|
|
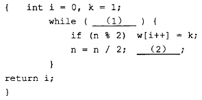
【说明1】
函数Counter(intn,int w[])的功能是计算整数n的二进制表示形式中1的个数,同时用数组w记录该二进制数中1所在位置的权。
例如,十进制数22的二进制表示为10110。对于该二进制数,1的个数为3,在w[0]中存入2 (即21)、w[1]中存入4 (即22)、w[2]中存入16 (即24)。
【说明2】
函数Sm0Ve(int A[], int n)的功能是将数组中所有的奇数都放到所有偶数之前。其过程为:设置数组元素下标索引i (初值为0)和j (初值为n-1),从数组的两端开始检 查元素的奇偶性。若A[i]、A[j]都是奇数,则从前往后找出一个偶数,再与A[j]进行交换; 若A[i]、A[j]都是偶It则从后往前找出一个奇数,再与A[i]进行交换;若A[i]是偶数而A[j]是奇数,则交换两者,直到将所有的奇数都排在所有偶数之前为止。
|
|
|
问题:3.1
.jpg)

|
|
|
|
|
|