免费智能真题库 > 历年试卷 > 嵌入式系统设计师 > 2015年下半年 嵌入式系统设计师 上午试卷 综合知识
  第18题      
  章/节:   系统开发过程及其项目管理       

 
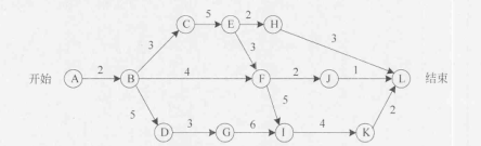
某软件项目的活动图如下图所示,其中顶点表示项目里程碑,连接顶点的边表示活动,边上的数字表示该活动所需的天数,则完成该项目的最少时间为(17)天。活动BD最多可以晚(18)天开始而不会影响整个项目的进度。
 
 
  A.  2
 
  B.  3
 
  C.  5
 
  D.  9
 
 
 

  相关试题:系统开发过程及其项目管理          更多>  
 
  第18题    2021年上半年  
   75%
下图是一个软件项目的活动图,其中顶点表示项目里程碑,连接顶点的边表示包含的活动,边上的权重表示活动的持续时间(天),则关键..
  第10题    2022年上半年  
   0%
在敏捷过程的开发方法中,(16)使用了迭代的方法,其中,把每段时间(30天)一次的迭代称为一个“冲刺”,并按需求的..
  第65题    2021年上半年  
   100%
嵌入式软件开发过程一般包括需求分析阶段、软件设计阶段、编码阶段和集成阶段,下面不属于嵌入式软件设计阶段的是()。
   题号导航      2015年下半年 嵌入式系统设计师 上午试卷 综合知识   本试卷我的完整做题情况  
1 /
2 /
3 /
4 /
5 /
6 /
7 /
8 /
9 /
10 /
11 /
12 /
13 /
14 /
15 /
 
16 /
17 /
18 /
19 /
20 /
21 /
22 /
23 /
24 /
25 /
26 /
27 /
28 /
29 /
30 /
 
31 /
32 /
33 /
34 /
35 /
36 /
37 /
38 /
39 /
40 /
41 /
42 /
43 /
44 /
45 /
 
46 /
47 /
48 /
49 /
50 /
51 /
52 /
53 /
54 /
55 /
56 /
57 /
58 /
59 /
60 /
 
61 /
62 /
63 /
64 /
65 /
66 /
67 /
68 /
69 /
70 /
71 /
72 /
73 /
74 /
75 /
 
第18题    在手机中做本题