首页 > 知识点
       阿姆达尔解决方案
知识路径:  > 计算机系统综合知识  > 系统配置与性能评价  > 性能设计(系统调整、Amdahl解决方案、响应特性、负载均衡)  > 系统性能设计
被考次数:1次     被考频率:低频率     总体答错率:51%     知识难度系数:     
考试要求:掌握      相关知识点:2个      


>>  更多  本知识点历年真题      
        阿姆达尔(Amdahl)定律是这样的:系统中对某部件采用某种更快的执行方式,所获得的系统性能的改变程度,取决于这种方式被使用的频率,或所占总执行时间的比例。
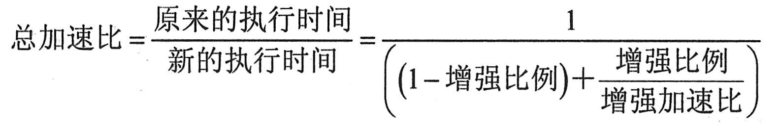
        阿姆达尔定律定义了采用特定部件所取得的加速比。假定我们使用某种增强部件,计算机的性能就会得到提高,那么加速比就是下式所定义的比率:
        
        加速比反映了使用增强部件后完成一个任务比不使用增强部件完成同一任务加快了多少。阿姆达尔定律为计算某些情况下的加速比提供了一种便捷的方法。加速比主要取决于两个因素:
        (1)在原有的计算机上,能被改进并增强的部分在总执行时间中所占的比例。这个值我们称之为增强比例,它永远小于或等于1。
        (2)通过增强的执行方式所取得的改进,即如果整个程序使用了增强的执行方式,那么这个任务的执行速度会有多少提高,这个值是在原来条件下程序的执行时间与使用增强功能后程序的执行时间之比。
        原来的机器使用了增强功能后,执行时间等于未改进部分的执行时间加上改进部分的执行时间:
        
        总的加速比等于两种执行时间之比:
        
 
   本知识点历年真题:
隶属试卷 题号/题型 题干 难度系数/错误率
   2012年上半年
   系统分析师
   上午试卷 综合知识
第60题
选择题
阿姆达尔(Amdahl)定律量化定义了通过改进系统中某个组件的性能,使系统整体性能提高的程度。假设某一功能的处理时间为整个系统运行时间的60%,若使该功能的处理速度提高至原来的5倍,则根据阿姆达尔定律,整个系统的处理速度可提高至原来..

51%
 相关知识点:
 
软考在线指南
优惠劵及余额
在线支付
修改密码
下载及使用
购买流程
取消订单
联系我们
关于我们
联系我们
商务合作
旗下网站群
高级资格科目
信息系统项目管理师 系统分析师
系统架构设计师 网络规划设计师
系统规划与管理师
初级资格科目
程序员 网络管理员
信息处理技术员 信息系统运行管理员
中级资格科目
系统集成项目管理工程师 网络工程师
软件设计师 信息系统监理师
信息系统管理工程师 数据库系统工程师
多媒体应用设计师 软件评测师
嵌入式系统设计师 电子商务设计师
信息安全工程师
 

本网站所有产品设计(包括造型,颜色,图案,观感,文字,产品,内容),功能及其展示形式,均已受版权或产权保护。
任何公司及个人不得以任何方式复制部分或全部,违者将依法追究责任,特此声明。
本站部分内容来自互联网或由会员上传,版权归原作者所有。如有问题,请及时联系我们。


工作时间:9:00-20:00

客服

QQ 486577830

点击这里给我发消息

商务合作

QQ 486577830

点击这里给我发消息

客服邮箱service@rkpass.cn


京B2-20210865 | 京ICP备2020040059号-5 |京公网安备 11010502032051号 | 营业执照 | Copyright ©2000-2026 All Rights Reserved 软考在线版权所有