|
|
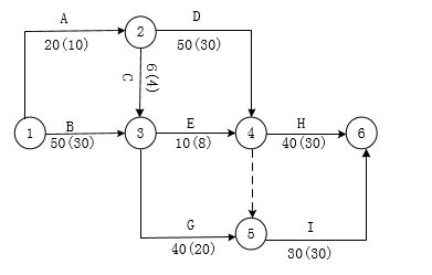
【说明】 刘某和李某分别是一个软件公司的项目经理和合同经理,该软件公司给某客户完成一个软件项目,根据分析该软件项目的网络计划如图4-1所示,箭线下方(或右方)括号外为正常持续时间,括号内为最短工作历时,假定计划工期为100天,根据实际情况和考虑被压缩工作选择的因素,缩短顺序依次为B、C、D、E、G、H、I、A ,试对该网络计划进行工期优化。
 图4-1 项目网络计划图
|
|
|
问题:4.1
(4分) 请在下表空白处填写该任务的紧前工作。
|
|
|
问题:4.2
(4分) (5) 运用网络图4-1,确定该项目的关键路径为(5)。 (6) 该软件项目完成的总工期为(6)天。
|
|
|
问题:4.3
(7分) (7) 计算应缩短的工期为(7)天。 (8) 根据已知条件,首先应将任务(8)压缩到(9)天,再重新计算网络计划和关键线路; (9)再根据实际情况和考虑被压缩任务选择的因素,将任务(10)压缩(11)天及任务(12)压缩到(13)天,使关键路径工期达到100天的要求。
|
|
|
|
|