免费智能真题库 > 历年试卷 > 程序员 > 2015年上半年 程序员 上午试卷 综合知识
  第22题      
  关键词:   机器码        章/节:   数据的表示       

 
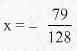
已知,若采用8位定点机器码表示,则[x]= (22)
 
 
  A.  1.1001111
 
  B.  0.1001111
 
  C.  1.0110001
 
  D.  0.1110001
 
 
 

  相关试题:数据的表示          更多>  
 
  第20题    2021年下半年  
   64%
已知二进制正整数X=1010111,若码长为8,则[-X]表示为()。
  第20题    2017年上半年  
   50%
已知某字符的ASCII码值用十进制表示为69,若用二进制形式表示并将最高位设置为偶校验位,则为( )
  第22题    2015年下半年  
   35%
已知x = -31/64, 若采用8位定点机器码表示,则[x=(21) , [x=(..
   题号导航      2015年上半年 程序员 上午试卷 综合知识   本试卷我的完整做题情况  
1 /
2 /
3 /
4 /
5 /
6 /
7 /
8 /
9 /
10 /
11 /
12 /
13 /
14 /
15 /
 
16 /
17 /
18 /
19 /
20 /
21 /
22 /
23 /
24 /
25 /
26 /
27 /
28 /
29 /
30 /
 
31 /
32 /
33 /
34 /
35 /
36 /
37 /
38 /
39 /
40 /
41 /
42 /
43 /
44 /
45 /
 
46 /
47 /
48 /
49 /
50 /
51 /
52 /
53 /
54 /
55 /
56 /
57 /
58 /
59 /
60 /
 
61 /
62 /
63 /
64 /
65 /
66 /
67 /
68 /
69 /
70 /
71 /
72 /
73 /
74 /
75 /
 
第22题    在手机中做本题