首页 > 知识点
       可靠性计算
知识路径:  > 安全性与可靠性技术  > 系统可靠性  > 可靠性指标与评估  > 可靠性指标与评估
考试要求:掌握      相关知识点:4个      


>>  更多  本知识点历年真题      
        计算机系统是一个复杂的系统,而且影响其可靠性的因素也非常繁复,很难直接对其进行可靠性分析。但通过建立适当的数学模型,把大系统分割成若干子系统,可以简化其分析过程。
               串联系统
               假设一个系统由n个子系统组成,当且仅当所有的子系统都有能正常工作时,系统才能正常工作,这种系统称为串联系统,如下图所示。
               
               串联系统
               设系统各个子系统的可靠性分别用R1R2,…Rn表示,则系统的可靠性R=R1×R2×…×Rn
               如果系统的各个子系统的失效率分别用λ1λ2,…,λn来表示,则系统的失效率λ=λ1+λ2+…+λn
               并联系统
               假如一个系统由n个子系统组成,只要有一个子系统能够正常工作,系统就能正常工作,如下图所示。
               
               并联系统
               设系统各个子系统的可靠性分别用R1,…R2Rn表示,则系统的可靠性R=1-(1-R1)×(1-R2)×…×(1-Rn)。
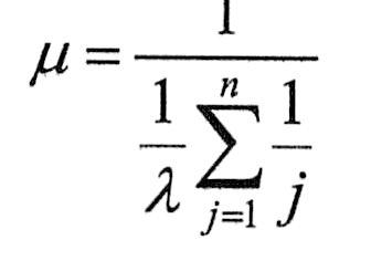
               假如所有的子系统的失效率均为λ,则系统的失效率为μ
               
               在并联系统中只有一个子系统是真正需要的,其余n-1个子系统称为冗余子系统,随着冗余子系统数量的增加,系统的平均无故障时间也增加了。
               模冗余系统
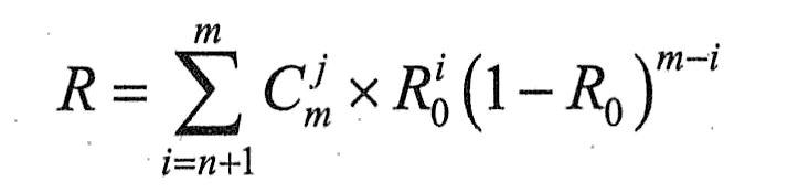
               m模冗余系统由m个(m=2n+1为奇数)相同的子系统和一个表决器组成,经过表决器表决后,m个子系统中占多数相同结果的输出作为系统的输出,如下图所示。
               
               模冗余系统
               在m个子系统中,只有n+1个或n+1个以上子系统能正常工作,系统就能正常工作,输出正确结果。假设表决器是完全可靠的,每个子系统的可靠性为R0,则m模冗余系统的可靠性为:
               
               其中为从m个元素中取j个元素的组合数。
               在实际应用系统中,往往是多种结构的混联系统。例如,某高可靠性计算机系统由下图所示的冗余部件构成。
               
               某计算机系统
               显然,该系统为一个串并联综合系统,我们可以先计算出中间2个并联系统的可靠度,根据并联公式R=(1-(1-R1)×(1-R2)×…×(1-Rn),可得到3个部件并联的可靠度为1-(1-R3,2个部件并联的可靠度为1-(1-R2
               然后,再根据串联公式R=R1×R2×…×Rn,可得到整个系统的可靠度:R×(1-(1-R3)×(1-(1-R2)×R
 
   本知识点历年真题:
隶属试卷 题号/题型 题干 难度系数/错误率
   2023年下半年
   系统架构设计师..
   上午试卷 综合知识
第21题
选择题
关于可靠性计算,如果 MTTR 很小,下列说法正确的是(问题 1),可靠性相关的软件质量属性包括哪些(问题 2)

53%
 相关知识点:
 
软考在线指南
优惠劵及余额
在线支付
修改密码
下载及使用
购买流程
取消订单
联系我们
关于我们
联系我们
商务合作
旗下网站群
高级资格科目
信息系统项目管理师 系统分析师
系统架构设计师 网络规划设计师
系统规划与管理师
初级资格科目
程序员 网络管理员
信息处理技术员 信息系统运行管理员
中级资格科目
系统集成项目管理工程师 网络工程师
软件设计师 信息系统监理师
信息系统管理工程师 数据库系统工程师
多媒体应用设计师 软件评测师
嵌入式系统设计师 电子商务设计师
信息安全工程师
 

本网站所有产品设计(包括造型,颜色,图案,观感,文字,产品,内容),功能及其展示形式,均已受版权或产权保护。
任何公司及个人不得以任何方式复制部分或全部,违者将依法追究责任,特此声明。
本站部分内容来自互联网或由会员上传,版权归原作者所有。如有问题,请及时联系我们。


工作时间:9:00-20:00

客服

QQ 486577830

点击这里给我发消息

商务合作

QQ 486577830

点击这里给我发消息

客服邮箱service@rkpass.cn


京B2-20210865 | 京ICP备2020040059号-5 |京公网安备 11010502032051号 | 营业执照 | Copyright ©2000-2026 All Rights Reserved 软考在线版权所有