首页 > 知识点
       树形目录结构
知识路径:  > 计算机软件与网络基础知识  > 操作系统  > 操作系统基本原理  > 文件管理
考试要求:掌握      相关知识点:7个      
        文件控制块的集合称为文件目录,文件目录也被组织成文件,常称为目录文件。文件管理的一个重要方面是对文件目录进行组织和管理。文件系统一般采用一级目录结构、二级目录结构和多级目录结构。DOS、UNIX、Windows系统都是采用多级树形目录结构。
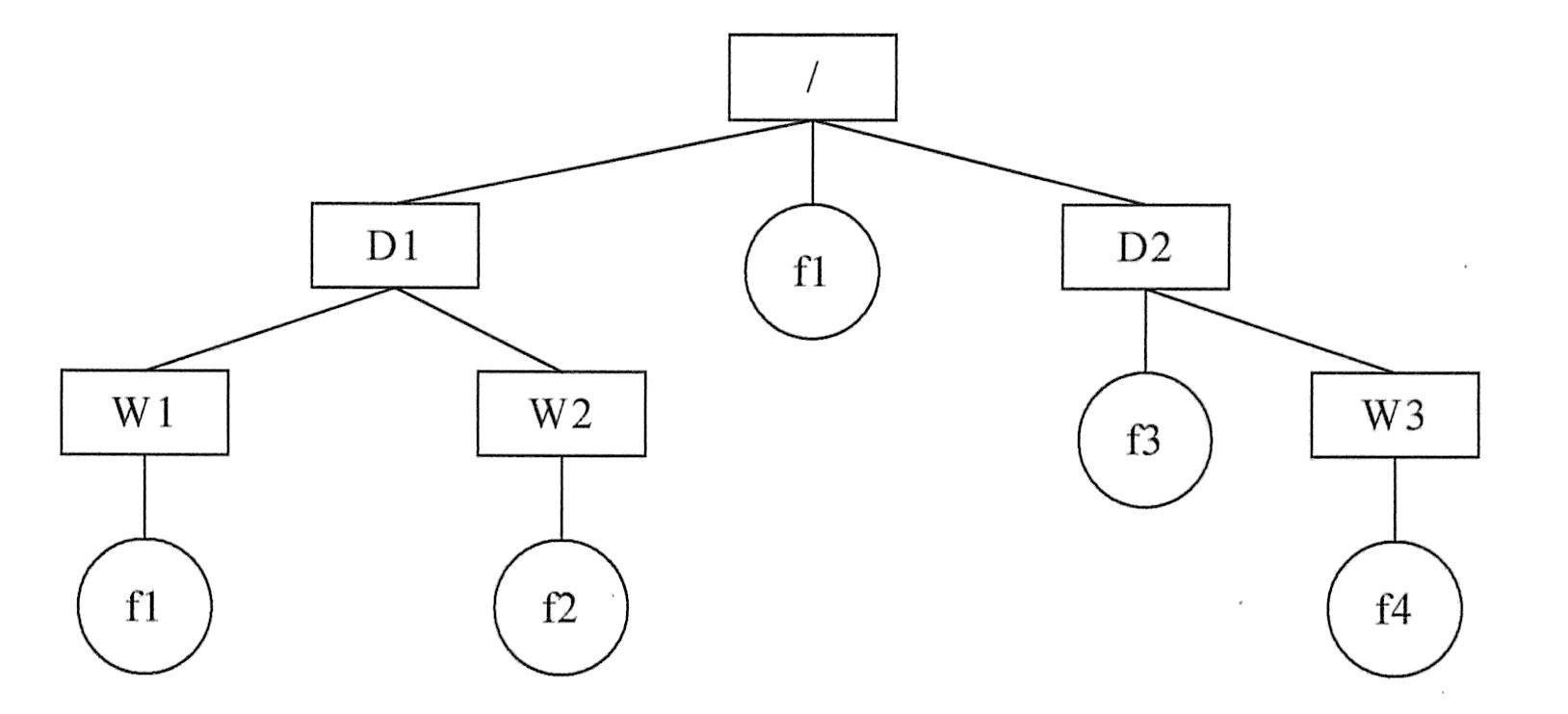
        在多级树形目录结构中,整个文件系统有一个根,然后在根上分枝,任何一个分枝上都可以再分枝,枝上也可以长出树叶。根和枝称为目录或文件夹。而树叶则是一个个的文件。实践证明,这种结构的文件系统效率比较高。例如,下图就是一个树形目录结构,其中方框代表目录,圆形代表文件。
        
        树形文件结构
        在树形目录结构中,树的根结点为根目录,数据文件作为树叶,其他所有目录均作为树的结点。系统在建立每一个目录时,都会自动为它设定两个目录文件一个是“.”,代表该目录自己,另一个是“..”,代表该目录的父目录。对于根目录,“.”和“..”都代表其自己。
        从逻辑上讲,用户在登录到系统中之后,每时每刻都处在某个目录之中,此目录被称作工作目录或当前目录,工作目录是可以随时改变的。
        对文件进行访问时,需要用到路径的概念。路径是指从树形目录中的某个目录层次到某个文件的一条道路。在树形目录结构中,从根目录到任何数据文件之间,只有一条唯一的通路,从树根开始,把全部目录文件名与数据文件名依次用“/”连接起来,构成该数据文件的路径名,且每个数据文件的路径名是唯一的。这样,可以解决文件重名问题,不同路径下的同名文件不一定是相同的文件。例如,在上图中,根目录下的文件f1和/D1/W1目录下的文件f1可能是相同的文件,也可能是不相同的文件。
        用户在对文件进行访问时,要给出文件所在的路径。路径又分相对路径和绝对路径。绝对路径是指从根目录开始的路径,也称为完全路径;相对路径是从用户工作目录开始的路径。应该注意到,在树形目录结构中到某一确定文件的绝对路径和相对路径均只有一条。绝对路径是确定不变的,而相对路径则随着用户工作目录的变化而不断变化。
        用户要访问一个文件时,可以通过路径名来引用。例如,在上图中,如果当前目录是D1,则访问文件f2的绝对路径是/D1/W2/f2,相对路径是W2/f2。如果当前目录是W1,则访问文件f2的绝对路径仍然是/D1/W2/f2,但相对路径变为../W2/f2。
        在Windows系统中,有两种格式的文件,分别是FAT32(FAT16)文件和NTFS文件。NTFS在使用中产生的磁盘碎片要比FAT32少,安全性也更高,而且支持单个文件的容量更大,超过了4GB,特别适合现在的大容量存储。NTFS可以支持的分区(如果采用动态磁盘则称为卷)大小可以达到2TB,而Windows 2000中的FAT32支持分区的大小最大为32GB。
 
 相关知识点:
 
软考在线指南
优惠劵及余额
在线支付
修改密码
下载及使用
购买流程
取消订单
联系我们
关于我们
联系我们
商务合作
旗下网站群
高级资格科目
信息系统项目管理师 系统分析师
系统架构设计师 网络规划设计师
系统规划与管理师
初级资格科目
程序员 网络管理员
信息处理技术员 信息系统运行管理员
中级资格科目
系统集成项目管理工程师 网络工程师
软件设计师 信息系统监理师
信息系统管理工程师 数据库系统工程师
多媒体应用设计师 软件评测师
嵌入式系统设计师 电子商务设计师
信息安全工程师
 

本网站所有产品设计(包括造型,颜色,图案,观感,文字,产品,内容),功能及其展示形式,均已受版权或产权保护。
任何公司及个人不得以任何方式复制部分或全部,违者将依法追究责任,特此声明。
本站部分内容来自互联网或由会员上传,版权归原作者所有。如有问题,请及时联系我们。


工作时间:9:00-20:00

客服

QQ 486577830

点击这里给我发消息

商务合作

QQ 486577830

点击这里给我发消息

客服邮箱service@rkpass.cn


京B2-20210865 | 京ICP备2020040059号-5 |京公网安备 11010502032051号 | 营业执照 | Copyright ©2000-2026 All Rights Reserved 软考在线版权所有