首页 > 知识点
       常用分布
知识路径:  > 应用数学  > 概率统计应用  > 概率统计应用
考试要求:掌握      相关知识点:5个      
        本节介绍7种常见的分布,考生要对这些分布的分布函数有所了解。
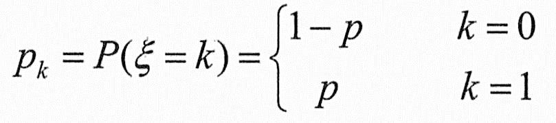
               0-1分布
               当随机实验只有两种可能的结果时,可以用服从0-1分布的随机变量来描述。
               
               其中,0<p<1。
               二项分布
               设伯努利概型在每次试验中事件A发生的概率为p,则n次实验中A发生的次数可以用服从二项分布B(np)的随机变量来描述。
               
               其中,n是正整数;0<p<1。
               几何分布
               设独立重复中每次试验“成功”的概率均为p。如果某次试验“成功”,就不再继续试验,则试验次数可用服从几何分布G(p)的随机变量来表示。
               pk=P(ξ=k)=p(1-p)k-1k=0,1,2,…
               其中,0<p<1。
               泊松分布
               泊松(Poisson)分布可作为描述大量试验中稀有事件出现次数的概率分布的数学模型。例如,数字通信中的误码数、大批量产品中不合格品数、原子蜕变放射出的粒子数都可用服从泊松分布的随机变量来表示。
               
               其中,λ>0。
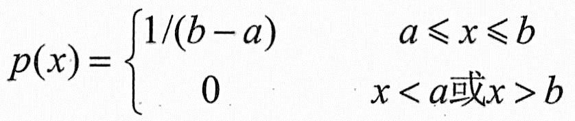
               均匀分布
               当随机实验的结果在[ab]均匀分布时,可以用服从均匀分布μ(ab)的随机变量来描述。
               
               其中,-∞<a<b<∞。
               指数分布
               设备、器件和工具的无故障工作时间或使用寿命常用服从指数分布的随机变量来描述。
               
               其中,λ>0。
               标准正态分布
               μ=0,σ=1的正态分布N(0,1)称作标准正态分布,其密度函数记作?(x),它的分布函数记作Φ(x)。
               
 
 相关知识点:
 
软考在线指南
优惠劵及余额
在线支付
修改密码
下载及使用
购买流程
取消订单
联系我们
关于我们
联系我们
商务合作
旗下网站群
高级资格科目
信息系统项目管理师 系统分析师
系统架构设计师 网络规划设计师
系统规划与管理师
初级资格科目
程序员 网络管理员
信息处理技术员 信息系统运行管理员
中级资格科目
系统集成项目管理工程师 网络工程师
软件设计师 信息系统监理师
信息系统管理工程师 数据库系统工程师
多媒体应用设计师 软件评测师
嵌入式系统设计师 电子商务设计师
信息安全工程师
 

本网站所有产品设计(包括造型,颜色,图案,观感,文字,产品,内容),功能及其展示形式,均已受版权或产权保护。
任何公司及个人不得以任何方式复制部分或全部,违者将依法追究责任,特此声明。
本站部分内容来自互联网或由会员上传,版权归原作者所有。如有问题,请及时联系我们。


工作时间:9:00-20:00

客服

QQ 486577830

点击这里给我发消息

商务合作

QQ 486577830

点击这里给我发消息

客服邮箱service@rkpass.cn


京B2-20210865 | 京ICP备2020040059号-5 |京公网安备 11010502032051号 | 营业执照 | Copyright ©2000-2026 All Rights Reserved 软考在线版权所有