免费智能真题库 > 历年试卷 > 信息处理技术员 > 2015年上半年 信息处理技术员 上午试卷 综合知识
  第67题      
  知识点:   标准化
  关键词:   范围        章/节:   初等数学基础知识       

 
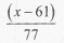
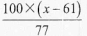
某学校上学期举办了多项课外活动,每个学生获得了个课外活动总评分值,其中最低分61分,最高分138分。为使该评分指标标准化(评分范围落在0〜100分,60分以上及格),使其更直观,更具有可比性(便于与各科目成绩和其他学期课外活动得分比较),需要将每个学生课外活动的总评分值x变换成ax+b,并将结果取整数,记录在成绩册。针对上例,在以下4个变换式中,选用(67)进行标准化更合适。
 
 
  A. 
 
  B. 
 
  C. 
 
  D. 
 
 
 

  相关试题:初等数学基础知识          更多>  
 
  第12题    2009年下半年  
   62%
某一时刻的调查数据称为时点数据,某一段时期内的调查数据称为时期数据。以下几种实际调查数据中,属于时点数据的是(12)。
  第68题    2018年下半年  
   21%
下團是某国多年来统计的出生人数和死亡人数曲线圈。从图中看出,该国从( )年以后,死亡人数超过了出生人数,出现了人口危机。<..
  第28题    2011年上半年  
   59%
自然数1,2, 3, 4, 5中,任意两个数都可以算出平均值,其中有些平均值是相同的。那么,不同的平均值共有(28)。
   知识点讲解    
   · 标准化
 
       标准化
               标准化概念
                      标准、标准化及标准化对象
                      标准是对重复性事物和概念所做的统一规定。它以科学、技术和实践经验的综合成果为基础,经有关方面协商一致,一个公认机构的批准,以特定形式发布,作为共同遵守的准则和依据。
                      标准化是指在经济、技术、科学及管理等社会实践中,对重复性事物和概念通过制订、发布和实施标准达到统一,以获最佳秩序和社会效益的活动。
                      在国民经济的各个领域中,凡具有多次重复使用和需要制定标准的具体产品,以及各种定额、规划、要求、方法、概念等,都可称为标准化对象。标准化对象一般可分为两大类:一类是标准化的具体对象,即需要制定标准的具体事物;另一类是标准化总体对象,即各种具体对象的总和所构成的整体,通过它可以研究各种具体对象的共同属性、本质和普遍规律。
                      标准化的目的及工作任务
                      标准化的实质是通过制定、发布和实施标准达到统一,其目的是获得最佳秩序和社会效益。
                      中国标准化工作的任务是制定标准、组织实施标准和对标准的实施进行监督。国际标准化组织(ISO)的主要任务是制订国际标准、协调世界范围内的标准化工作。标准化的问题由来已久。中国自秦代开始,历代王朝都有法定度量衡标准以及法定违反标准的罚则。现代标准化是近二、三百年发展起来的。工业革命将标准化问题提上了日程。标准化包括制定标准和贯彻标准,已取得世界上各国和国际社会的重视。
                      标准化的基本特性和作用
                      标准化的基本特性主要包括抽象性、技术性、经济性、连续性(或继承性)、约束性和政策性。其作用如下:
                      (1)标准化为科学管理奠定了基础。所谓科学管理是依据生产技术的发展规律和客观经济规律对企业进行管理,而各种科学管理制度的形式都以标准化为基础。
                      (2)促进经济全面发展,提高经济效益。标准化应用于科学研究,可以避免在研究上的重复劳动;应用于产品设计,可以缩短设计周期;应用于生产,可使生产在科学的和有秩序的基础上进行;应用于管理,可促进统一、协调、高效率等。
                      (3)标准化是科研、生产、使用三者之间的桥梁。一项新技术或科研成果一旦纳入相应标准,就能迅速得到推广和应用,从而促进技术进步。
                      (4)标准化为组织现代化生产创造了前提条件,通过制定和使用标准来保证各生产部门的活动,在技术上保持高度的统一和协调,以使生产正常进行。
                      (5)促进对自然资源的合理利用,保持生态平衡,维护人类社会当前和长远的利益。
                      (6)合理发展产品品种,提高企业应变能力,以更好地满足社会需求。
                      (7)保证产品质量,维护消费者利益。
                      (8)在社会生产组成部分之间进行协调,确立共同遵循的准则,建立稳定的秩序。
                      (9)促进国际技术交流和贸易发展,提高产品在国际市场上的竞争能力。
                      (10)保障身体健康和生命安全,环保标准、卫生标准和安全标准制定发布后,用法律形式强制执行,对保障人民的身体健康和生命财产安全具有重大作用。
               标准化基本过程及分类
               标准是标准化活动的产物,其目的和作用都是要通过制定和贯彻具体的标准来体现的。标准化是一个可分为几个子过程的活动过程,一般包括标准产生(调查、研究、形成草案、批准发布)子过程,标准实施(宣传、普及、监督、咨询)子过程和标准更新(复审、废止或修订)子过程等。
               标准化工作是一项复杂的系统工程,标准为适应不同的要求,从而构成一个庞大而复杂的系统,为便于研究和应用的目的,可以从不同的角度和属性对标准进行分类。根据适用范围可以分类如下:
               (1)国际标准。由国际标准化团体制定、公布和通过的标准。通常,国际标准是指ISO和IEC以及ISO所出版的国际标准题目关键词索引(KWIC Index)中收录的其他国际组织制定、发布的标准等。国际标准在世界范围内统一使用,没有强制的含义,各国可以自愿采用。
               (2)国家标准。由一个国家的政府或国家级的机构制定或批准,适用于全国范围的标准,如我国国家标准(GB)、美国国家标准(ANSI)、德国国家标准(DIN)、英国国家标准(BS)和日本国工业标准(JIS)等。
               (3)区域标准。区域标准又称地区标准,泛指世界上按地理、经济或政治划分的某一区域标准化团体所通过的标准。
               (4)行业标准。由行业机构、学术团体或国防机构制定,并适用于某个业务领域的标准,如美国电气和电子工程师学会标准(IEEE)、中华人民共和国国家军用标准(GJB)、美国军用标准(MIL-S)、美国国防部标准(DOD-STD)等。
               (5)地方标准。由一个国家的地方一级行政机构(省、州或加盟共和国)制定的标准。它一般由地方所属的各企业与单位执行。
               (6)企业标准。由企业或公司批准、发布的标准,某些产品标准由其上级主管机构批准、发布。例如,美国IBM公司通用产品部制定的“程序设计开发指南”仅供该公司内部使用。企业为达到或超过上级标准而对产品质量指标制定高于现行上级标准的内部控制的企业标准,目的在于促进产品质量提高。
               (7)项目规范。由某一科研生产项目组织制定,且为该项任务专用的软件工程规范。例如,计算机集成制造系统(CIMS)的软件工程规范。
               我国标准分为国家标准、行业标准、地方标准和企业标准4类。
               标准的编号
                      国际、国外标准代号及编号
                      国际及国外标准编号的基本结构为“标准代号+专业类号+顺序号+年代号”。其中,“标准代号”大多采用缩写字母,例如IEC代表国际电工委员会(International Electrotechnical Commission)、API代表美国石油协会(American Petroleum Institute)、ASTM代表美国材料与试验协会(American Society for Testing and Materials)等;“专业类号”有字母、数字、字母数字混合式三种形式;“顺序号”和“年号”的形式与我国基本相同,例如国际标准ISO代号及编号格式为:ISO+标准号+[杠+分标准号]+冒号+发布年号(方括号中的内容可有可无),ISO8402:1987和ISO9000-1:1994分别是ISO标准的编号。
                      我国标准代号及编号
                      我国标准编号的基本结构为“标准代号+顺序号+年代号”。
                      (1)国家标准代号由大写汉字拼音字母构成,强制性国家标准代号为GB,推荐性国家标准代号为GB/T。
                      (2)行业标准代号由汉字拼音大写字母组成,再加上斜线T组成推荐性行业标准(如××/T)。行业标准代号由国务院各有关行政主管部门提出其所管理的行业标准范围的申请报告,国务院标准化行政主管部门审查确定并正式公布该行业标准代号。已正式公布的行业代号有QJ(航天)、SJ(电子)、JB(机械)和JR(金融系统)等。
                      (3)地方标准代号由大写汉字拼音DB加上省、自治区、直辖市行政区划代码的前两位数字(北京市11、天津市12、上海市31等)组成,再加上斜线T组成推荐性地方标准(如DB××/T),不加斜线T为强制性地方标准(如DB××)。
                      (4)企业标准的代号由汉字大写拼音字母Q加斜线再加企业代号组成(如Q/×××),企业代号可由大写拼音字母或阿拉伯数字或两者兼用组成。
               信息技术标准化
               信息技术标准化是围绕信息技术开发、信息产品的研制和信息系统建设、运行与管理而开展的一系列标准化工作。其中主要包括信息技术术语、信息表示、汉字信息处理技术、媒体、软件工程、数据库、网络通信、电子数据交换、电子卡、管理信息系统、计算机辅助技术等方面标准化。
                      信息编码标准化
                      编码是一种信息表现形式。在一定条件下,它对事物或概念的描述比自然语言要直接、简洁、准确和有力。要保证信息编码的一致性,就要对编码对象的确定,对象特性的选择,编码方法和代码设计进行标准化。对信息进行编码实际上是对文字、音频、图形和图像等信息进行处理,使之量化,从而便于利用各种通信设备进行信息传递和利用计算机进行信息处理。为了统一编码系统,人们制定了各种标准代码,如国际上较通用的ASCII码等。
                      条码标准化
                      条码是一种特殊的代码,即一组规则排列的条、空及其对应字符组成的标记,用以表示一定的信息。条码中的条、空分别由两种不同深浅的颜色(通常为黑、白色)表示,并满足一定的光学对比度要求,其目的是便于光电扫描设备识读后将数据输入计算机。
                      汉字编码标准化
                      汉字编码是对每一个汉字按一定的规律用若干个字母、数字、符号表示出来。汉字编码的方法很多,主要有数字编码、拼音编码和字形编码。我国在汉字编码标准化方面制定的国家标准主要包括信息交换用汉字编码字符集,共有6集。其中,GB2312—80信息交换用汉字编码字符集是基本集,收入常用基本汉字和字符7445个;GB7589—87和GB7590—87分别是第二辅助集和第四辅助集,各收入现代规范汉字7426个;GB/T12345—90是辅助集,它与第三辅助集和第五辅助集分别是与基本集、第二辅助集和第四辅助集相对应的繁体字的汉字字符集。除汉字编码标准化外,汉字信息处理标准化的内容还包括汉字键盘输入的标准化;汉字文字识别输入和语音识别输入的标准化;汉字输出字体和质量的标准化;汉字属性和汉语词语的标准化等。
                      ISO9000:2000标准
                      ISO9000标准是一系列标准的统称。其质量管理模式为企业管理注入新的活力和生机,给质量管理体系提供评价基础,为企业进行世界贸易带来质量可信度。过程方法的概念,顾客需求的考虑,以及将持续改进的思想贯穿于整个标准,把组织的质量管理体系满足顾客要求的能力和程度体现在标准的要求之中。ISO9000:2000标准的推出标志着国际标准化活动已从名词术语、试验方法及产品质量三大传统领域迈向了管理体系的标准化与认证。ISO9000:2000族标准的构成如下:
                      (1)4个核心标准,即ISO9000:2000《基本原理和术语》、ISO9001:2000《质量管理体系-要求》、ISO9004:2000《质量管理体系-业绩改进指南》和ISO19011:2000《质量和环境管理审核指南》。
                      (2)1个支持标准,即ISO10012《测量设备的质量保证要求》。
                      (3)6个技术报告,即ISO10006《项目管理指南》、ISO10007《技术状态管理指南》、ISO10013《质量管理体系文件指南》、ISO10014《质量经济性指南》、ISO10015《教育和培训指南》和ISO10017《统计技术在ISO9001中的应用指南》。
                      (4)3个小册子,即质量管理原理、选择和使用指南,小型企业的应用指南和一个技术规范。
   题号导航      2015年上半年 信息处理技术员 上午试卷 综合知识   本试卷我的完整做题情况  
1 /
2 /
3 /
4 /
5 /
6 /
7 /
8 /
9 /
10 /
11 /
12 /
13 /
14 /
15 /
 
16 /
17 /
18 /
19 /
20 /
21 /
22 /
23 /
24 /
25 /
26 /
27 /
28 /
29 /
30 /
 
31 /
32 /
33 /
34 /
35 /
36 /
37 /
38 /
39 /
40 /
41 /
42 /
43 /
44 /
45 /
 
46 /
47 /
48 /
49 /
50 /
51 /
52 /
53 /
54 /
55 /
56 /
57 /
58 /
59 /
60 /
 
61 /
62 /
63 /
64 /
65 /
66 /
67 /
68 /
69 /
70 /
71 /
72 /
73 /
74 /
75 /
 
第67题    在手机中做本题