首页 > 知识点
       基于异常的入侵检测技术
知识路径:  > 入侵检测技术原理与应用  > 入侵检测技术  > 基于异常的入侵检测技术
考试要求:掌握      相关知识点:12个      
        异常检测方法是指通过计算机或网络资源统计分析,建立系统正常行为的“轨迹”,定义一组系统正常情况的数值,然后将系统运行时的数值与所定义的“正常”情况相比较,得出是否有被攻击的迹象,如下图所示。
        
        异常检测原理图
        但是,异常检测的前提是异常行为包括入侵行为。理想情况下,异常行为集合等同于入侵行为集合,此时,如果IDS能够检测到所有的异常行为,则表明能够检测到所有的入侵行为。但是在现实中,入侵行为集合通常不等同于异常行为集合。事实上,具体的行为有4种状况:①行为是入侵行为,但不表现异常;②行为不是入侵行为,却表现异常;③行为既不是入侵行为,也不表现异常;④行为是入侵行为,且表现异常。异常检测方法的基本思路是构造异常行为集合,从中发现入侵行为。异常检测依赖于异常模型的建立,不同模型构成不同的检测方法。下面介绍几种常见的异常检测方法。
               基于统计的异常检测方法
               基于统计的异常检测方法就是利用数学统计理论技术,通过构建用户或系统正常行为的特征轮廓。其中统计性特征轮廓通常由主体特征变量的频度、均值、方差、被监控行为的属性变量的统计概率分布以及偏差等统计量来描述。典型的系统主体特征有:系统的登录与注销时间,资源被占用的时间以及处理机、内存和外设的使用情况等。至于统计的抽样周期可以从短到几分钟到长达几个月甚至更长。基于统计性特征轮廓的异常性检测器,对收集到的数据进行统计处理,并与描述主体正常行为的统计性特征轮廓进行比较,然后根据二者的偏差是否超过指定的门限来进一步判断、处理。许多入侵检测系统或系统原型都采用了这种统计模型。
               基于模式预测的异常检测方法
               基于模式预测的异常检测方法的前提条件是:事件序列不是随机发生的而是服从某种可辨别的模式,其特点是考虑了事件序列之间的相互联系。安全专家Teng和Chen给出了一种基于时间的推理方法,利用时间规则识别用户正常行为模式的特征。通过归纳学习产生这些规则集,并能动态地修改系统中的这些规则,使之具有较高的预测性、准确性和可信度。如果规则大部分时间是正确的,并能够成功地用于预测所观察到的数据,那么规则就具有较高的可信度。例如,TIM(Time-based Inductive Machine)给出下述产生规则:
               (E1!E2!E3)(E4=95%,E5=5%)
               其中,E1~E5表示安全事件。上述规则说明,事件发生的顺序是E1,E2,E3,E4,E5。事件E4发生的概率是95%,事件E5发生的概率是5%。通过事件中的临时关系,TIM能够产生更多的通用规则。根据观察到的用户行为,归纳产生出一套规则集,构成用户的行为轮廓框架。如果观测到的事件序列匹配规则的左边,而后续的事件显著地背离根据规则预测到的事件,那么系统就可以检测出这种偏离,表明用户操作异常。这种方法的主要优点有:①能较好地处理变化多样的用户行为,并具有很强的时序模式;②能够集中考察少数几个相关的安全事件,而不是关注可疑的整个登录会话过程;③容易发现针对检测系统的攻击。
               基于文本分类的异常检测方法
               基于文本分类的异常检测方法的基本原理是将程序的系统调用视为某个文档中的“字”,而进程运行所产生的系统调用集合就产生一个“文档”。对于每个进程所产生的“文档”,利用K-最近邻聚类(K-Nearest Neighbor)文本分类算法,分析文档的相似性,发现异常的系统调用,从而检测入侵行为。
               基于贝叶斯推理的异常检测方法
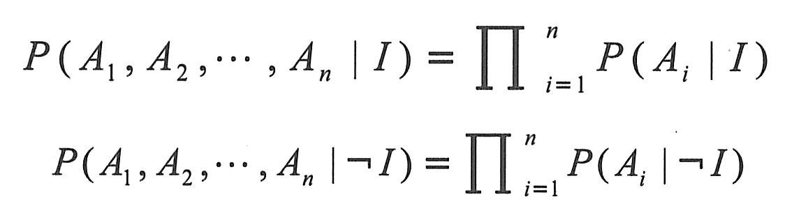
               基于贝叶斯推理的异常检测方法,是指在任意给定的时刻,测量A1A2,…An变量值,推理判断系统是否发生入侵行为。其中,每个变量Ai表示系统某一方面的特征,例如磁盘I/O的活动数量、系统中页面出错的数目等。假定变量Ai可以取两个值:1表示异常,0表示正常。令I表示系统当前遭受的入侵攻击。每个异常变量Ai的异常可靠性和敏感性分别用P(Ai=1|I)和P(Ai=1|?I)表示。于是,在给定每个Ai值的条件下,由贝叶斯定理得出I的可信度为:
               
               其中,要求给出I和?I的联合概率分布。假定每个测量Ai仅与I相关,与其他的测量条件Aj(ij)无关,则有:
               
               从而得到:
               
               因此,根据各种异常测量的值、入侵的先验概率、入侵发生时每种测量得到的异常概率,就能够判断系统入侵的概率。但是为了保证检测的准确性,还需要考查各变量Ai之间的独立性。一种方法是通过相关性分析,确定各异常变量与入侵的关系。
 
 相关知识点:
 
软考在线指南
优惠劵及余额
在线支付
修改密码
下载及使用
购买流程
取消订单
联系我们
关于我们
联系我们
商务合作
旗下网站群
高级资格科目
信息系统项目管理师 系统分析师
系统架构设计师 网络规划设计师
系统规划与管理师
初级资格科目
程序员 网络管理员
信息处理技术员 信息系统运行管理员
中级资格科目
系统集成项目管理工程师 网络工程师
软件设计师 信息系统监理师
信息系统管理工程师 数据库系统工程师
多媒体应用设计师 软件评测师
嵌入式系统设计师 电子商务设计师
信息安全工程师
 

本网站所有产品设计(包括造型,颜色,图案,观感,文字,产品,内容),功能及其展示形式,均已受版权或产权保护。
任何公司及个人不得以任何方式复制部分或全部,违者将依法追究责任,特此声明。
本站部分内容来自互联网或由会员上传,版权归原作者所有。如有问题,请及时联系我们。


工作时间:9:00-20:00

客服

QQ 486577830

点击这里给我发消息

商务合作

QQ 486577830

点击这里给我发消息

客服邮箱service@rkpass.cn


京B2-20210865 | 京ICP备2020040059号-5 |京公网安备 11010502032051号 | 营业执照 | Copyright ©2000-2026 All Rights Reserved 软考在线版权所有