免费智能真题库 > 历年试卷 > 嵌入式系统设计师 > 2019年下半年 嵌入式系统设计师 下午试卷 案例
  第2题      
  知识点:   USB   串口   红外   Word   视频   系统接口   硬件   硬件系统

 
在服务型智能扫地机器人的系统设计中,李工设计的扫地机器人硬件系统接口如图2-1所示,其中STM32单片机负责进行各个传感器的数据釆集,包括利用GPIO进行各种传感器数据的获取、利用ADC进行红外测距仪数据的获取、利用IIC进行陀螺仪(角度)传感器数据的获取,通过串口将数据发送给主处理器S5PV210,并利用脉冲计数进行扫地机器人运动速度、距离等信息的获取。主处理器S5PV210通过USB接口采集实时视频,利用PWM进行云台控制,同时利用USB接口通过WIFI和后台主机实现信息交互。

STM32单片机有BOOT1BOOTO两个启动方式选择管脚,包括三种不同的启动方式,如表2-1所示。

李工在STM32单片机的启动电路设计时,釆用跳线帽形式进行启动方式选择,对应电路如图2-2所示。

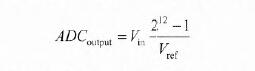
李工在利用ADC进行红外测距仪数据的釆集设计中,采用STM32内置的12bit逐次比较型ADC参考电压Ref3.3V,ADC的釆集数字输出为:

为获取扫地机器人在移动过程中的距离、速度等信息,李工将霍尔传感器模块分别安装在左右车轮驱动电机的轴上,通过两个计数器采集左右驱动电机轴上的霍尔传感器脉冲数,以此来计算获取扫地机器人的移动距离、旋转角度等信息。图2-3为扫地机器人的圆形机身和左右两轮的示意图。

知左右车轮转动一圈时,霍尔传感器输出564个脉冲表示为n0那么计数器采集到的脉冲数和左右轮的移动距离关系可以表示为(R为车轮距中心半径,r为左右轮的半径,nx为当前计数器从开始到现在采集到的脉冲数)



 
问题:2.1   如果STM32的选择从主Flash启动,那么图2-2中的跳线帽应该连接管脚1和管脚2还是管脚2和管脚3?
 
问题:2.2   当红外测距仪数据模拟电压Vin为2.4V时,ADC的输出值是多少?(用十进制数表示)
 
问题:2.3   假设扫地机器人的车轮距中心半径R=30cm,左右轮的半径r=5cm。当左轮PWM脉冲计数数目为2256时,左轮从脉冲计数开始到现在,移动的距离是多少厘米? (π取 3.14)
 
问题:2.4   李工在扫地机器人设计中加入了陀螺仪模块,通过陀螺仪可以获取不同时刻之间的偏转角,进而与霍尔传感器相融合,使得运动控制器能够直接快速得到系统当前的偏转角。陀螺仪和STM32之间通过IIC接口进行数据通信,陀螺仪和STM32之间还有一个信号线(STM32的GPI09)和陀螺仪芯片复位线(STM32的GPI08,低电平为复位, 高电平为非复位)。
在STM32通过IIC接口获取陀螺仪数据前,需要先对陀螺仪复位并查询信号线的有效性(GPI09高为有效,低为无效),有效时再通过IIC接口读取陀螺仪的数据。李工设计了通过IIC接口获取陀螺仪数据的流程图(图2-4),请选择合适的项进行补全。
图2-4 中(1)-(4)备选答案:
A.GPI09和GPI08都设置为输入
B.GPI09和GPI08都设置为输出
C.GPI09设置为输入,GPI08设置为输出
D.GPI09设置为输出,GPI08设置为输入
E.GPI09设置为高,持续一段时间,
G.PI09设置为低
F.GPI09设置为低,持续一段时间, GPI09设置为高
G.GPI08设置为低,持续一段时间, GPI08设置为高
H.GPI08设置为高,持续一段时间, GPI08设置为低
I.GPI09为高电平?
J.GPI09为低电平?
K.GPI08为高电平?
L.GPI08为低电平?
M.通过IIC读取数据
N.通过IIC写入数据
 
 
 

   知识点讲解    
   · USB    · 串口    · 红外    · Word    · 视频    · 系统接口    · 硬件    · 硬件系统
 
       USB
        通用串行总线(Universal Serial Bus,USB)是由Intel、Compaq、Digital、IBM、Microsoft、NEC、Northern Telecom等7家世界著名的计算机和通信公司在1994年共同推出的一种新型接口标准。它基于通用连接技术,实现外设的简单快速连接,达到方便用户、降低成本、扩展PC连接外设范围的目的。它可以为外设提供电源,而不像普通的使用串、并口的设备需要单独的供电系统。另外,快速是USB技术的突出特点之一,USB 2.0的理论最大传输速率可达480Mb/s。USB还能支持多媒体,但是不能通过USB进行计算机的互连。从1994年11月11日发表了USB V0.7版本以后,USB版本经历了多年的发展,到现在已经发展为3.0版本。
        USB为所有的USB外设提供了单一的易于使用的标准的连接类型。这样一来就简化了USB外设的设计,同时也简化了用户在判断哪个插头对应哪个插槽时的任务,实现了单一的数据通用接口。
        整个USB的系统只有一个端口和一个中断节省了系统资源。
        USB支持热插拔和PNP(Plug-and-Play),也就是说在不关闭PC的情况下可以安全的插上和断开USB设备。计算机系统动态地检测外设的插拔,并且动态地加载驱动程序。其他普通的外围连接标准,如SCSI设备等必须在关掉主机的情况下才能插拔外围设备。
        USB在设备供电方面可以通过USB电缆供电;也可以通过电池或者其他的电力设备来供电;或使用两种供电方式的组合,并且支持节约能源的挂机和唤醒模式。
        为了适应各种不同类型外围设备的要求,USB提供了四种不同的数据传输类型:控制传输、数据传输、中断数据传输和同步数据传输。同步数据传输可为音频和视频等实时设备的实时数据传输提供固定带宽。
        USB提供全速12Mb/s的速率和低速1.5Mb/s的速率来适应各种不同类型的外设,USB 2.0还支持480Mb/s的高速传输速率。
        USB的端口具有很灵活的扩展性,一个USB端口串接上一个USB Hub就可以扩展为多个USB端口。
 
       串口
        所谓串行通信就是使数据一位一位地进行传输而实现的通信。当然,在实际传输中,如外部设备与CPU或计算机与计算机之间交换信息,是通过一对导线传送信息的。在传输中每一位数据都占据一个固定的时间长度。与并行通信相比,串行通信具有传输线少、成本低等优点,特别适合远距离传送,其缺点是速度慢,若并行传送n位数据需时间T,则串行传送的时间最少为nT。
               RS-232C串口
               RS-232C是美国电子工业协会(Electronic Industry Association,EIA)制定的一种串行物理接口标准。RS是英文“推荐标准”的缩写,232为标识号,C表示修改次数。
               RS-232C总线标准设有25条信号线,包括一个主通道和一个辅助通道,在多数情况下主要使用主通道,对于一般双工通信,仅需几条信号线就可实现,如一条发送线、一条接收线及一条地线。
               RS-232C标准规定的数据传输速率为每秒50、75、100、150、300、600、1200、2400、4800、9600、19200比特。RS-232C标准规定,驱动器允许有2500pF的电容负载,通信距离将受此电容限制。例如,采用150pF/m的通信电缆时,最大通信距离为15m;若每米电缆的电容量减小,通信距离可以增加。传输距离短的另一原因是RS-232属单端信号传送,存在共地噪声和不能抑制共模干扰等问题,因此一般用于20m以内的通信。
               嵌入式板卡上一般都配置有串口,并遵循RS-232总线标准。
               RS-485串口
               在要求通信距离为几十米到上千米时,广泛采用RS-485串行总线标准。RS-485采用平衡发送和差分接收,因此具有抑制共模干扰的能力。加上总线收发器具有高灵敏度,能检测低至200mV的电压,故传输信号能在千米以外得到恢复。
               RS-485采用半双工工作方式,任何时候只能有一点处于发送状态,因此,发送电路须由使能信号加以控制。RS-485用于多点互连时非常方便,可以省掉许多信号线。应用RS-485可以联网构成分布式系统,其允许最多并联32台驱动器和32台接收器。
 
       红外
        红外接口,英文简称为IrDA,是红外线数据标准协会(Infrared Data Association)的英文缩写。IrDA红外接口是一种红外线无线传输协议以及基于该协议的无线传输接口。支持IrDA接口的掌上电脑,可以无线地向支持IrDA的设备无线连接来实现信息资源的共享。
        红外接口可以在同样具备红外接口的设备间进行信息交流,由于需要对接才能传输信息,安全性较强。缺点是通信距离短,通信过程中不能移动,遇障碍物通信中断,功能单一,扩展性差。
 
       Word
        Word是微软公司开发的最流行的文字处理程序。Word提供了许多易于使用的文档创建工具,同时也提供了丰富的功能集供创建复杂文档使用。
 
       视频
        视频是动态的画面序列,这些画面以超过每秒24帧的速度播放,便可以使观察者产生平滑、连续的视觉效果。视频类似于我们熟知的电影和电视,有声有色。电影采用了每秒24幅画面的播放速度,电视采用了每秒25幅或30幅画面的播放速度。视频图像可来自于录像带、影碟、电视、摄像机等,这些模拟视频信号可通过视频采集卡转换成数字视频信号,以便计算机进行处理和存储。
 
       系统接口
               接口设计原则
               为了保证系统集中管理的优势,同时保证二次开发的稳定易用,系统在接口规范设计上遵循开放性、先进性、标准性、高效性、安全性、稳定性、易实现性和易维护性原则。
               开放性。接口的设计上本着开放的原则,提供多种方式的接口,第三方系统可以灵活的根据自己的技术要求,选择符合自己的对接方式实现无缝对接。
               先进性。接口的设计尽量遵循业界最新标准,让接口具有更长久的生命力,同时保证接口的高效。
               标准性。在当前计算机系统更新换代的周期越来越短、技术实现也越来越多的现实前提下,为了使系统易于对接,接口在设计过程中坚持标准化的原则,首先采用国家标准和国际标准,其次采用软件界广为流行的通用标准和IT服务的规范,确保数据对接的规范化、标准化。
               高效性。IT全方位监控管理系统是数据集中的中心,需要接入各监控系统的监控采集和运维数据,所以系统的接口需要保证高效性,保证接口的调用能高效处理,避免影响其他系统。
               安全性。系统在设计开发时非常注重系统的安全性,在对外系统接口层面,为了保证数据的安全,访问时加入访问验证避免数据非法获取,通过事务完整性保证数据不丢失。
               稳定性。系统接口具有较高的可靠性,数据正确提交后保证不丢失,长时间运行后保证接口服务稳定提供,数据完整正确。
               易实现性。IT全方位监控管理系统的一大目标是可以对接各种监控系统,实现数据的统一处理和展现,所以在横向数据接口实现上采用简单、广泛使用的技术标准。
               易维护性。各层接口需要进行较好的解耦,互相之间不能构成网状依赖,只允许单向依赖,让各级之间可以较好地升级维护。
               整体接口设计
               系统具有很好的开放性,在监控工具层、数据处理层、运行展现层等不同架构层面都提供了扩展接口,便于和第三方产品集成,提供整体化的平台,同时提供丰富的二次开发接口,以满足全方位监控管理的要求。
               在监控工具层,系统提供一体化监控平台的同时通过插件机制,允许客户定制个性化监控能力。监控框架提供强大的基于脚本扩展的通用监控器和丰富的二次开发监控协议库,可通过脚本配置或二次开发,满足特定环境的监控管理需求。
               在数据处理层,系统具有良好的横向扩展能力,通过数据汇聚接口能够和主流网管软件平台、监控采集软件、机房管理软件、SAP Solution Manager系统、存储备份管理系统、其他业务应用系统等进行对接,接收第三方系统的配置数据、性能数据和告警事件信息进行综合处理和统一运行展现。
               在提供数据汇聚的同时,系统也提供数据输出接口,第三方系统可通过系统的北向接口获取统一配置数据、性能数据和告警事件信息,以便满足个性化的数据处理需求。同时第三方报表统计和分析工具可以通过系统内置的数据仓库,完成更丰富的统计分析报表。
               在运行展现层,系统内的可视化展现平台、统一访问门户提供统一运行展现接口,可以集成其他运维管理系统的展现界面,使本系统成为IT信息化管理的门户系统。
               系统整体平台扩展能力结构如下图所示。
               
               平台整体扩展能力结构图
               从系统整体平台扩展能力结构图可以看出,本次IT全方位监控管理解决方案在以下几大功能层面为用户提供了二次开发扩展接口。
               监控采集扩展:提供了基于SNMP协议和基于脚本的监测扩展能力,对于支持SNMP协议管理的设备和系统,用户可以直接通过界面配置扩展直接完成监控;对于一些提供标准远程访问协议或管理命令行的设备和系统,可以通过基于脚本的监测器扩展完成监控;另外监控框架本身以插件体系构建,同时提供丰富的协议API接口,可以基于监控插件框架扩展开发满足特定的业务监控需求。
               数据汇聚和管理扩展:数据汇聚和管理层对外提供了数据汇聚和管理接口,第三方系统可以通过配置集成接口提交和查询配置项数据,通过性能集成接口提交和查询运行状态、性能指标数据,通过事件集成接口提交故障事件和查询告警信息、触发运维服务流程。
               事件接收处理扩展:事件接收处理扩展可以扩展告警事件的接收、处理和通知动作,通过事件解析和告警处理规则的扩展,系统可以接入和处理更多的故障事件,进行统一的联动通知和展现处理。
               运维流程扩展:运维流程模块提供工单创建和查询接口供第三方系统进行集成,可以通过第三方系统直接创建运维工单;同时系统提供配置扩展能力,可以通过配置界面添加新的业务模块流程,也可以对现有的业务流程、对象信息和展现界面进行调整。
               报表展现集成:在运行展现层,通过统一报表平台可提供各种统计分析报表的扩展定制;通过统一运维门户和MVC技术结合,可集成第三方运维系统和业务系统的界面,更好的、全方位的监控管理。
               数据仓库:系统内置ETL工具从综合监控管理层抽取和汇聚数据,最终形成可快速面向各种运维分析主题进行分析的数据仓库,同时可对第三方报表分析工具提供接口,提供更丰富的运维分析能力。
               上下级联接口:在多级级联部署的模式下,下级系统可通过上下级联接口将统一分析后的关键数据上报至上级系统进行关联分析展现,上级系统也可以通过级联接口访问下级系统,进行统一管理和运维监督。
               在系统提供平台扩展接口的同时,公司提供了丰富的Java二次开发包和二次开发说明文档,便于第三方厂商和客户完成系统扩展开发。
 
       硬件
        硬件是计算机物理设备的总称,也称为硬件设备,通常是电子的、机械的、磁性的或光的元器件或装置,一般分为中央处理器、存储器和输入、输出设备。
 
       硬件系统
        硬件系统是计算机网络的基础,硬件系统由计算机、通信设备、连接设备及辅助设备组成,通过这些设备的组成形成了计算机网络的类型。下面来学习几种常用的设备。
        (1)服务器。在计算机网络中,核心的组成部分是服务器。服务器是计算机网络中向其他计算机或网络设备提供服务的计算机,并按提供的服务被冠以不同的名称,如数据库服务器,邮件服务器等。常用的服务器有文件服务器、打印服务器、通信服务器、数据库服务器、邮件服务器、信息浏览服务器、文件下载服务器等。
        (2)客户机。客户机是与服务器相对的一个概念。在计算机网络中享受其他计算机提供的服务的计算机就称为客户机。
        (3)网卡。网卡是安装在计算机主机板上的电路板插卡,又称为网络适配器或网络接口卡(Network Interface Board)。网卡的作用是将计算机与通信设备相连接,负责传输或者接收数字信息。
        (4)调制解调器。调制解调器(Modem)是一种信号转换装置,可以将计算机中传输的数字信号转换成通信线路中传输的模拟信号,或将通信线路中传输的模拟信号转换成数字信号。一般将数字信号转换成模拟信号,称为“调制”过程;将模拟信号转换成数字信号,称为“解调”过程。调制解调器的作用是将计算机与公用电话线相连,使得现有网络系统以外的计算机用户能够通过拨号的方式利用公用事业电话网访问远程计算机网络系统。
        (5)集线器。集线器是局域网中常用的连接设备,有多个端口,可以连接多台本地计算机。
        (6)网桥。网桥(Bridge)也是局域网常用的连接设备。网桥又称桥接器,是一种在链路层实现局域网互联的存储转发设备。
        (7)路由器。路由器是互联网中常用的连接设备,可以将两个网络连接在一起,组成更大的网络,如局域网与Internet可以通过路由器进行互联。
        (8)中继器。中继器可用来扩展网络长度。中继器的作用是在信号传输较长距离后,进行整形和放大,但不对信号进行校验处理等。
   题号导航      2019年下半年 嵌入式系统设计师 下午试卷 案例   本试卷我的完整做题情况  
1 /
2 /
3 /
4 /
5 /
 
第2题    在手机中做本题