首页 > 知识点
       查找操作的性能分析
知识路径:  > 计算机系统基础知识  > 计算机软件知识  > 数据结构与算法知识  > 常用的排序算法、查找算法、数值计算、字符串处理、数据压缩算法、递归算法、图的相关算法  > 查找的基本概念
考试要求:掌握      相关知识点:2个      
        通常以"其关键字和给定值进行过比较的记录个数的平均值"作为衡量查找算法好坏的依据。
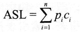
        平均查找长度:为确定记录在查找表中的位置,须与给定关键字值进行比较的次数的数学期望称为查找算法在查找成功时的平均查找长度。
        对于含有n个记录的表,平均查找长度ASL定义为
        
        式中,pi为对表中第i个记录进行查找的概率,且。一般情况下,均认为查找每个记录的概率是相等的,即pi=1/n
 
 相关知识点:
 
软考在线指南
优惠劵及余额
在线支付
修改密码
下载及使用
购买流程
取消订单
联系我们
关于我们
联系我们
商务合作
旗下网站群
高级资格科目
信息系统项目管理师 系统分析师
系统架构设计师 网络规划设计师
系统规划与管理师
初级资格科目
程序员 网络管理员
信息处理技术员 信息系统运行管理员
中级资格科目
系统集成项目管理工程师 网络工程师
软件设计师 信息系统监理师
信息系统管理工程师 数据库系统工程师
多媒体应用设计师 软件评测师
嵌入式系统设计师 电子商务设计师
信息安全工程师
 

本网站所有产品设计(包括造型,颜色,图案,观感,文字,产品,内容),功能及其展示形式,均已受版权或产权保护。
任何公司及个人不得以任何方式复制部分或全部,违者将依法追究责任,特此声明。
本站部分内容来自互联网或由会员上传,版权归原作者所有。如有问题,请及时联系我们。


工作时间:9:00-20:00

客服

QQ 486577830

点击这里给我发消息

商务合作

QQ 486577830

点击这里给我发消息

客服邮箱service@rkpass.cn


京B2-20210865 | 京ICP备2020040059号-5 |京公网安备 11010502032051号 | 营业执照 | Copyright ©2000-2026 All Rights Reserved 软考在线版权所有