首页 > 知识点
       故障植入模型
知识路径:  > 计算机系统综合知识  > 系统配置与性能评价
考试要求:掌握      相关知识点:2个      
        故障植入模型是一个面向错误数的数学模型,其目的是以程序的错误数作为衡量可靠性的标准,故障植入模型的基本假设如下:
        (1)程序中的固有错误数是一个未知的常数。
        (2)程序中的人为错误数按均匀分布随机植入。
        (3)程序中的固有错误数和人为错误被检测到的概率相同。
        (4)检测到的错误立即改正。
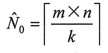
        用N0表示固有错误数,m表示植入的错误数,n表示检测到的错误数,其中检测到的植入错误数为k,用最大似然法求解可得固有错误数N0的点估计值为:
        
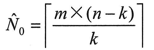
        考虑到实施植入错误时遇到的困难,Basin在1974年提出了两步查错法,这个方法是,由两个错误检测人员独立对程序进行测试,检测到的错误立即改正。用N0表示程序中的固有错误数,m表示第一个检测员检测到的错误数,n表示第二个检测员检测到的错误数,如果两个检测员检测到的相同错误数为k,则程序固有错误数N0的点估计值为:
        
 
 相关知识点:
 
软考在线指南
优惠劵及余额
在线支付
修改密码
下载及使用
购买流程
取消订单
联系我们
关于我们
联系我们
商务合作
旗下网站群
高级资格科目
信息系统项目管理师 系统分析师
系统架构设计师 网络规划设计师
系统规划与管理师
初级资格科目
程序员 网络管理员
信息处理技术员 信息系统运行管理员
中级资格科目
系统集成项目管理工程师 网络工程师
软件设计师 信息系统监理师
信息系统管理工程师 数据库系统工程师
多媒体应用设计师 软件评测师
嵌入式系统设计师 电子商务设计师
信息安全工程师
 

本网站所有产品设计(包括造型,颜色,图案,观感,文字,产品,内容),功能及其展示形式,均已受版权或产权保护。
任何公司及个人不得以任何方式复制部分或全部,违者将依法追究责任,特此声明。
本站部分内容来自互联网或由会员上传,版权归原作者所有。如有问题,请及时联系我们。


工作时间:9:00-20:00

客服

QQ 486577830

点击这里给我发消息

商务合作

QQ 486577830

点击这里给我发消息

客服邮箱service@rkpass.cn


京B2-20210865 | 京ICP备2020040059号-5 |京公网安备 11010502032051号 | 营业执照 | Copyright ©2000-2026 All Rights Reserved 软考在线版权所有