免费智能真题库 > 历年试卷 > 程序员 > 2017年下半年 程序员 上午试卷 综合知识
  第31题      
  知识点:   有限自动机
  关键词:   有限自动机   字符串   自动机        章/节:   软件基础知识       

 
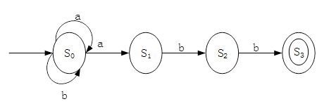
下图所示的非确定有限自动机(S0为初态,S3为终态)可识别字符串( )。
 
 
  A.  bbaa
 
  B.  aabb
 
  C.  abab
 
  D.  baba
 
 
 

  相关试题:软件基础知识          更多>  
 
  第33题    2013年上半年  
   35%
正规式(ab|c)(0|1|2)表示的正规集合中有(33)个元素,(34)属于该正规集。
  第6题    2023年下半年  
   0%
函数fun1()、fun2()的定义如下所示,己知调用funl时传递给形参x的值是-5,若以引用调用(call by reference)的方式调用fun2,则函..
  第28题    2011年下半年  
   42%
标识符在高级语言源程序中的作用不包括(28)。
   知识点讲解    
   · 有限自动机
 
       有限自动机
        有限自动机是一种识别装置的抽象概念,它能准确地识别正规集。有限自动机分为两类:确定的有限自动机和不确定的有限自动机。
        (1)确定的有限自动机(Deterministic Finite Automata,DFA)。一个确定的有限自动机是个五元组:(S,∑,fs0Z),其中:
        ①S是一个有限集合,它的每个元素称为一个状态。
        ②∑是一个有穷字母表,它的每个元素称为一个输入字符。
        ③fS×∑→S上的单值部分映像。fAa=Q表示当前状态为A、输入为a时,将转换到下一状态Q。称QA的一个后继状态。
        ④s0S,是唯一的一个开始状态。
        ⑤Z是非空的终止状态集合,
        一个DFA可以用两种直观的方式表示:状态转换图和状态转换矩阵。状态转换图是一个有向图,简称为转换图。DFA中的每个状态对应转换图中的一个结点;DFA中的每个转换函数对应图中的一条有向弧,若转换函数为fAa)=Q,则该有向弧从结点A出发,进入结点Q,字符a是弧上的标记。
        例如,DFAM1=({s0s1s2s3},{ab},fs0,{s3}),其中f为:
        fs0a)=s1fs0b)=s2fs1a)=s3fs1b)=s2fs2a)=s1fs2b)=s3fs3a)=s3
        与DFAM1对应的状态转换图如下图(a)所示,其中,状态s3表示的结点是终态结点。状态转换矩阵可以用一个二维数组M表示,矩阵元素M[A,a]的行下标表示状态,列下标表示输入字符,M[Aa]的值是当前状态为A、输入字符为a时,应转换到的下一状态。与DFAM1对应的状态转换矩阵如下图(b)所示。在转换矩阵中,一般以第一行的行下标对应的状态作为初态,而终态则需要特别指出。
        
        确定的有限自动机示意图
        对于∑中的任何字符串ω,若存在一条从初态结点到某一终止状态结点的路径,且这条路径上所有弧的标记符连接成的字符串等于ω,则称ω可由DFAM识别(接受或读出)。若一个DFAM的初态结点同时又是终态结点,则空字ε可由该DFA识别(或接受)。DFAM所能识别的语言LM)={ω|ω是从M的初态到终态的路径上的弧上标记所形成的串}。
        例如,对于字符串"ababaa",在上图(a)所示的状态转换图中,识别"ababaa"的路径是s0s1s2s1s2s1s3。由于从初态结点s0出发,存在到达终态结点s3的路径,因此该DFA可识别串"ababaa"。而"abab"和"baab"都不能被该DFA接受。对于字符串“abab“,从初态结点s0出发,经过路径s0s1s2s1s2,当串结束时还没有到达终态结点s3;而对于串"baab",经过路径s0s2s1s3,虽然能到达终态结点s3,但串尚未结束又不存在与下一字符"b"相匹配的状态转换。
        (2)不确定的有限自动机(Nondeterministic Finite Automata,NFA)。一个不确定的有限自动机也是一个五元组,它与确定有限自动机的区别如下。
        ①fS×∑→2s上的映像。对于S中的一个给定状态及输入符号,返回一个状态的集合。即当前状态的后继状态不一定是唯一确定的。
        ②有向弧上的标记可以是ε
        例如,已知有NFAN=({s0s1s2s3},{ab},fs0,{s3}),其中f为:
        fs0a)=s0fs0a)=s1fs0b)=s0fs1b)=s2fs2b)=s3
        与NFAM2对应的状态转换图和状态转换矩阵如下图所示。
        
        NFA的状态转换图和转换矩阵
        显然,DFA是NFA的特例。实际上,对于每个NFAM,都存在一个DFAN,L(M)=L(N)。
        词法分析器的任务是把构成源程序的字符流翻译成单词符号序列。手工构造词法分析器的方法是先用正规式描述语言规定的单词符号,然后构造相应有限自动机的状态转换图,最后依据状态转换图编写词法分析器(程序)。
   题号导航      2017年下半年 程序员 上午试卷 综合知识   本试卷我的完整做题情况  
1 /
2 /
3 /
4 /
5 /
6 /
7 /
8 /
9 /
10 /
11 /
12 /
13 /
14 /
15 /
 
16 /
17 /
18 /
19 /
20 /
21 /
22 /
23 /
24 /
25 /
26 /
27 /
28 /
29 /
30 /
 
31 /
32 /
33 /
34 /
35 /
36 /
37 /
38 /
39 /
40 /
41 /
42 /
43 /
44 /
45 /
 
46 /
47 /
48 /
49 /
50 /
51 /
52 /
53 /
54 /
55 /
56 /
57 /
58 /
59 /
60 /
 
61 /
62 /
63 /
64 /
65 /
66 /
67 /
68 /
69 /
70 /
71 /
72 /
73 /
74 /
75 /
 
第31题    在手机中做本题