首页 > 知识点
       参数估计
知识路径:  > 测试技术的分类  > 可靠性测试  > 软件可靠性建模  > 软件可靠性模型举例
考试要求:掌握      相关知识点:3个      
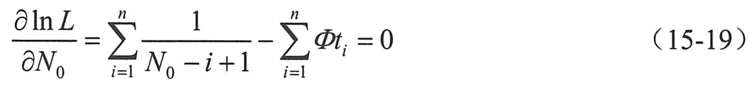
        在可靠度函数表达式中含有两个未知参数ΦN0,下面我们运用统计学中的最大似然法来对参数ΦN0进行估算。
        由公式(15-15)可得似然函数:
        
        对公式(15-17)取对数,得到对数似然函数:
        
        对公式(15-18)分别对N0Φ求偏导,并令结果为零:
        
        
        公式15-19可以写成:
        
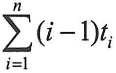
        公式15-21中不含Φ,因而可以由测试收集的数据,计算出的值,将它们代入公式15-21中,即可先解出N0的估计值
        
        我们再来解出另一个参数Φ的估计值,令
        
        则从15-20中可解出
        
        代入N0的估计值,可解出Φ的估计值
        
        需要说明的是,软件可靠性是一门正在发展中的分支学科,许多来源于硬件可靠性的理论在软件可靠性研究中并不适用,有关软件可靠性的模型并不成熟,并且应用范围也非常有限,软件可靠性的定量分析方法和数学模型要在实践中不断加以验证和修正,对于不同类型的软件,模型的假设、表示公式及应用方式也有很大的区别。
 
 相关知识点:
 
软考在线指南
优惠劵及余额
在线支付
修改密码
下载及使用
购买流程
取消订单
联系我们
关于我们
联系我们
商务合作
旗下网站群
高级资格科目
信息系统项目管理师 系统分析师
系统架构设计师 网络规划设计师
系统规划与管理师
初级资格科目
程序员 网络管理员
信息处理技术员 信息系统运行管理员
中级资格科目
系统集成项目管理工程师 网络工程师
软件设计师 信息系统监理师
信息系统管理工程师 数据库系统工程师
多媒体应用设计师 软件评测师
嵌入式系统设计师 电子商务设计师
信息安全工程师
 

本网站所有产品设计(包括造型,颜色,图案,观感,文字,产品,内容),功能及其展示形式,均已受版权或产权保护。
任何公司及个人不得以任何方式复制部分或全部,违者将依法追究责任,特此声明。
本站部分内容来自互联网或由会员上传,版权归原作者所有。如有问题,请及时联系我们。


工作时间:9:00-20:00

客服

QQ 486577830

点击这里给我发消息

商务合作

QQ 486577830

点击这里给我发消息

客服邮箱service@rkpass.cn


京B2-20210865 | 京ICP备2020040059号-5 |京公网安备 11010502032051号 | 营业执照 | Copyright ©2000-2026 All Rights Reserved 软考在线版权所有