首页 > 知识点
       数据压缩的基础
知识路径:  > 计算机软件与网络基础知识  > 多媒体  > 多媒体数据的压缩编码  > 压缩编码技术
考试要求:掌握      相关知识点:2个      
        数据之所以能够压缩,是因为基本原始信源的数据存在着很大的冗余度。一般来说,多媒体数据中存在以下种类的数据冗余。
        (1)空间冗余(几何冗余):一幅图像的背景及其景物中,在某点自身与其相邻的一些区域内,常存在有规则的相关性。例如,一幅蔚蓝的天空中漂浮着白云的图像,其蔚蓝的天空及白云本身都具有较强的相关性,这种相关性的图像部分,在数据中就表现为冗余。空间冗余是视频图像中常见的一种冗余。
        (2)时间冗余:对于电视动画类的图像,其序列中前后相邻的两幅图像之间呈现较强的相关性,这就反映为时间冗余。如某一帧图像经过t时间后,在某下一帧图像中带有较强的相关性(即画面像素相似)。
        (3)知觉冗余:知觉冗余是指那些处于人们听觉和视觉分辨率以下的视、音频信号,若在编码时舍去这种在感知门限以下的信号,虽然这会使恢复原信号产生一定的失真,但并不能为人们所感知,为此,此种超出人们感知能力部分的编码就称为知觉冗余。例如,一般的视频图像采用28的灰度等级,而人们的视觉分辨率仅达26的等级,此差额即为知觉冗余。
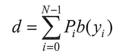
        (4)信息熵冗余:信息熵是指一组数据所携带的信息量。它一般定义为:
        
        其中N为数据类数或码元个数,Pi为码元Yi发生的概率。由定义,为使单数据量d接近于或等于H,应设:
        
        其中byi)是分配给码元Yi的比特数,理论上应取byi)=-log2pi,由于在实际应用中很难估计出{p0p1,…,pn-1}。因此一般取by0)=by1)=…=byN-1)。这样所得的d必然大于H,由此带来的冗余称为信息熵冗余或编码冗余。
        (5)结构冗余:有些图像从大的区域上看存在着非常强的纹理结构,例如,布纹图像和草席图像,我们说它们在结构上存在冗余。
        (6)知识冗余:有许多图像的理解与某些基础知识有相当大的相关性。例如,人脸的图像有固定的结构,比如,嘴的上方有鼻子,鼻子的上方有眼睛,鼻子位于正面图像的中线上等。这类规律性的结构可由先验知识和背景知识得到,此类冗余称为知识冗余。
 
 相关知识点:
 
软考在线指南
优惠劵及余额
在线支付
修改密码
下载及使用
购买流程
取消订单
联系我们
关于我们
联系我们
商务合作
旗下网站群
高级资格科目
信息系统项目管理师 系统分析师
系统架构设计师 网络规划设计师
系统规划与管理师
初级资格科目
程序员 网络管理员
信息处理技术员 信息系统运行管理员
中级资格科目
系统集成项目管理工程师 网络工程师
软件设计师 信息系统监理师
信息系统管理工程师 数据库系统工程师
多媒体应用设计师 软件评测师
嵌入式系统设计师 电子商务设计师
信息安全工程师
 

本网站所有产品设计(包括造型,颜色,图案,观感,文字,产品,内容),功能及其展示形式,均已受版权或产权保护。
任何公司及个人不得以任何方式复制部分或全部,违者将依法追究责任,特此声明。
本站部分内容来自互联网或由会员上传,版权归原作者所有。如有问题,请及时联系我们。


工作时间:9:00-20:00

客服

QQ 486577830

点击这里给我发消息

商务合作

QQ 486577830

点击这里给我发消息

客服邮箱service@rkpass.cn


京B2-20210865 | 京ICP备2020040059号-5 |京公网安备 11010502032051号 | 营业执照 | Copyright ©2000-2026 All Rights Reserved 软考在线版权所有