免费智能真题库 > 历年试卷 > 程序员 > 2021年下半年 程序员 上午试卷 综合知识
  第26题      
  知识点:   进程的状态及其转换
  章/节:   软件基础知识       

 
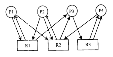
假设系统中有进程Pi(i=1,2,3,4),资源Rj(j=1,2,3),且资源 R1、R2、R3 的可用数分别为 2、3、2。系统的进程资源图如下图所示,当有向边由Pi指向Rj时,表示进程Pi申请一个资源Rj;当有向边由Rj指向Pi时,表示将一个资源Rj分配给进程Pi。如果进程申请的资源得不到满足,则该进程处于等待状态;否则该进程处于非等待状态。该图表明(25)。对该进程资源图可以进行化简,其正确的化简顺序为(26)。(注:化简是指图中的进程得到所需资源,可运行完毕并释放所占用的资源)

 
 
  A.  P1→P2→P3→P4
 
  B.  P2→P3→P4→P1
 
  C.  P3→P4→P2→P1
 
  D.  P4→P3→P2→P1
 
 
 

  相关试题:软件基础知识          更多>  
 
  第25题    2017年上半年  
   39%
在页式存储管理方案中,如果地址长度为32位,并且地址结构的划分如下图所示,则系统中页面总数与页面大小分别为( )
  第11题    2016年下半年  
   24%
为了提高计算机磁盘存取效率,通常可以(11)。
  第42题    2023年下半年  
   0%
假设系统有6个进程共享一个互斥段,如果最多允许3个进程同时进入互斥段,则信号量s的初值为(26),信号量S的变化范围是(27)。
   知识点讲解    
   · 进程的状态及其转换
 
       进程的状态及其转换
        在多道系统中,进程的运行是走走停停的,在处理机上的交替运行,使它的运行状态不断变化。进程的状态主要有三态模型和五态模型。三态模型中最基本的状态有3种:运行、就绪和阻塞。
        .运行(running):正占用处理机。
        .就绪(ready):只要获得处理机即可运行。
        .阻塞(blocked):也称等待或挂起状态,正等待某个事件(如I/O完成)的发生。
        在进程运行的过程中,由于自身进展情况及外界环境的变化,这3种基本状态可以在一定的条件下相互转换,进程的状态及转换如下图所示。
        
        进程状态及其转换图
        五态模型比三态模型更加复杂,在三态模型的基础上增加了新建态和终止态。新建态对应于进程刚刚被创建还没有被提交时的状态,此时应在等待系统完成创建进程的所有必要信息。创建进程时分两个阶段:第一个阶段为一个新进程创建必要的管理信息;第二个阶段让该进程进入就绪状态。有了新建态,操作系统往往因系统的性能和内存容量的限制推迟新建态进程的提交。进程的终止态也可分为两个阶段:第一个阶段等待操作系统进行善后处理;第二个阶段释放内存。
   题号导航      2021年下半年 程序员 上午试卷 综合知识   本试卷我的完整做题情况  
1 /
2 /
3 /
4 /
5 /
6 /
7 /
8 /
9 /
10 /
11 /
12 /
13 /
14 /
15 /
 
16 /
17 /
18 /
19 /
20 /
21 /
22 /
23 /
24 /
25 /
26 /
27 /
28 /
29 /
30 /
 
31 /
32 /
33 /
34 /
35 /
36 /
37 /
38 /
39 /
40 /
41 /
42 /
43 /
44 /
45 /
 
46 /
47 /
48 /
49 /
50 /
51 /
52 /
53 /
54 /
55 /
56 /
57 /
58 /
59 /
60 /
 
61 /
62 /
63 /
64 /
65 /
66 /
67 /
68 /
69 /
70 /
71 /
72 /
73 /
74 /
75 /
 
第26题    在手机中做本题