免费智能真题库 > 历年试卷 > 程序员 > 2025年上半年 程序员 上午试卷 综合知识
  第19题      
  知识点:   逻辑代数及逻辑运算
  关键词:   表达式        章/节:   算术运算和逻辑运算       

 
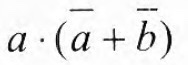
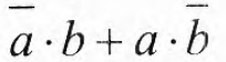
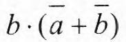
与逻辑表达式a+b等价的是()。(+、·、—分别表示逻辑或、逻辑与、逻辑非运算)
 
 
  A. 
 
  B. 
 
  C. 
 
  D. 
 
 
 

  相关试题:算术运算和逻辑运算          更多>  
 
  第21题    2010年上半年  
   55%
  第22题    2010年下半年  
   52%
某逻辑电路有两个输入端和一个输出端,输入端用X和Y表示,输出端用Z表示。当且仅当X和Y同时为1时,Z才为0,则该电路的逻辑表达式..
  第22题    2018年下半年  
   37%
与XⓧY(即仅当X与Y不相同时,XⓧY的结果为真)等价的逻辑表达式为( )。
   知识点讲解    
   · 逻辑代数及逻辑运算
 
       逻辑代数及逻辑运算
        在逻辑代数中,逻辑值只有两个,即"T"与"F"(或"Y"与"N")。我们知道,二进制数也只有两个值"1"与"0",所以可用二进制数表示逻辑值,并充分利用逻辑运算的特点,进行信息的处理。
        注意:运算按位进行,没有进位和借位。
               基本的逻辑运算
               1)"与"运算(逻辑乘运算)
               与逻辑:决定事件发生的各条件中,所有条件都具备,事件才会发生(成立)。
               两个逻辑变量的与逻辑关系表达式:Y=A·B(或Y=AB,也可简写为Y=AB)。
               两个逻辑变量的与逻辑真值表:
               
               与运算规则:
               
               例如:
               
               与门逻辑符号如下表所示。
               2)"或"运算(逻辑加运算)
               或逻辑:决定事件发生的各条件中,有一个或一个以上的条件具备,事件就会发生(成立)。
               两个逻辑变量的或逻辑关系表达式:Y=A+B(或Y=AB)。
               两个逻辑变量的或逻辑的真值表:
               
               或运算规则:
               
               例如:
               
               或门逻辑符号如下表所示。
               3)"非"运算(取反运算)
               非逻辑:决定事件发生的条件只有一个,条件不具备时事件发生(成立),条件具备时事件不发生。
               非逻辑关系表达式:
               非逻辑的真值表:
               
               非运算规则:
               
               例如:
               非门逻辑符号如下表所示。
               
               各种门电路符号及逻辑表达式
               常用的逻辑公式
               .交换律:A+B=B+A
               .结合律:A+B+C=(A+B)+C=A+(B+C);ABC=(AB)C=ABC);AB=BA
               .分配律:A(B+C)=AB+ACA+BC=(A+B)(A+C
               .原变量吸收律:A+AB=A
               .反变量吸收律:
               .反演律(德摩根定理):
               .互补律:
               逻辑表达式及其化简
               1)逻辑表达式与真值表
               逻辑表达式是用逻辑运算符把逻辑变量(或逻辑常量)连接在一起表示某种逻辑关系的表达式。
               把变量和表达式的各种取值都一一对应列举出来称为真值表。
               例:证明
               解:AB、C的所有逻辑取值,如下表所示,两个逻辑表达式的函数值相等,证毕。
               
               真值表求证逻辑表达式
               2)逻辑表达式的化简
               利用逻辑运算规律可以对逻辑表达式进行化简。
               例:化简
               解:
   题号导航      2025年上半年 程序员 上午试卷 综合知识   本试卷我的完整做题情况  
1 /
2 /
3 /
4 /
5 /
6 /
7 /
8 /
9 /
10 /
11 /
12 /
13 /
14 /
15 /
 
16 /
17 /
18 /
19 /
20 /
21 /
22 /
23 /
24 /
25 /
26 /
27 /
28 /
29 /
30 /
 
31 /
32 /
33 /
34 /
35 /
36 /
37 /
38 /
39 /
40 /
41 /
42 /
43 /
44 /
45 /
 
46 /
47 /
48 /
49 /
50 /
51 /
52 /
53 /
54 /
55 /
56 /
57 /
58 /
59 /
60 /
 
61 /
62 /
63 /
64 /
65 /
66 /
67 /
68 /
69 /
70 /
71 /
72 /
73 /
74 /
75 /
 
第19题    在手机中做本题