免费智能真题库 > 历年试卷 > 信息安全工程师 > 2019年上半年 信息安全工程师 上午试卷 综合知识
  第32题      
  知识点:   RSA   密码管理   密码算法
  关键词:   公钥密码   密码算法   公钥   算法        章/节:   常用密码算法       

 
SM2算法是国家密码管理局于2010年12月17日发布的椭圆曲线公钥密码算法,在我们国家商用密码体系中被用来替换( )算法。
 
 
  A.  DES
 
  B.  MD5
 
  C.  RSA
 
  D.  IDEA
 
 
 

  相关试题:常用密码算法          更多>  
 
  第35题    2020年下半年  
   51%
2001年11月26日,美国政府正式颁布AES为美国国家标准。AES算法的分组长度为128位,其可选的密钥长度不仅括(35)。
  第32题    2020年下半年  
   42%
SM4算法是国家密码管理局于2012年3月21日发布的一种分组密码算法,在我国商用密码体系中,SM4主要用于数据加密。SM4算法的分组长..
  第26题    2019年上半年  
   57%
已知DES算法S盒如下:

如果该S盒的输入110011,则其二进制输出为( )。
   知识点讲解    
   · RSA    · 密码管理    · 密码算法
 
       RSA
        RSA算法是非对称算法,由Ronald Rivest、Adi Shamir、Leonard Adleman三人共同在1977年公开发表。在RSA加密算法中,公钥和私钥都可以用于加密消息,用于加密消息的密钥与用于解密消息的密钥相反。RSA算法提供了一种保护网络通信和数据存储的机密性、完整性、真实性和不可否认性的方法。目前,SSH、OpenPGP、S/MIME和SSL/TLS都依赖于RSA进行加密和数字签名功能。RSA算法在浏览器中使用,能够在不可信任的互联网中建立安全连接。RSA签名验证是网络连接系统中最常见的执行操作之一。
        RSA算法基于大整数因子分解的困难性,该算法的步骤如下:
        第一步,生成两个大素数pq
        第二步,计算这两个素数的乘积n=pq
        第三步,计算小于n并且与n互素的整数的个数,即欧拉函数φ(n)=(p-1)(q-1)。
        第四步,选取一个随机数e,且满足1<e<φ(n),并且eφ(n)互素,即gcd(eφ(n))=1。
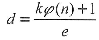
        第五步,计算d=e-1modφn)。
        第六步,保密dpq,而公开ne,即d作为私钥,而ne作为公钥。
        下面,举一个RSA加密的具体实例。设素数p=3,q=17,并令e=13,则RSA的加密操作如下:
        第一步,计算nn=pq=3×17=51,得出公钥n=51,e=13。
        第二步,计算φ(n)和dφ(n)=(p-1)(q-1)=2×16=32。因为d=e-1modφ(n),所以,其中kp-1和q-1的最大公约数。由此算出d=(2×32+1)/13=5,即解密密钥d=5。
        第三步,加密和解密处理计算。假设Bob的公开密钥是e=13、n=51,Alice需要将明文“2”发送给Bob,则Alice首先用Bob的公开密钥加密明文,即:
        C=Memodn=213mod 51=8192 mod 51=32
        然后,Bob收到Alice发来的密文C后,用自己的私钥d解密密文C,即:
        M=Cdmodn=325mod 51=1024×1024×32 mod 51=512 mod 51=2
        RSA安全性保证要做到选取的素数pq足够大,使得给定了它们的乘积n后,在事先不知道pq的情况下分解n是计算上不可行的。因此,破译RSA密码体制基本上等价于分解n。基于安全性考虑,要求n长度至少应为1024比特,然而从长期的安全性来看,n的长度至少应为2048比特,或者是616位的十进制数。
 
       密码管理
        密码系统的安全性依赖于密码管理。密码管理主要可以分成三个方面的内容,即密钥管理、密码管理政策、密码测评。
               密钥管理
               密钥管理主要围绕密钥的生命周期进行,包括密钥生成、密钥存储、密钥分发、密钥使用、密钥更新、密钥撤销、密钥备份、密钥恢复、密钥销毁、密钥审计。
               (1)密钥生成。密钥应由密码相关产品或工具按照一定标准产生,通常包括密码算法选择、密钥长度等。密钥生成时要同步记录密钥的关联信息,如拥有者、密钥使用起始时间、密钥使用终止时间等。
               (2)密钥存储。一般来说密钥不应以明文方式存储保管,应采取严格的安全防护措施,防止密钥被非授权的访问或篡改。
               (3)密钥分发。密钥分发工作是指通过安全通道,把密钥安全地传递给相关接收者,防止密钥遭受截取、篡改、假冒等攻击,保证密钥机密性、完整性以及分发者、接收者身份的真实性。目前,密钥分发的方式主要有人工、自动化和半自动化。其中,自动化主要通过密钥交换协议进行。
               (4)密钥使用。密钥使用要根据不同的用途而选择正确的使用方式。密钥使用和密码产品保持一致性,密码算法、密钥长度、密码产品都要符合相关管理政策,即安全合规。使用密钥前,要验证密钥的有效性,如公钥证书是否有效。密钥使用过程中要防止密钥的泄露和替换,按照密钥安全策略及时更换密钥。建立密钥应急响应处理机制,以应对突发事件,如密钥丢失事件、密钥泄密事件、密钥算法缺陷公布等。
               (5)密钥更新。当密钥超过使用期限、密钥信息泄露、密码算法存在安全缺陷等情况发生时,相关密钥应根据相应的安全策略进行更新操作,以保障密码系统的有效性。
               (6)密钥撤销。当密钥到期、密钥长度增强或密码安全应急事件出现的时候,则需要进行撤销密钥,更换密码系统参数。撤销后的密钥一般不重复使用,以免密码系统的安全性受到损害。
               (7)密钥备份。密钥备份应按照密钥安全策略,采用安全可靠的密钥备份机制对密钥进行备份。备份的密钥与密钥存储要求一致,其安全措施要求保障备份的密钥的机密性、完整性、可用性。
               (8)密钥恢复。密钥恢复是在密钥丢失或损毁的情形下,通过密钥备份机制,能够恢复密码系统的正常运行。
               (9)密钥销毁。根据密钥管理策略,可以对密钥进行销毁。一般来说销毁过程应不可逆,无法从销毁结果中恢复原密钥。特殊的情况下,密钥管理支持用户密钥恢复和司法密钥恢复。
               (10)密钥审计。密钥审计是对密钥生命周期的相关活动进行记录,以确保密钥安全合规,违规情况可查可追溯。
               密码管理政策
               密码管理政策是指国家对密码进行管理的有关法律政策文件、标准规范、安全质量测评等。目前,国家已经颁布了《商用密码管理条例》,内容主要有商用密码的科研生产管理、销售管理、使用管理、安全保密管理。《中华人民共和国密码法》也已颁布实施,相关工作正在推进。《中华人民共和国密码法》明确规定,密码分为核心密码、普通密码和商用密码,实行分类管理。核心密码、普通密码用于保护国家秘密信息,属于国家秘密,由密码管理部门依法实行严格统一管理。商用密码用于保护不属于国家秘密的信息,公民、法人和其他组织均可依法使用商用密码保护网络与信息安全。
               为规范商用密码产品的设计、实现和应用,国家密码管理局发布了一系列密码行业标准,主要有《电子政务电子认证服务管理办法》《电子政务电子认证服务业务规则规范》《密码模块安全检测要求》《安全数据库产品密码检测准则》《安全隔离与信息交换产品密码检测指南》《安全操作系统产品密码检测准则》《防火墙产品密码检测准则》等。
               密码测评
               密码测评是指对相关密码产品及系统进行安全性、合规性评估,以确保相关对象的密码安全有效,保障密码系统的安全运行。目前,国家设立了商用密码检测中心,其主要职责包括:商用密码产品密码检测、信息安全产品认证密码检测、含有密码技术的产品密码检测、信息安全等级保护商用密码测评、商用密码行政执法密码鉴定、国家电子认证根CA建设和运行维护、密码技术服务、商用密码检测标准规范制订等。
 
       密码算法
        VPN的核心技术是密码算法,VPN利用密码算法,对需要传递的信息进行加密变换,从而确保网络上未授权的用户无法读取该信息。目前,除了国外的DES、AES、IDE、RSA等密码算法外,国产商用密码算法SM1、SM4分组密码算法、SM3杂凑算法等也都可应用到VPN。
   题号导航      2019年上半年 信息安全工程师 上午试卷 综合知识   本试卷我的完整做题情况  
1 /
2 /
3 /
4 /
5 /
6 /
7 /
8 /
9 /
10 /
11 /
12 /
13 /
14 /
15 /
 
16 /
17 /
18 /
19 /
20 /
21 /
22 /
23 /
24 /
25 /
26 /
27 /
28 /
29 /
30 /
 
31 /
32 /
33 /
34 /
35 /
36 /
37 /
38 /
39 /
40 /
41 /
42 /
43 /
44 /
45 /
 
46 /
47 /
48 /
49 /
50 /
51 /
52 /
53 /
54 /
55 /
56 /
57 /
58 /
59 /
60 /
 
61 /
62 /
63 /
64 /
65 /
66 /
67 /
68 /
69 /
70 /
71 /
72 /
73 /
74 /
75 /
 
第32题    在手机中做本题