首页 > 知识点
       计算机可靠性
相关知识点:3个      
               计算机可靠性概述
               计算机系统的硬件故障通常是由元器件的失效引起的。对元器件进行寿命试验并根据实际资料统计得知,元器件的可靠性可分成3个阶段,在开始阶段,元器件的工作处于不稳定期,失效率较高;在第二阶段,元器件进入正常工作期,失效率最低,基本保持常数;在第三阶段,元器件开始老化,失效率又重新提高,这就是所谓的“浴盆曲线”。因此,应保证在计算机中使用的元器件处于第二阶段。在第一阶段应对元器件进行老化筛选,而到了第3个阶段,则淘汰该计算机。
               计算机系统的可靠性是指从它开始运行(t=0)到某时刻t这段时间内能正常运行的概率,用Rt)表示。所谓失效率,是指单位时间内失效的元器件数与元器件总数的比例,用λ表示,当λ为常数时,可靠性与失效率的关系为
               R(t)=e-λt
               典型的失效率与时间的关系曲线如下图所示。
               
               失效率特性
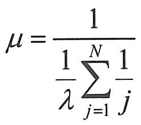
               两次故障之间系统能正常工作的时间的平均值称为平均无故障时间(MTBF),即
               MTBF=1/λ
               通常用平均修复时间(MTRF)来表示计算机的可维修性,即计算机的维修效率,指从故障发生到机器修复平均所需要的时间。计算机的可用性是指计算机的使用效率,它以系统在执行任务的任意时刻能正常工作的概率A来表示,即
               
               计算机的RAS是指用可靠性R、可用性A和可维修性S这3个指标衡量一个计算机系统。但在实际应用中,引起计算机故障的原因除了元器件以外还有组装工艺、逻辑设计等因素。因此,不同厂家生产的兼容机即使采用相同的元器件,其可靠性及MTBF也可能相差很大。
               计算机可靠性模型
               计算机系统是一个复杂的系统,而且影响其可靠性的因素非常复杂,很难直接对其进行可靠性分析。但通过建立适当的数学模型,把大系统分割成若干子系统,可以简化其分析过程。常见的系统可靠性数学模型有以下3种。
               (1)串联系统。假设一个系统由N个子系统组成,当且仅当所有的子系统都能正常工作时系统才能正常工作,这种系统称为串联系统,如下图所示。
               
               串联系统的可靠性模型
               设系统中各个子系统的可靠性分别用R1R2,…,RN来表示,则系统的可靠性R可由下式求得。
               R=R1R2RN
               如果系统的各个子系统的失效率分别用λ1λ2,…,λN来表示,则系统的失效率λ可由下式求得。
               λ=λ1+λ2+…+λN
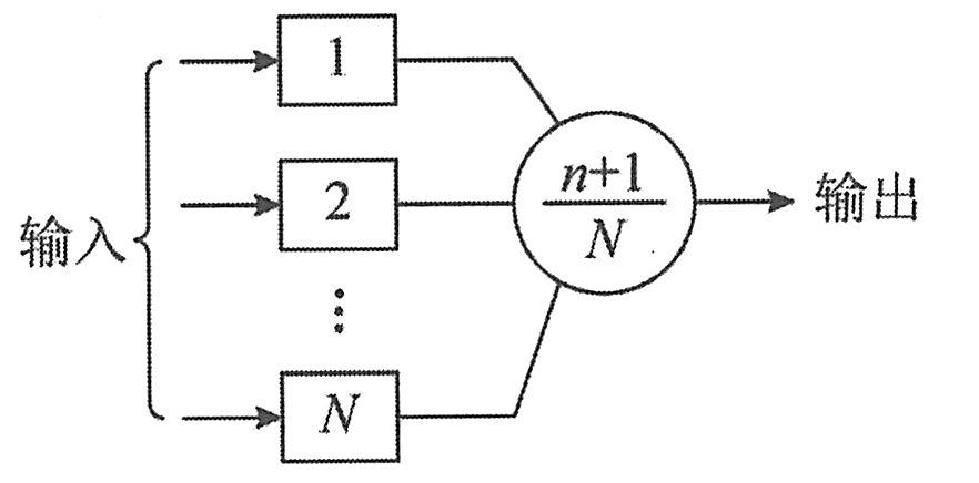
               (2)并联系统。假如一个系统由N个子系统组成,只要有一个子系统正常工作,系统就能正常工作,这样的系统称为并联系统,如下图所示。设每个子系统的可靠性分别以R1R2,…,RN表示,整个系统的可靠性可由下式求得。
               
               并联系统的可靠性模型
               R=1-(1-R1)(1-R2)…(1-RN
               假如所有子系统的失效率均为λ,则系统的失效率μ
               
               在并联系统中只有一个子系统是真正需要的,其余N-1个子系统称为冗余子系统,随着冗余子系统数量的增加,系统的平均无故障时间也增加了。
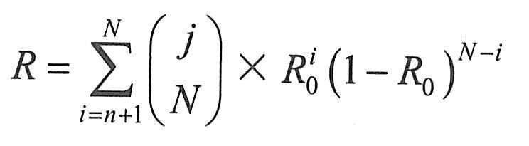
               (3)N模冗余系统。N模冗余系统由N个(N=2n+1)相同的子系统和一个表决器组成,表决器把N个子系统中占多数相同结果的输出作为系统的输出,如下图所示。
               
               N模冗余系统
               在N个子系统中,只要有n+1个或n+1个以上的子系统能正常工作,系统就能正常工作,输出正确的结果。假设表决器是完全可靠的,每个子系统的可靠性为R0,则N模冗余系统的可靠性为
               
               其中,表示从N个元素中取j个元素的组合数。
               提高计算机的可靠性一般采取如下两项措施。
               (1)提高元器件质量,改进加工工艺与工艺结构,完善电路设计。
               (2)发展容错技术,使得在计算机硬件有故障的情况下,计算机仍能继续运行,得出正确的结果。
 
 相关知识点:
 
软考在线指南
优惠劵及余额
在线支付
修改密码
下载及使用
购买流程
取消订单
联系我们
关于我们
联系我们
商务合作
旗下网站群
高级资格科目
信息系统项目管理师 系统分析师
系统架构设计师 网络规划设计师
系统规划与管理师
初级资格科目
程序员 网络管理员
信息处理技术员 信息系统运行管理员
中级资格科目
系统集成项目管理工程师 网络工程师
软件设计师 信息系统监理师
信息系统管理工程师 数据库系统工程师
多媒体应用设计师 软件评测师
嵌入式系统设计师 电子商务设计师
信息安全工程师
 

本网站所有产品设计(包括造型,颜色,图案,观感,文字,产品,内容),功能及其展示形式,均已受版权或产权保护。
任何公司及个人不得以任何方式复制部分或全部,违者将依法追究责任,特此声明。
本站部分内容来自互联网或由会员上传,版权归原作者所有。如有问题,请及时联系我们。


工作时间:9:00-20:00

客服

QQ 486577830

点击这里给我发消息

商务合作

QQ 486577830

点击这里给我发消息

客服邮箱service@rkpass.cn


京B2-20210865 | 京ICP备2020040059号-5 |京公网安备 11010502032051号 | 营业执照 | Copyright ©2000-2026 All Rights Reserved 软考在线版权所有