首页 > 知识点
       离散傅里叶变换
知识路径:  > 多媒体数据压缩编码技术基础  > 变换编码  > 离散余弦变换编码  > 离散余弦变换编码
考试要求:熟悉      相关知识点:2个      
        傅里叶变换的基本思想是:任意一个函数,只要满足一定条件,这个函数就可以表示成三角函数(正弦和/或余弦函数)或者它们的积分线性组合。
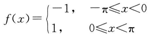
        例如:fx)是周期为2π的周期函数,它在[—π,π]上的表达式为
        
        其图形表示如下图所示。
        
        函数fx)的图形
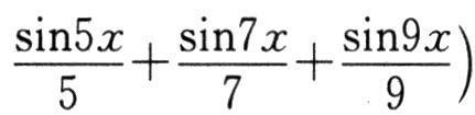
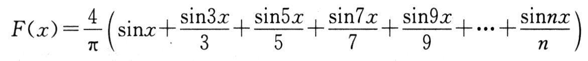
        如果将其利用傅里叶级数表示,则可以表示为
        
        fx)的傅里叶级数近似的图形化显示如下图所示,下图为函数的图形与原始函数fx)的对比图,下图为前5项之和,即与原始函数fx)的对比图,下图和下图分别为前15项和前30项之和的对比图。
        
        傅里叶级数近似化图形
        通过图形可以看出,随着累加项数的不断增加,正弦函数的累加和越来越与给定函数的图形相一致。如果累加项为正无穷,则两个图形完全重合。
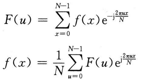
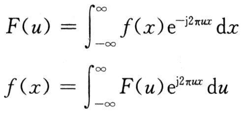
        通过傅里叶变换,可以将函数fx)从一个空间转变到另外一个空间。一维傅里叶变换的空间转换公式为
        
        第1个公式称为正变换,第2个公式称为反变换。
        在信号处理上,原始函数fx)是随着时间t变化的,所以称为时域图像。进行傅里叶变换后,函数Fu)只与频率有关,称为频域图像。这两类图像转换的基本原理可以利用下图表示。
        
        时域和频域对照图
        离散傅里叶变换的基本形式是将连续傅里叶变换的积分转换成累加运算,具体变换公式如下。
        
        第1个公式称为正变换,第2个公式称为反变换。
 
 相关知识点:
 
软考在线指南
优惠劵及余额
在线支付
修改密码
下载及使用
购买流程
取消订单
联系我们
关于我们
联系我们
商务合作
旗下网站群
高级资格科目
信息系统项目管理师 系统分析师
系统架构设计师 网络规划设计师
系统规划与管理师
初级资格科目
程序员 网络管理员
信息处理技术员 信息系统运行管理员
中级资格科目
系统集成项目管理工程师 网络工程师
软件设计师 信息系统监理师
信息系统管理工程师 数据库系统工程师
多媒体应用设计师 软件评测师
嵌入式系统设计师 电子商务设计师
信息安全工程师
 

本网站所有产品设计(包括造型,颜色,图案,观感,文字,产品,内容),功能及其展示形式,均已受版权或产权保护。
任何公司及个人不得以任何方式复制部分或全部,违者将依法追究责任,特此声明。
本站部分内容来自互联网或由会员上传,版权归原作者所有。如有问题,请及时联系我们。


工作时间:9:00-20:00

客服

QQ 486577830

点击这里给我发消息

商务合作

QQ 486577830

点击这里给我发消息

客服邮箱service@rkpass.cn


京B2-20210865 | 京ICP备2020040059号-5 |京公网安备 11010502032051号 | 营业执照 | Copyright ©2000-2026 All Rights Reserved 软考在线版权所有