免费智能真题库 > 历年试卷 > 多媒体应用设计师 > 2010年上半年 多媒体应用设计师 上午试卷 综合知识
  第36题      
  知识点:   JPEG压缩算法概述   次最优的正交交换——离散余弦变换(DCT)   编码   变换编码
  关键词:   变换编码   编码        章/节:   变换编码   数据压缩编码标准       

 
以下变换编码中,应用于JPEG编码标准的是(36)。
 
 
  A.  K-L变换
 
  B.  Haar变换
 
  C.  DCT变换
 
  D.  DFT变换
 
 
 

  相关试题:变换编码          更多>  
 
  第18题    2023年下半年  
   0%
以下关于变换编码的叙述中,正确的是(50),
  第30题    2024年下半年  
   0%
下列选项中,属于变换编码最明显特点之一的是(48)。
  第48题    2020年下半年  
   33%
下列选项中,属于变换编码最明显特点之一的是(48)。
  相关试题:数据压缩编码标准          更多>  
 
  第45题    2013年上半年  
   28%
MPEG-1的视频图像序列有(45)种,其中(46)的数据量最少。MPEG-1视频帧间编码的运动补偿是基于(47)的宏块进行的。
  第39题    2021年下半年  
   33%
JPEG的压缩过程依次是()。
  第32题    2013年上半年  
   32%
JPEG图像编码标准采用(32)颜色子采样模式,其有损编码算法对亮度及两个色度的变换系数应用了(33)个视觉最优量化表,量化后的直..
   知识点讲解    
   · JPEG压缩算法概述    · 次最优的正交交换——离散余弦变换(DCT)    · 编码    · 变换编码
 
       JPEG压缩算法概述
        JPEG专家组开发了两种基本的压缩算法,一种是采用以DCT为基础的有损压缩算法,另一种是采用以预测技术为基础的无损压缩算法。以DCT为基础的有损压缩算法可以分为变换、量化和熵编码三个主要步骤。
        JPEG在使用DCT进行有损压缩时压缩比可调整,在压缩10~30倍后,图像效果仍然不错,因此得到了广泛的应用(尤其是在网络中)。
        JPEG压缩算法中的有损压缩利用了人的视觉系统的特性,使用量化和无损压缩编码相结合以去掉视觉的冗余信息和数据本身的冗余信息。JPEG属于结合变换编码(DCT)与熵编码(RLE/Huffman)的混合编码。JPEG算法框图如下图所示。
        
        JPEG压缩编码/解压缩算法框图
        JPEG算法与颜色空间无关,因此在JPEG算法中没有包含对颜色空间的变换。JPEG算法处理的彩色图像是单独的颜色分量图像,因此它可以压缩来自不同彩色空间的数据,如RGB、YCbCr和CMYK等。
 
       次最优的正交交换——离散余弦变换(DCT)
        DCT变换(Discrete Cosine Transform,离散余弦变换)是与傅里叶变换相关的一种变换,傅里叶变换后得到的数是一个复数,在计算时既要计算实数部分,又要计算虚数部分,计算量较大,而DCT变换只使用实数部分,简化了计算量,所以在图像领域得到了广泛的应用。
        一维离散余弦变换的定义如下。
        
        其中
        
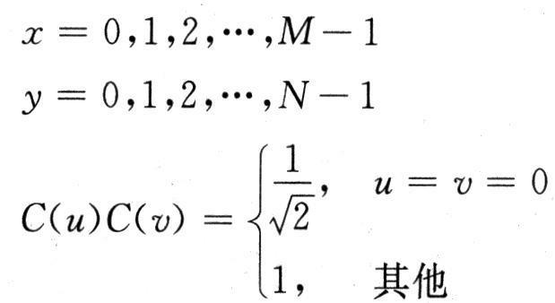
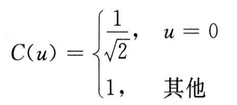
        式中Fu)是第u个余弦变换系数,u是广义频率变量,u=1,2,…,N—1;fx)是时域N点序列,x=1,2,…,N—1。
        一维离散余弦反变换如下。
        
        式中xu=1,2,…,N—1。
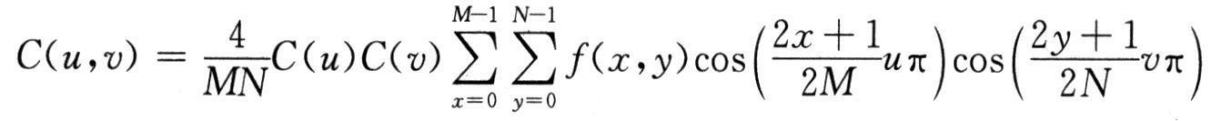
        二维离散余弦变换的变换公式为
        
        其中
        
        利用公式表示比较抽象,还有一种表示方法比较直观,就是利用矩阵表示。如果令N=4,那么将N带入一维解析式定义,可得如下展开式。
        
        写成矩阵表示为
        
        若定义[A]为变换矩阵,[Fu)]为变换系数矩阵,[fx)]为时域数据矩阵,则一维离散余弦变换的矩阵定义式可写成如下形式。
        [Fu)]=[A][fx)]
        同理,可得到反变换展开式:
        
        写成矩阵式:
        
        即:
        [fx)]=[A][Fu)]
        二维离散余弦变换也可以写成矩阵式:
        [Fu,v)]=[A][fx,y)][A]′
        [fx,y)]=[A]′[Fu,v)][A
        式中[fx,y)]是空间数据阵列,[Fu,v)]是变换系数阵列,[A]是变换矩阵,[A]′是[A]的转置矩阵。
 
       编码
               编码过程
               在给定了软件设计规格说明书后,下一步的工作就是编写代码。一般来说,编码工作可以分为四个步骤:
               (1)确定源程序的标准格式,制订编程规范。
               (2)准备编程环境,包括软硬件平台的选择,包括操作系统、编程语言、集成开发环境等。
               (3)编写代码。
               (4)进行代码审查,以提高编码质量。为提高审查的效率,在代码审查前需要准备一份检查清单,并设定此次审查须找到的bug数量。在审查时,要检查软件规格说明书与编码内容是否一致;代码对硬件和操作系统资源的访问是否正确;中断控制模块是否正确等。
               编码准则
               在嵌入式系统中,由于资源有限,且实时性和可靠性要求较高,因此,在开发嵌入式软件时,要注意对执行时间、存储空间和开发/维护时间这三种资源的使用进行优化。也就是说,代码的执行速度要越快越好,系统占用的存储空间要越小越好,软件开发和维护的时间要越少越好。
               具体来说,在编写代码时,需要做到以下几点:
               .保持函数短小精悍。一个函数应该只实现一个功能,如果函数的代码过于复杂,将多个功能混杂在一起,就很难具备可靠性和可维护性。另外,要限制函数的长度,一般来说,一个函数的长度最好不要超过100行。
               .封装代码。将数据以及对其进行操作的代码封装在一个实体中,其他代码不能直接访问这些数据。例如,全局变量必须在使用该变量的函数或模块内定义。对代码进行封装的结果就是消除了代码之间的依赖性,提高了对象的内聚性,使封装后的代码对其他行为的依赖性较小。
               .消除冗余代码。例如,将一个变量赋给它自己,初始化或设置一个变量后却从不使用它,等等。研究表明,即使是无害的冗余也往往和程序的缺陷高度关联。
               .减少实时代码。实时代码不但容易出错、编写成本较高,而且调试成本可能更高。如果可能,最好将对执行时间要求严格的代码转移到一个单独的任务或者程序段中。
               .编写优雅流畅的代码。
               .遵守代码编写标准并借助检查工具。用自动检验工具寻找缺陷比人工调试便宜,而且能捕捉到通过传统测试检查不到的各种问题。
               编码技术
                      编程规范
                      在嵌入式软件开发过程中,遵守编程规范,养成良好的编程习惯,这是非常重要的,将直接影响到所编写代码的质量。
                      编程规范主要涉及的三方面内容:
                      .命名规则。从编译器的角度,一个合法的变量名由字母、数字和下画线三种字符组成,且第一个字符必须为字母或下画线。但是从程序员的角度,一个好的名字不仅要合法,还要载有足够的信息,做到“见名知意”,并且在语意清晰、不含歧义的前提下,尽可能地简短。
                      .编码格式。在程序布局时,要使用缩进规则,例如变量的定义和可执行语句要缩进一级,当函数的参数过长时,也要缩进。另外,括弧的使用要整齐配对,要善于使用空格和空行来美化代码。例如,在二元运算符与其运算对象之间,要留有空格;在变量定义和代码之间要留有空行;在不同功能的代码段之间也要用空行隔开。
                      .注释的书写。注释的典型内容包括:函数的功能描述;设计过程中的决策,如数据结构和算法的选择;错误的处理方式;复杂代码的设计思想等。在书写注释时要注意,注释的内容应该与相应的代码保持一致,同时要避免不必要的注释,过犹不及。
                      性能优化
                      由于嵌入式系统对实时性的要求较高,因此一般要求对代码的性能进行优化,使代码的执行速度越快越好。以算术运算为例,在编写代码时,需要仔细地选择和使用算术运算符。一般来说,整数的算术运算最快,其次是带有硬件支持的浮点运算,而用软件来实现的浮点运算是非常慢的。因此,在编码时要遵守以下准则:
                      .尽量使用整数(char、short、int和long)的加法和减法。
                      .如果没有硬件支持,尽量避免使用乘法。
                      .尽量避免使用除法。
                      .如果没有硬件支持,尽量避免使用浮点数。
                      下图是一个例子,其中两段代码的功能完全一样,都是对一个结构体数组的各个元素进行初始化,但采用两种不同的方法来实现。下图(a)采用数组下标的方法,在定位第i个数组元素时,需要将i乘以结构体元素的大小,再加上数组的起始地址。下图(b)采用的是指针访问的方法,先把指针fp初始化为数组的起始地址,然后每访问完一个数组元素,就把fp加1,指向下一个元素。在一个奔腾4的PC上,将这两段代码分别重复10 700次,右边这段代码需要1ms,而左边这段代码需要2.13ms。
                      
                      算术运算性能优化的例子
 
       变换编码
        变换编码是将通常在空间域描写的图像信号进行某种函数变换,变换到另外一些正交矢量空间(即变换域)中进行描写,而且通过选择合适的变换关系使变换域中描写的各信号分量之间相关性很小或者互不相关,从而达到数据压缩的目的。将这种变换反向进行即可恢复原来的数据。
        变换编码的种类很多,例如傅立叶变换、离散余弦变换、离散正弦变换等。采用不同的变换方式,压缩的数据量和压缩速度都不相同。
   题号导航      2010年上半年 多媒体应用设计师 上午试卷 综合知识   本试卷我的完整做题情况  
1 /
2 /
3 /
4 /
5 /
6 /
7 /
8 /
9 /
10 /
11 /
12 /
13 /
14 /
15 /
 
16 /
17 /
18 /
19 /
20 /
21 /
22 /
23 /
24 /
25 /
26 /
27 /
28 /
29 /
30 /
 
31 /
32 /
33 /
34 /
35 /
36 /
37 /
38 /
39 /
40 /
41 /
42 /
43 /
44 /
45 /
 
46 /
47 /
48 /
49 /
50 /
51 /
52 /
53 /
54 /
55 /
56 /
57 /
58 /
59 /
60 /
 
61 /
62 /
63 /
64 /
65 /
66 /
67 /
68 /
69 /
70 /
71 /
72 /
73 /
74 /
75 /
 
第36题    在手机中做本题