免费智能真题库 > 历年试卷 > 程序员 > 2021年上半年 程序员 上午试卷 综合知识
  第25题      
  知识点:   进程的状态及其转换   进程   进程资源图
  关键词:   等待状态   进程        章/节:   软件基础知识       

 
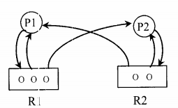
系统进程资源图如下图所示,图中方框分别表示资源R1和R2,其资源数分别为3和2; P1和P2表示进程。有向边指向进程表示得到了1个资源,有向边拍向资源表示申请1个资源。若某进程申请的资源得不到满足,则该进程处于等待状态;若进程申请的资源可以得到满足,则该进程处于非等待状态可以推断,下图中( )。
 
 
  A.  进程P1和P2都为等待状态
 
  B.  进程P1和P2都为非等待状态
 
  C.  进程P1为非等待状态,P2为等待状态
 
  D.  进程P1为等待状态,P2为非等待状态
 
 
 

  相关试题:软件基础知识          更多>  
 
  第28题    2020年下半年  
   27%
针对C语言源程序进行编译的过程,下面说法中正确的是( )。
  第30题    2016年下半年  
   45%
某C语言程序中有表达式x%m(即x被m除取余数),其中,x为浮点型变量,m为整型非0常量,则该程序在(30)时会报错,该错误属于(3..
  第26题    2021年下半年  
   90%
假设系统中有进程Pi(i=1,2,3,4),资源Rj(j=1,2,3),且资源 R1、R2、R3 的可用数分别为 2、3、2。系统的进程资源图如下图所示..
   知识点讲解    
   · 进程的状态及其转换    · 进程    · 进程资源图
 
       进程的状态及其转换
        在多道系统中,进程的运行是走走停停的,在处理机上的交替运行,使它的运行状态不断变化。进程的状态主要有三态模型和五态模型。三态模型中最基本的状态有3种:运行、就绪和阻塞。
        .运行(running):正占用处理机。
        .就绪(ready):只要获得处理机即可运行。
        .阻塞(blocked):也称等待或挂起状态,正等待某个事件(如I/O完成)的发生。
        在进程运行的过程中,由于自身进展情况及外界环境的变化,这3种基本状态可以在一定的条件下相互转换,进程的状态及转换如下图所示。
        
        进程状态及其转换图
        五态模型比三态模型更加复杂,在三态模型的基础上增加了新建态和终止态。新建态对应于进程刚刚被创建还没有被提交时的状态,此时应在等待系统完成创建进程的所有必要信息。创建进程时分两个阶段:第一个阶段为一个新进程创建必要的管理信息;第二个阶段让该进程进入就绪状态。有了新建态,操作系统往往因系统的性能和内存容量的限制推迟新建态进程的提交。进程的终止态也可分为两个阶段:第一个阶段等待操作系统进行善后处理;第二个阶段释放内存。
 
       进程
        简单而言,一个进程就是一个正在运行的程序。一般来说,一个进程至少应该包括以下几个方面的内容。
        .相应的程序:进程既然是一个正在运行的程序,当然需要有相应程序的代码和数据。
        .CPU上下文:指程序在运行时,CPU中各种寄存器的当前值,包括:程序计数器,用于记录将要取出的指令的地址;程序状态字,用于记录处理器的运行状态信息;通用寄存器,用于存放数据或地址;段寄存器,用于存放程序中各个段的地址;栈指针寄存器,用于记录栈顶的当前位置。
        .一组系统资源:包括操作系统用来管理进程的数据结构、进程的内存地址空间、进程正在使用的文件等。
        进程有动态性、独立性和并发行三个特性。
        (1)动态性。进程是一个正在运行的程序,而程序的运行状态是在不断地变化的。例如,当一个程序在运行的时候,每执行完一条指令,PC寄存器的值就会增加,指向下一条即将执行的指令。而CPU中用来存放数据和地址的那些通用寄存器,它们的值肯定也不断地变化。另外,堆和栈的内容也在不断地变化,每当发生一次函数调用时,就会在栈中分配一块空间,用来存放此次函数调用的参数和局部变量。而当函数调用结束后,这块栈空间就会被释放掉。
        (2)独立性。一个进程是一个独立的实体,是计算机系统资源的使用单位。每个进程都有自己的运行上下文和内部状态,在它运行的时候独立于其他的进程。
        (3)并发性。从宏观上来看,在系统中同时有多个进程存在,它们相互独立地运行。
        下图表示四个进程A、B、C、D在系统中并发地运行。从中可以看出,虽然从宏观上来说,这四个进程都是在系统中运行,但从微观上来看,在任何一个特定的时刻,只有一个进程在CPU上运行。从时间上来看,开始是进程A在运行,然后是进程B在运行,然后是进程C和进程D。接下来又轮到了进程A去运行。因此,在单CPU的情形下,所谓的并发性,指的是宏观上并发运行,而微观上还是顺序运行,各个进程轮流去使用CPU资源。
        
        四个进程在并发运行
        在具体实现上,以CPU中的程序计数器PC为例,真正物理上的PC寄存器只有一个。当四个进程在轮流执行时,PC取值的运动轨迹是先在进程A内部流动,然后再到进程B的内部流动,再到进程C和D。从进程的独立性角度来说,每个进程都有“自己”独立的PC寄存器,即逻辑上的PC寄存器,它们的取值相互独立、互不影响。所谓的逻辑PC,其实就是一个内存变量。例如,在上图中,当进程A要执行的时候,就把A的逻辑PC的值拷贝到物理PC中,然后开始运行。当轮到B运行的时候,先把物理PC的当前值保存到A的逻辑PC中,然后再把B的逻辑PC的值装入到物理PC中,即可运行。这样就实现了各个进程的轮流运行。
 
       进程资源图
        进程资源有向图由方框、圆圈和有向边三部分组成。其中方框表示资源,圆圈表示进程。请求资源:〇→□,箭头由进程指向资源;分配资源:〇←□,箭头由资源指向进程。
        例如,系统中有进程P1P2P3,资源R1R2R3。假设系统中R1R2R3的资源数分别为1、1和2,其中P1占用了1台R1,又申请1台R3P2占用了1台R2,又申请1台R1P3占用了2台R3,又申请1台R2。对于这种情况可用进程资源图来描述,如下图所示。
        
        进程资源有向图
   题号导航      2021年上半年 程序员 上午试卷 综合知识   本试卷我的完整做题情况  
1 /
2 /
3 /
4 /
5 /
6 /
7 /
8 /
9 /
10 /
11 /
12 /
13 /
14 /
15 /
 
16 /
17 /
18 /
19 /
20 /
21 /
22 /
23 /
24 /
25 /
26 /
27 /
28 /
29 /
30 /
 
31 /
32 /
33 /
34 /
35 /
36 /
37 /
38 /
39 /
40 /
41 /
42 /
43 /
44 /
45 /
 
46 /
47 /
48 /
49 /
50 /
51 /
52 /
53 /
54 /
55 /
56 /
57 /
58 /
59 /
60 /
 
61 /
62 /
63 /
64 /
65 /
66 /
67 /
68 /
69 /
70 /
71 /
72 /
73 /
74 /
75 /
 
第25题    在手机中做本题