免费智能真题库 > 历年试卷 > 数据库系统工程师 > 2010年上半年 数据库系统工程师 上午试卷 综合知识
  第2题      
  知识点:   计算机可靠性模型   可靠度
  关键词:   计算机系统        章/节:   硬件基础知识       

 
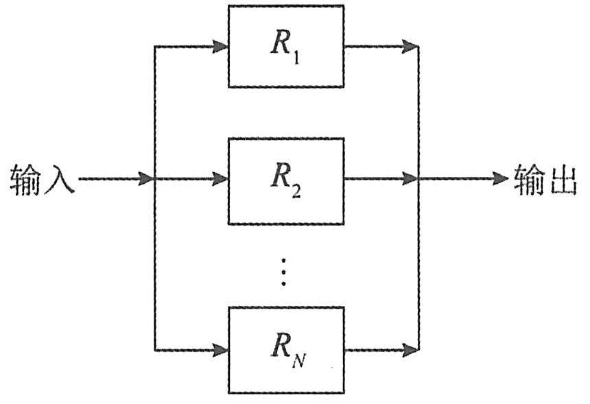
某计算机系统由下图所示的部件构成,假定每个部件的千小时可靠度都为R,则该系统的千小时可靠度为(2)。
 
 
  A.  R+2R/4
 
  B.  R+R2/4
 
  C.  R(1-(1-R)2)
 
  D.  R(1-(1-R)2)2
 
 
 

  相关试题:硬件基础知识          更多>  
 
  第6题    2011年上半年  
   40%
某计算机系统由下图所示的部件构成,假定每个部件的千小时可靠度都为R,则该系统的千小时可靠度为(6)。
  第6题    2014年上半年  
   55%
若用256K X 8bit 的存储器芯片,构成地址40000000H到400FFFFFH且按字节编址的内存区域,则需()片芯片。
  第2题    2023年上半年  
   32%
在由高速缓存、主存和硬盘构成的三级存储体系中,CPU执行指令时需要读取数据,那么DMA控制器和中断CPU发出的数据地址是(  )..
   知识点讲解    
   · 计算机可靠性模型    · 可靠度
 
       计算机可靠性模型
        计算机系统是一个复杂的系统,而且影响其可靠性的因素也非常繁复,很难直接对其进行可靠性分析。但通过建立适当的数学模型,把大系统分割成若干子系统,可以简化其分析过程。常见的系统可靠性数学模型有以下三种:
        (1)串联系统。假设一个系统由N个子系统组成,当且仅当所有的子系统都能正常工作时,系统才能正常工作,这种系统称为串联系统,如下图所示。
        
        串联系统的可靠性模型
        设系统中各个子系统的可靠性度量值分别用R1R2,…,RN来表示,则系统的可靠性R度量值由下式求得:
        R=R1R2RN
        如果系统的各个子系统的失效率分别用λ1λ2…,λN来表示,则系统的失效率λ可由下式求得:
        λ=λ12+…+λN
        例如,设某计算机系统由CPU、存储器、I/O三部分组成,其可靠性分别为0.95、0.90和0.85,则该计算机系统的可靠性度量值为R=R1·R2·R3=0.95×0.90×0.85≈0.73。
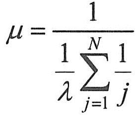
        (2)并联系统。假如一个系统由N个子系统组成,只要有一个子系统正常工作,系统就能正常工作,这样的系统称为并联系统,如下图所示。设每个子系统的可靠性度量值分别以R1R2,…,RN表示,整个系统的可靠性度量值由下式来求得:
        R=1-(1-R1)(1-R2)…(1-RN
        
        并联系统的可靠性模型
        假如所有子系统的失效率均为λ,则系统的失效率μ为:
        
        在并联系统中只有一个子系统是真正需要的,其余N-1个子系统称为冗余子系统,随着冗余子系统数量的增加,系统的平均无故障时间也增加了。
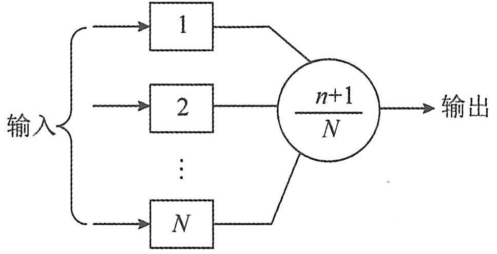
        (3)N模冗余系统。N模冗余系统由N个(N=2n+1)相同的子系统和一个表决器组成,表决器把N个子系统中占多数相同结果的输出作为系统的输出,如下图所示。
        
        N模冗余系统
        在N个子系统中,只要有n+1个或n+1个以上子系统能正常工作,系统就能正常工作,输出正确的结果。假设表决器是完全可靠的,每个子系统的可靠性为R0,则N模冗余系统的可靠性度量值为:
        
        其中,表示从N个元素中取i个元素的组合数。
        提高计算机的可靠性一般采取如下两项措施:
        (1)提高元器件质量,改进加工工艺与工艺结构,完善电路设计。
        (2)发展容错技术,使得在计算机硬件有故障的情况下,计算机仍能继续运行,得出正确的结果。
 
       可靠度
        我们用来表示可靠性最为直接的方式就是可靠度,根据可靠性的定义,可靠度就是软件系统在规定的条件下,规定的时间内不发生失效的概率,如果用Ft)来表示到t时刻止,软件不出现失效的概率,则可靠度的公式为
        
        同样,我们知道R(0)=1,R(+∞)=0
   题号导航      2010年上半年 数据库系统工程师 上午试卷 综合知识   本试卷我的完整做题情况  
1 /
2 /
3 /
4 /
5 /
6 /
7 /
8 /
9 /
10 /
11 /
12 /
13 /
14 /
15 /
 
16 /
17 /
18 /
19 /
20 /
21 /
22 /
23 /
24 /
25 /
26 /
27 /
28 /
29 /
30 /
 
31 /
32 /
33 /
34 /
35 /
36 /
37 /
38 /
39 /
40 /
41 /
42 /
43 /
44 /
45 /
 
46 /
47 /
48 /
49 /
50 /
51 /
52 /
53 /
54 /
55 /
56 /
57 /
58 /
59 /
60 /
 
61 /
62 /
63 /
64 /
65 /
66 /
67 /
68 /
69 /
70 /
71 /
72 /
73 /
74 /
75 /
 
第2题    在手机中做本题