免费智能真题库
>
历年试卷
>
程序员
>
2009年上半年 程序员 下午试卷 案例
第1题
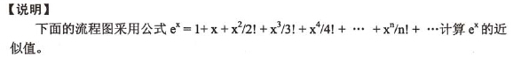
设x位于区间(0, 1),该流程图的算法要点是逐步累积计算每项
的值(作为 T),再逐步累加T值得到所需的结果S。当T值小于10
-5
时,结束计算。
问题:1.1
【流程图】
本题目为专供试卷题目。
【如需要,请开通】
您暂时无法使用本功能。
【如需要,请开通】
为保障您的权益,请登录
题号导航
2009年上半年 程序员 下午试卷 案例
本试卷我的完整做题情况
1
/
2
/
3
/
4
/
5
/
6
/
第1题 在手机中做本题