|
|
【说明】
一元二次方程ax2+bx+c=0(a≠0)的求根公式如下:

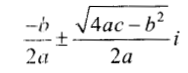
设Δ=b2-4ac,若Δ大于0,则方程有两个不相等的实数根;若Δ等于0,则方程有两个相等的实根(即只有一个实根);若Δ小于0,则方程有两个不相等的复数根,为 。
下面的C代码根据输入的系数abc求解方程的根,结果保留两位小数,并按照以下要求输出结果:
(1)若方程有两个不相等的实数根,则分两行输出这两个实数根;
(2)若方程只有一个实数根,则输出此根;
(3)若方程有两个不相等的复数根,则按照格式“实部+虚部i”每行输出一个复数根;
(4)若系数都为0,则输出“Zero Equation.”;
(5)若系数a、b为0而c不为0,则输出“Not An Equation.”。
|
|
|
问题:3.1
【C代码】


|
|
|
|
|
|