价管理、售后管理、客户管理等整合在网络之上的业务集合。主要功能包括:广告宣传、咨询洽谈、网上订购、网上支付、交易管理、商品推送、商户管理、账户管理、供应链管理等等。
               电子商务应该具有以下基本特征:
               (1)普遍性。电子商务作为一种新型的交易方式,将生产企业、流通企业、消费者以及金融企业和监管者集成到了数字化的网络经济中。
               (2)便利性。参与电子商务的各方不受地域、环境、交易时间的限制,能以非常简洁的方式完成传统上较为繁杂的商务活动。
               (3)整体性。电子商务能够规范事务处理的工作流程,将人工操作和电子信息处理集成为一个不可分割的整体,保证交易过程的规范和严谨。
               (4)安全性。与传统的商务活动不同,电子商务必须采取诸如加密、身份认证、防入侵、数字签名、防病毒等技术手段确保交易活动的安全性。
               (5)协调性。商务活动本身是一种磋商、协调的过程,客户与企业之间、企业与企业之间、客户与金融服务部门之间、企业与金融服务部门之间、企业与配送部门之间等需要有序地协作,共同配合来完成交易。
               电子商务系统的结构和要点
               电子商务不仅包括信息技术,还包括交易规则、法律法规和各种技术规范、电子商务系统的结构如下图所示。
               
               电子商务系统的结构
               电子商务的基础设施包括4个,即网络基础设施、多媒体内容和网络出版的基础设施、报文和信息传播的基础设施、商业服务的基础设施。此外,技术标准,政策、法律等是电子商务系统的重要保障。
               (1)网络基础设施。网络基础设施主要是信息传输平台,这个信息传输平台主要运行TCP/IP网络协议,承载在电信通信网、有线电视网、专线网络之上,接入方式除了传统计算机有线网络之外,无线网络(4G或WiFi)也是非常便利和普及的接入技术。
               (2)多媒体内容和网络出版的基础设施。多媒体内容和网络出版的基础设施主要负责管理电子商务活动涉及的各种信息,包括文字、语音、图像、视频等,采用的信息技术主要包括:
               .数据库及数据库管理系统,负责多媒体信息的存储和管理。
               . Web服务器系统,负责信息的发布和展示,提供客户与电子商务系统交互的接口。
               .搜索工具,便于客户快速准确地找到有关信息。
               .内容和出版管理工具,负责网页内容的编辑和组织。
               (3)报文和信息传播的基础设施。报文和信息传播的基础设施负责提供传播信息的工具和方式,包括电子邮件系统、在线交流系统、基于HTTP或HTTPS的信息传输系统、流媒体播放系统等。
               (4)商业服务的基础设施。商业服务的基础设施负责提供实现标准的网上商务活动的服务,包括:价格目录、电子支付网关、安全认证等。
               (5)技术标准。技术标准是信息发布和传递的基础,是网上信息一致性的保证。包括:用户接口、传输协议、信息发布标准、安全协议等技术标准。
               (6)政策和法律。政策包括围绕电子商务的税收制度、信用管理及收费、隐私问题等由政府制定的规章或制度。
               电子商务相关法律包括消费者权益保护、隐私保护、电子商务交易真实性认定、知识产权保护等方面的立法或法规。
               电子商务作为一门综合性的新兴商务活动,涉及面相当广泛,包括信息技术、金融、法律和市场等多种领域,这就决定了与电子商务相关的标准体系十分庞杂,几乎涵盖了现代信息技术的全部标准范围及尚待进一步规范的网络环境下的交易规则。安全、认证、支付和接口等标准是有待制定和完善的内容。
               电子商务的类型
               按照依托网络类型来划分,电子商务分为EDI(电子数据交换)商务、Internet(互联网)商务、Intranet(企业内部网)商务和Extranet(企业外部网)商务。
               按照交易的内容,电子商务可以分为直接电子商务和间接电子商务。直接电子商务向客户提供无形商品和各种服务,如电子书、软件、在线读物、视频、证券、期货、旅游产品等等,这些产品和服务可以直接通过网络向客户交付。间接电子商务包括向客户提供实体商品(有形商品)及有关服务,由于要求在广泛地域和严格时限内送达,一般会将商品和服务交由现代物流配送公司和专业服务机构去完成配送工作。
               按照交易对象,电子商务模式包括:企业与企业之间的电子商务(B2B)、商业企业与消费者之间的电子商务(B2C)、消费者与消费者之间的电子商务(C2C),电子商务与线下实体店有机结合向消费者提供商品和服务,称为020模式。
               (1)B2B模式即Business To Business,就是企业和企业之间通过互联网进行产品、服务及信息的交换,其发展经过了电子数据交换(EDI)、基本的电子商务(Basic e-commerce)、电子交易集市和协同商务等4个阶段。阿里巴巴(alibaba.com)是典型的B2B电子商务企业。
               (2)B2C模式即Business To Consumer,就是企业和消费者个人之间的电子商务,一般以零售业为主,企业向消费者提供网上购物环境,消费者通过Internet访问相关网站进行咨询、购买活动。京东、当当、苏宁等是典型的B2C电子商务企业。
               (3)C2C模式即Consumer To Consumer,就是消费者和消费者之间通过电子商务交易平台进行交易的一种商务模式,由于是个人与个人的交易,大众化成了C2C的最大特点。诚信在这种模式中对买卖行为影响巨大,并具有很高的商业价值,而假货问题是监管的重点。淘宝、易趣等是典型的C2C电子商务交易平台,电子交易平台不仅提供交易的网络环境,还扮演着管理者的角色。
               (4)020模式即Online To Offline,含义是线上购买线下的商品和服务,实体店提货或者享受服务。020平台在网上把线下实体店的团购、优惠的信息推送给互联网用户,从而将这些用户转换为实体店的线下客户。借助020,能够迅速地促进门店销售,特别适合餐饮、院线、会所等服务连锁企业,并且通过网络能够迅速掌控消费者的最新反馈,进行个性化服务和获取高粘度重复消费。
               电子商务对国民经济和社会发展的意义和作用
               (1)推动国民经济增长方式转变。电子商务是国民经济和社会信息化的重要组成部分,已经成为推动国民经济发展的新动力。发展电子商务是以信息化带动工业化、促进我国产业结构调整、推动经济增长方式由粗放型向集约型转变、提高国民经济运行质量和效率、走新型工业化道路的重大举措,对实现全面建设小康社会的宏伟目标具有十分重要的意义。
               (2)迎接经济全球化的机遇和挑战。加快电子商务发展是应对经济全球化带来的机遇和挑战、也是把握发展主动权、提高国际竞争力的必然选择,有利于提高我国在全球范围内配置资源的能力,提升我国经济的国际地位。
               (3)促进社会主义市场经济体制走向完善。电子商务发展将有力地促进商品和各种生产生活要素的流动,削弱妨碍公平竞争的制约因素,降低交易成本,推动全国统一市场的形成与完善,更好地实现市场对资源的基础性配置作用。
               我国电子商务现状和特点
               近些年,我国电子商务保持了持续快速发展的良好态势,电子商务不断普及和深化电子商务在我国工业、农业、商贸流通、交通运输、金融、旅游和城乡消费等各个领域的应用不断得到拓展,应用水平不断提高,正在形成与实体经济深度融合的发展态势。跨境电子商务活动日益频繁,移动电子商务成为发展亮点。大型企业网上采购和销售的比重逐年上升,部分企业的电子商务正在向与研发设计、生产制造和经营管理等业务集成协同的方向发展。电子商务在中小企业中的应用普及率迅速提高,网络交易额迅速增长占社会消费品零售总额比重逐年上升,成为拉动需求、优化消费结构的重要途径。
               电子商务支撑水平快速提高,电子商务平台服务、信用服务、电子支付、现代物流和电子认证等支撑体系加快完善。围绕电子商务信息、交易和技术等的服务企业不断涌现。电子商务信息和交易平台正在向专业化和集成化的方向发展。社会信用环境不断改善,为电子商务的诚信交易创造了有利的条件。网上支付、移动支付、电话支付等新兴支付服务发展迅猛。现代物流业快速发展,对电子商务的支撑能力不断增强,特别是网络零售带动了快递服务的迅速发展,2015年全年,全国快递服务企业业务量累计完成206.7亿件,同比增长48%,业务收入累计完成2769.6亿元,同比增长35.4%。通信运营商、软硬件及服务提供商等纷纷涉足电子商务,为用户提供相关服务。随着电子商务规模的不断扩大,各地政府大力推进电商发展,电子商务对于快递等上下游行业都有很强的带动作用,由此衍生出来的就业市场大幅增加。随之而来的客服、配送、技术等岗位供不应求。根据《国务院关于促进快递业发展的若干意见》,到2020年,我国快递市场规模稳居世界首位,快递年业务量达到500亿件,年业务收入达到8000亿元,年均新增就业岗位约20万个,全年支撑网络零售交易额突破10万亿元,日均服务用户2.7亿人次以上,有效降低商品流通成本。
               电子商务发展环境不断改善。网络用户规模快速增长,2015年互联网普及率达50.3%,网民规模达到6.88亿(数据来源:中国互联网络信息中心),移动电话用户总数达13.06亿户,移动电话用户普及率达95.5部/百人,其中,4G移动电话用户总数达38622.5万户,在移动电话用户中的渗透率达到29.6%(工业和信息化部,2015年通信运营业统计公报。网络服务能力不断提升,资费水平不断降低。全社会电子商务应用意识不断增强,应用技能得到有效提高。电子商务国际交流与合作日益广泛。相关部门协同推进电子商务发展的工作机制初步建立,围绕促进发展电子认证、网络购物、网上交易和支付服务等主题,出台了一系列政策、规章和标准规范,为构建适合国情和发展规律的电子商务制度环境进行了积极探索。
               总体而言,中国经济发展“电商化”趋势日益明显,电商交易规模和创新应用再创历史新高,网络交易量直线上升,电子商务的大发展大繁荣,对于中国经济无疑是一个新的增长点。同时,电子商务已经深刻影响传统IT市场和传统产业,业务模式和商业模式的变革正在对零售、教育、医疗、汽车、农业、化工、环保、能源等行业产生深刻影响,对传统行业的升级换代起到重要作用。
               加快电子商务发展的指导思想和基本原则
               (1)加快电子商务发展的指导思想。
               按照科学发展观的要求,紧紧围绕转变经济增长方式、提高综合竞争力的中心任务,实行体制创新,着力营造电子商务发展的良好环境,积极推进企业信息化建设,推广电子商务应用,加速国民经济和社会信息化进程,实施跨越式发展战略,走中国特色的电子商务发展道路。
               (2)加快电子商务发展的基本原则。
               .企业主体,政府推动。充分发挥企业在电子商务发展中的主体作用,坚持市场导向,运用市场机制优化资源配置。处理好政府与市场的关系,创建更加有利于电子商务发展的制度环境,综合运用政策、服务、资金等多种手段推进电子商务发展。
               .统筹兼顾,虚实结合。坚持网络经济与实体经济紧密结合发展的主流方向,全面拓展电子商务在各领域的应用,提高电子商务及相关服务水平,努力营造全方位的电子商务发展环境,推动区域间电子商务协调发展。
               .着力创新,注重实效。推动电子商务应用、服务、技术和集成创新,着重提高电子商务创新发展能力。立足需求导向,坚持务实创新,选准切入点,注重应用性和实效性,避免盲目跟风和炒作。
               .规范发展,保障安全。正确处理电子商务发展与规范的关系,在发展中求规范,以规范促发展。以网络运行环境安全可靠为基础,促进网络交易主体与客体的真实有效、交易过程的可鉴证,加强对失信行为的惩戒力度,形成电子商务可信环境。
               建立和完善电子商务发展的支撑保障体系
               (1)法律法规体系。认真贯彻实施《中华人民共和国电子签名法》,抓紧研究电子交易、信用管理、安全认证、在线支付、税收、市场准入、隐私权保护和信息资源管理等方面的法律法规问题,尽快提出制定相关法律法规的意见;积极研究第三方支付服务的相关法规;根据电子商务健康有序发展的要求,抓紧研究并及时修订相关法律法规;加快制订在网上开展相关业务的管理办法;推动网络仲裁、网络公证等法律服务与保障体系建设;打击电子商务领域的非法经营以及危害国家安全、损害人民群众切身利益的违法犯罪活动,保障电子商务的正常秩序。
               (2)标准规范体系。建立并完善电子商务国家标准规范体系。提高标准化意识,充分调动各方面积极性,抓紧完善电子商务的国家标准体系;鼓励以企业为主体,联合高校和科研机构研究制定电子商务关键技术标准和规范,参与国际标准的制订和修正,积极推进电子商务标准化进程。
               (3)安全认证体系。建立健全安全认证体系。按照有关法律规定,制定电子商务安全认证管理办法,进一步规范密钥、证书、认证机构的管理,注重责任体系建设,发展和采用自主知识产权的加密与认证技术;整合现有资源,完善安全认证基础设施,建立布局合理的安全认证体系,实现行业、地方等安全认证机构的交叉认证,为社会提供可靠的电子商务安全认证服务。
               (4)信用体系。加快信用体系建设。加强政府监管、行业自律以及部门间的协调与联合,鼓励企业积极参与,按照完善法规、特许经营、商业运作、专业服务的方向,建立科学、合理、权威、公正的信用服务机构;建立健全相关部门信用信息资源的共享机制,建设在线信用信息服务平合,实现信用数据的动态采集、处理、交换;严格信用监督和失信惩戒机制,逐步形成既符合我国国情又与国际接轨的信用服务体系。
               (5)在线支付体系。推进在线支付体系建设。加强制定在线支付业务规范和相关技术标准:引导商业银行、中国银联等机构建设安全、快捷、方便的在线支付平台,大力推广使用银行卡、网上银行等在线支付工具,进一步完善在线资金清算体系,推动在线支付业务规范化、标准化并与国际接轨。
               (6)现代物流体系。大力发展现代物流体系。充分利用铁道、交通、民航、邮政、仓储和商业网点等现有物流资源,完善物流基础设施建设:广泛采用先进的物流技术与装备,优化业务流程,提升物流业信息化水平,提高现代物流基础设施与装备的使用效率和经济效益;发挥电子商务与现代物流的整合优势,大力发展第三方物流,有效支撑电子商务的广泛应用。
               (7)技术装备体系。发展电子商务相关技术装备和软件。积极引进、消化和吸收国外先进适用的电子商务应用技术,鼓励技术创新,加快具有自主知识产权的电子商务硬件和软件产业化进程,提高电子商务平台软件、应用软件和终端设备等关键产品的自主开发能力和装备能力。
               (8)服务体系。推动电子商务服务体系建设。充分利用现有资源,发挥中介机构的作用,加强网络化、系统化、社会化的服务体系建设,开展电子商务工程技术研究、成果转化、咨询服务和工程监理等服务工作。
               (9)运行监控体系。研究风险防范措施,加强业务监督和风险控制;逐步建立和完善电子商务统计和评价体系,推动电子商务服务业健康发展。
               发展电子商务重点任务
               (1)提高大型企业电子商务水平。发挥大型企业电子商务主力军的作用,进一步促进企业电子商务应用系统的规模发展和品牌建设,提高网络集中采购水平和透明化程度,提升企业营销能力。深化大型工业企业电子商务应用,促进实体购销渠道和网络购销渠道互动发展,提高供应链和商务协同水平。推动大型商贸流通企业通过电子商务提高流通效率,扩展流通渠道和市场空间。鼓励有条件的大型企业电子商务平台向行业电子商务平台转化。
               (2)推动中小企业普及电子商务。鼓励中小企业应用第三方电子商务平台,开展在线销售、采购等活动,提高生产经营和流通效率。引导中小企业积极融入龙头企业的电子商务购销体系,发挥中小企业在产业链中的专业化生产、协作配套作用。鼓励有条件的中小企业自主发展电子商务,创新经营模式,扩展发展空间,提高市场反应能力。鼓励面向产业集群和区域特色产业的第三方电子商务平台发展,帮助中小企业通过电子商务提高竞争力。稳健推进各类专业市场发展电子商务,促进网上市场与实体市场的互动发展,为中小企业应用电子商务提供良好条件。
               (3)促进重点行业电子商务发展。积极发展农业电子商务,促进农资和农产品流通体系的发展,拓宽农民致富渠道。着力推进工业电子商务,促进工业从生产型制造向服务型制造转变。深化商贸流通领域电子商务应用,促进传统商贸流通业转型升级。鼓励综合性和行业性信息服务平台深挖掘产业信息资源,拓展服务功能,创新服务产品,提高信息服务水平。促进大宗商品,电子交易平台规范发展,创新商业模式,形成与实体交易互动发展的服务形式。推动交通运输、铁路、邮政、文化、旅游、教育、医疗和金融等行业应用电子商务,促进服务方式转变。
               (4)推动网络零售规模化发展。鼓励生产、流通和服务企业发展网络零售,积极开发适宜的商品和服务。培育一批信誉好、运作规范的网络零售骨干企业。发展交易安全、服务完善、管理规范和竞争有序的网络零售商城。整合社区商业服务资源,发展社区电子商务。促进网络购物群体快速成长。拓展网络零售商品和服务种类,拓宽网络零售渠道,满足不同层次消费需求。发展个人间的电子商务,为开展二手物品交易、获取日常生活服务等提供便利。
               (5)提高政府采购电子商务水平。积极推进政府采购信息化建设,加快建设全国统一的电子化政府采购管理交易平台,探索利用政府采购交易平台实现政府采购管理和操作执行各个环节的协调联动,通过实现政府采购业务交易信息共享和全流程电子化操作,进一步规范政府采购行为,提高政府采购资金的使用效率。
               (6)促进跨境电子商务协同发展。鼓励有条件的大型企业“走出去”,面向金球资源市场,积极开展跨境电子商务,参与全球市场竞争,促进产品、服务质量提升和品牌建设,更紧密地融入全球产业体系,鼓励国内企业加强区域间电子商务合作,推动区域经济合作向纵深方向发展。鼓励商贸服务企业通过电子商务拓展进出口代理业务,创新服务功能,帮助中小企业提高国际竞争能力。
               (7)持续推进移动电子商务发展。鼓励各类主体加强合作,拓展基于新一代移动通信、物联网等新技术的移动电子商务应用。推动移动电子商务应用从生活服务和公共服务领域向工农业生产和生产性服务业领域延伸,积极推动电子商务在“三农”等重点领域的示范和推广。加强移动电子商务技术与装备的研发力度,完善移动电子商务技术体系。加快制定和完善移动电子商务相关技术标准和业务规范。
               (8)促进电子商务支撑体系协调发展。探索建立网上网下交易活动的合同履约信用记录,促进在线信用服务的发展。加快建设适应电子商务发展需要的社会化物流体系,优化物流公共配送中心、中转分拣场站、社区集散网点等物流设施的规划布局,积极探索区域性、行业性物流信息平台的发展模式。鼓励支付机构创新支付服务,丰富支付产品,推动移动支付、电话支付、预付卡支付等新兴电子支付健康有序发展,满足电子商务活动中多元化、个性化的支付需求。推动完善电子支付业务规则、技术标准,引导和督促支付机构规范运营。鼓励发展国际结算服务,提高对跨境电子商务发展的支撑能力。鼓励电子商务企业与相关支撑企业加强合作,促进物流、支付、信用、融资、保险、检测和认证等服务协同发展。
               (9)提高电子商务的安全保障和技术支撑能力。认真贯彻《电子签名法》,进一步发展可靠的电子签名与认证服务体系,提高认证服务质量,创新服务模式,推动可靠电子签名、电子认证和电子合同在电子商务中的实际应用,在统一的证书策略体系框架下推进电子签名认证证书的互认互操作,发挥电子签名的保障作用,提高电子交易的安全性和效率。鼓励软硬件及系统集成企业通过云服务等模式,为电子商务用户提供硬件、软件、应用安全服务。鼓励通信运营商加强宽带信息基础设施建设,提高新一代通信网络的覆盖范围和服务水平,为电子商务用户提供接入、服务托管及商务应用解决方案等服务。发挥国家科技计划的引领和支撑作用,加大对电子商务基础性研究、关键共性技术研究的支持力度,积极开展成果转化、咨询培训等工作。



更多复习资料
请登录电脑版软考在线 www.rkpass.cn

京B2-20210865 | 京ICP备2020040059号-5
京公网安备 11010502032051号 | 营业执照
 Copyright ©2000-2025 All Rights Reserved
软考在线版权所有