免费智能真题库 > 历年试卷 > 数据库系统工程师 > 2016年上半年 数据库系统工程师 上午试卷 综合知识
  第16题      
  章/节:   软件工程基础知识       

 
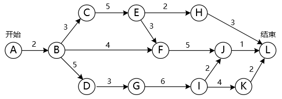
某软件项目的活动图如下图所示,其中顶点表示项目里程碑,连接顶点的边表示包含的活动,边上的数字表示活动的持续时间(天),则完成该项目的最少时间为(15)天。活动BD最多可以晚开始(16)天而不会影响整个项目的进度。

 
 
  A.  0
 
  B.  2
 
  C.  3
 
  D.  5
 
 
 

  相关试题:软件工程基础知识          更多>  
 
  第59题    2024年上半年  
   0%
在进行进度安排时,PERT图不能清晰地描述(17),但可以给出哪些任务完成后才能开始另一些任务。某项目X包含任务A、B、…&h..
  第17题    2017年上半年  
   47%
在采用结构化开发方法进行软件开发时,设计阶段接口设计主要依据需求分析阶段的(17)。接口设计的任务主要是(18)。
  第18题    2017年上半年  
   39%
在采用结构化开发方法进行软件开发时,设计阶段接口设计主要依据需求分析阶段的(17)。接口设计的任务主要是(18)。
   题号导航      2016年上半年 数据库系统工程师 上午试卷 综合知识   本试卷我的完整做题情况  
1 /
2 /
3 /
4 /
5 /
6 /
7 /
8 /
9 /
10 /
11 /
12 /
13 /
14 /
15 /
 
16 /
17 /
18 /
19 /
20 /
21 /
22 /
23 /
24 /
25 /
26 /
27 /
28 /
29 /
30 /
 
31 /
32 /
33 /
34 /
35 /
36 /
37 /
38 /
39 /
40 /
41 /
42 /
43 /
44 /
45 /
 
46 /
47 /
48 /
49 /
50 /
51 /
52 /
53 /
54 /
55 /
56 /
57 /
58 /
59 /
60 /
 
61 /
62 /
63 /
64 /
65 /
66 /
67 /
68 /
69 /
70 /
71 /
72 /
73 /
74 /
75 /
 
第16题    在手机中做本题