免费智能真题库 > 历年试卷 > 嵌入式系统设计师 > 2019年下半年 嵌入式系统设计师 上午试卷 综合知识
  第1题      
  知识点:   计算机可靠性模型   可靠度   可靠性   系统的可靠性
  关键词:   可靠性   系统设计        章/节:   可靠性与系统性能评测基础知识       

 
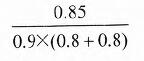
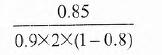
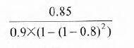
某系统的可靠性结构框图如下图所示。假设部件1、2、3的可靠度分别为0.90、0.80、0.80(部件2、3为冗余系统)。若要求该系统的可靠度不小于0.85,则进行系统设计时, 部件4的可靠至度至少应为(1)。
 
 
  A. 
 
  B. 
 
  C. 
 
  D. 
 
 
 

  相关试题:可靠性与系统性能评测基础知识          更多>  
 
  第44题    2016年下半年  
   47%
容错技术可以提高计算机系统的可靠性,利用元件冗余保证在局部故障情况下系统还可工作,其中带有热备份的系统称为双重系统,(44..
  第51题    2015年下半年  
   56%
以下关于容错技术的叙述中,错误的是(51)。
  第44题    2020年下半年  
   57%
关于容错技术,下面叙述中不正确是(44)。
   知识点讲解    
   · 计算机可靠性模型    · 可靠度    · 可靠性    · 系统的可靠性
 
       计算机可靠性模型
        计算机系统是一个复杂的系统,而且影响其可靠性的因素非常复杂,很难直接对其进行可靠性分析。但通过建立适当的数学模型,把大系统分割成若干子系统,可以简化其分析过程。常见的系统可靠性数学模型有以下3种。
        (1)串联系统。假设一个系统由N个子系统组成,当且仅当所有的子系统都能正常工作时系统才能正常工作,这种系统称为串联系统,如下图所示。
        
        串联系统的可靠性模型
        设系统中各个子系统的可靠性分别用R1R2,…,RN来表示,则系统的可靠性R可由下式求得。
        R=R1R2RN
        如果系统的各个子系统的失效率分别用λ1λ2,…,λN来表示,则系统的失效率λ可由下式求得。
        λ=λ1+λ2+…+λN
        (2)并联系统。假如一个系统由N个子系统组成,只要有一个子系统正常工作,系统就能正常工作,这样的系统称为并联系统,如下图所示。设每个子系统的可靠性分别以R1R2,…,RN表示,整个系统的可靠性可由下式求得。
        
        并联系统的可靠性模型
        R=1-(1-R1)(1-R2)…(1-RN
        假如所有子系统的失效率均为λ,则系统的失效率μ
        
        在并联系统中只有一个子系统是真正需要的,其余N-1个子系统称为冗余子系统,随着冗余子系统数量的增加,系统的平均无故障时间也增加了。
        (3)N模冗余系统。N模冗余系统由N个(N=2n+1)相同的子系统和一个表决器组成,表决器把N个子系统中占多数相同结果的输出作为系统的输出,如下图所示。
        
        N模冗余系统
        在N个子系统中,只要有n+1个或n+1个以上的子系统能正常工作,系统就能正常工作,输出正确的结果。假设表决器是完全可靠的,每个子系统的可靠性为R0,则N模冗余系统的可靠性为
        
        其中,表示从N个元素中取j个元素的组合数。
        提高计算机的可靠性一般采取如下两项措施。
        (1)提高元器件质量,改进加工工艺与工艺结构,完善电路设计。
        (2)发展容错技术,使得在计算机硬件有故障的情况下,计算机仍能继续运行,得出正确的结果。
 
       可靠度
        我们用来表示可靠性最为直接的方式就是可靠度,根据可靠性的定义,可靠度就是软件系统在规定的条件下,规定的时间内不发生失效的概率,如果用Ft)来表示到t时刻止,软件不出现失效的概率,则可靠度的公式为
        
        同样,我们知道R(0)=1,R(+∞)=0
 
       可靠性
        (1)完备性。完备性评价指标及测量,如下表所示。
        
        完备性评价指标及测量
        (2)连续性。连续性评价指标及测量,如下表所示。
        
        连续性评价指标及测量
        
        (3)稳定性。稳定性评价指标及测量,如下表所示。
        
        稳定性评价指标及测量
        (4)有效性。有效性评价指标及测量,如下表所示。
        
        有效性评价指标及测量
        (5)可追溯性。可追溯性评价指标及测量,如下表所示。
        
        可追溯性评价指标及测量
        
 
       系统的可靠性
        系统的可靠性是只保证系统正常工作的能力。这是对系统的基本要求,系统在工作时,应当对所有可能发生的情况都予以考虑,并采取适当的防范措施,提高系统的可靠性。系统的可靠性主要分系统硬件和软件的可靠性。衡量系统可靠性的重要指标是系统的平均故障间隔时间(Mean Time Between Failure, MTBF)和平均维护时间(Mean Time To Repair,MTTR)。前者指平均的系统前后两次发生故障的间隔时间,后者指发生故障后平均没修复所需要的时间。系统平均故障间隔时间越长,系统可靠性就越高;系统平均维护时间越短,则说明系统的可维护性就越高。
        要提高系统的可靠性需要从多个方面进行考察,采取多种相应的措施,可以选用可靠性较高的设备;在设计中尽可能地避免出错,在程序中设置各种检验措施,防止误操作和非法使用;采取软件和硬件的各种安全保障措施和操作,例如,对输入数据进行完整性检验,建立运行日志和审计跟踪,规定文件存取权限以及定期备份,等等。
   题号导航      2019年下半年 嵌入式系统设计师 上午试卷 综合知识   本试卷我的完整做题情况  
1 /
2 /
3 /
4 /
5 /
6 /
7 /
8 /
9 /
10 /
11 /
12 /
13 /
14 /
15 /
 
16 /
17 /
18 /
19 /
20 /
21 /
22 /
23 /
24 /
25 /
26 /
27 /
28 /
29 /
30 /
 
31 /
32 /
33 /
34 /
35 /
36 /
37 /
38 /
39 /
40 /
41 /
42 /
43 /
44 /
45 /
 
46 /
47 /
48 /
49 /
50 /
51 /
52 /
53 /
54 /
55 /
56 /
57 /
58 /
59 /
60 /
 
61 /
62 /
63 /
64 /
65 /
66 /
67 /
68 /
69 /
70 /
71 /
72 /
73 /
74 /
75 /
 
第1题    在手机中做本题