免费智能真题库 > 历年试卷 > 系统集成项目管理工程师 > 2017年下半年 系统集成项目管理工程师 上午试卷 综合知识
  第65题      
  知识点:   关键路径法   评审   质量管理   关键路径   计划评审技术   进度管理   网络图
  关键词:   PERT   关键路径法   活动网络图   计划评审技术   进度管理   质量管理   关键路径   评审   网络        章/节:   制定进度计划   质量管理基础   系统集成常用技术标准       

 
进度管理中常用的活动网络图,如计划评审技术(PERT)、关键路径等,也可以应用于质量管理的( )过程中。
 
 
  A.  规划质量管理
 
  B.  实施质量保证
 
  C.  质量控制
 
  D.  质量改进
 
 
 

  相关试题:制定进度计划          更多>  
 
  第56题    2016年上半年  
   58%
(56)不属于编制进度计划所采用的工具和技术。
  第48题    2017年下半年  
   51%
项目经理小李在制定进度计划时采用下图所示的工具,该工具是( )
  第49题    2017年下半年  
   54%
在制定进度计划时,可以采用多种工具与技术,如关键路径法、资源平衡技术、资源平滑技术等。在以下叙述中,不正确的是( )。
  相关试题:质量管理基础          更多>  
 
  第33题    2010年上半年  
   49%
在项目实施过程中,项目经理通过项目周报中的项目进度分析图表发现机房施工进度有延期风险。项目经理立即组织相关人员进行分析,..
  第69题    2009年下半年  
   73%
质量管理六西格玛标准的优越之处不包括(69)。
  第65题    2019年上半年  
   39%
关于质量管理七种工具的描述,不正确的是( )。
  相关试题:系统集成常用技术标准          更多>  
 
  第14题    2013年下半年  
   32%
在软件生存周期的各项工作中,(14)是直接面向用户的。
  第55题    2013年下半年  
   80%
软件产品的质量测量是软件开发和交付过程中的重要环节,通过测量代码执行时的行为来判断软件质量属于软件测度的(55),而对中间产..
  第8题    2016年上半年  
   70%
根据GB/T 29264- 2012《信息技术服务分类与代码》规定,信息技术服务包括:信息技术咨询;(8);信息系统集成实施服务;运行维护..
   知识点讲解    
   · 关键路径法    · 评审    · 质量管理    · 关键路径    · 计划评审技术    · 进度管理    · 网络图
 
       关键路径法
        关键路径法(CPM)根据项目网络图及每个活动的历时,识别关键路径,预测整个项目的工期。在关键路径法的计算中需要进行正向计算和反向计算。
               正向计算
               .用来计算最早时间。
               .根据逻辑关系,从网络图左边开始,为每项活动制订最早开始和最早完成时间。
               .第一个活动的开始时间为项目开始时间,活动最早完成时间为最早开始时间加持续时间;紧后活动最早开始时间根据紧前活动的最早结束时间确定。
               .一个活动有多个紧前活动存在时,该活动的最早开始时间根据紧前活动中最早完成时间中最大的活动时间确定。
               反向计算
               .用来计算最晚时间。
               .根据逻辑关系,从网络图右边开始,计算每个活动最迟开始和最迟完成时间。
               .最后一个活动的完成时间为项目完成时间,活动最迟开始时间为最迟完成时间减持续时间;紧前活动最迟完成时间根据其紧后活动的最迟开始时间确定。
               .一个活动有多个紧后活动存在时,该活动的最迟完成时间根据紧后活动中最迟开始时间最小的活动时间确定。
               关键路径计算方法可总结为下面三句话:
               .先正推,再反推。
               .正向看流入(紧前活动),正向取大值。
               .反向看流出(紧后活动),反向取小值。
               例1:下图为某项目的网络图,已经完成活动历时估算,确定每个活动的ES、EF、LS、LF,识别关键路径,计算项目工期。
               
               某项目的网络图
               用本章第5张图中表示节点的图例表示节点,根据CPM正推、反推计算方法得到下图所示的网络图,具体计算方法如下。
               正向计算(计算各活动的最早开始与最早完成时间):
               假设项目最早开始时间为第0天,则活动A和活动D的最早开始时间都为第0天。活动A的最早结束时间为第0+2=2天,活动B最早开始时间和活动A最早结束时间相同,为第2天,则2+6=8,活动B最早结束时间为第8天。依此类推,计算其他活动的最早开始与结束时间。其中活动F比较特殊,有两个紧前活动D和E,根据正向取大值原则,活动F的最早开始时间和活动E的最早结束时间相同,为第13天。正向计算通过计算各活动的最早开始与完成时间,最终得到项目结束时的时间为第17天。
               
               根据CPM正推、反推得到的网络图
               反向计算(计算各活动的最迟开始与最迟完成时间):
               项目结束时的时间为第17天,则活动C和活动F的最迟结束时间都为第17天。活动C的最迟开始时间为第17-3=14,活动F的最迟开始时间为第17-4=13天。活动E的最迟结束时间和活动F的最迟开始时间相同,为第13天。依此类推,计算其他活动的最迟结束与最迟开始时间。其中活动B比较特殊,它有两个紧后活动C和E,根据反向取小值的原则,可以确定活动B的最迟结束时间为第8天。
               总浮动时间:
               根据公式TF=LS-ES=LF-EF很容易计算出各活动的总浮动时间,如上图标注所示。
               识别关键路径:
               .关键路径上的活动的最早开始时间和最迟开始时间相同,最早完成时间和最迟完成时间相同。
               .关键路径上的活动总浮动时间为0或负数。
               .关键路径上活动的总历时最长。
               可根据以上任一条来判断各活动是否是关键路径上的活动,从网络图中不难看出本项目的关键路径是A—B—E—F,项目工期为17天。
               注:若只是要求简单网络图的关键路径,也可以利用试算法,计算各路径的历时,根据关键路径上活动的总历时最长来确定关键路径及项目工期。如本例中有3条路径,分别为A—B—C(总历时11天)、A—B—E—F(总历时17天)和D—F(总历时8天),所以关键路径为A—B—E—F,总工期为17天。
               例2:根据下图所示的网络图(网络图图例同例1)回答问题:
               
               某项目的网络图
               (1)分析网络图的关键路径及本项目工期。
               (2)如果在活动B后5天开始活动D,并进行10天,对项目有何影响?
               (3)经努力,活动F要12天完成,则活动E的LS和LF为多少?
               (4)活动G多用了8天,对项目有何影响?
               依次解答如下:
               (1)根据总浮动时间为0的活动位于关键路径,很容易得到本项目的关键路径为A—B—D—H,项目工期为38天。
               (2)活动D位于关键路径上,估算历时为15天,如果D推迟5天开始,但历时变为10天,这样仍然没有超过15天,不会对项目产生影响。
               (3)若活动F的历时改为12天,则F的最迟开始时间变为33-12+1=22, E的最迟结束时间由F和G中最迟开始时间最小值确定,应该为LF=22-1=21,其LS=21-5+1=17。
               (4)活动G的总浮动时间为10天,8<10,所以活动G多用8天对项目没有影响。
               注:例2网络图中的开始时间是从第1天开始的,这种表示方法和例1相比计算较复杂。正推法时,同一活动的EF=ES+DU-1,紧后活动的ES=紧前活动的EF+1;反推法时,同一活动的LS=LF-DU+1,紧前活动的LF=紧后活动的LS-1。
 
       评审
        在软件开发各个阶段都要进行评审。
 
       质量管理
        质量管理是指确定质量方针、目标和职责,并通过质量体系中的质量规划、质量保证和质量控制以及质量改进来使其实现所有管理职能的全部活动。
 
       关键路径
        在AOV网络中,如果边上的权表示完成该活动所需的时间,则称这样的AOV为AOE网络。例如,下图表示一个具有10个活动的某个工程的AOE网络。图中有7个结点,分别表示事件V1~V7,其中V1表示工程开始状态,V7表示工程结束状态,边上的权表示完成该活动所需的时间。
        
        AOE网络的例子
        因AOE网络中的某些活动可以并行地进行,所以完成工程的最少时间是从开始结点到结束结点的最长路径长度,称从开始结点到结束结点的最长路径为关健路径(临界路径),关键路径上的活动为关键活动。为了找出给定的AOE网络的关键活动,从而找出关键路径,先定义几个重要的量:
        Vej)、V1j):结点j事件最早、最迟发生时间。
        eili):活动i最早、最迟开始时间。
        从源点V1到某结点Vj的最长路径长度,称为事件Vj的最早发生时间,记作Vej)。Vej)也是以Vj为起点的出边<VjVk>所表示的活动ai的最早开始时间ei)。
        在不推迟整个工程完成的前提下,一个事件Vj允许的最迟发生时间,记作V1j)。显然,li)=V1j)-(ai所需时间),其中jai活动的终点。满足条件li)=ei)的活动为关键活动。
        求结点VjVej)和V1j)可按以下两步来做:
               由源点开始向汇点递推
               
               其中,E1是网络中以Vj为终点的入边集合。
               由汇点开始向源点递推
               
               其中,E2是网络中以Vj为起点的出边集合。
               要求一个AOE的关键路径,一般需要根据以上变量列出一张表格,逐个检查。例如,求上图所示的AOE的关键路径的表格如下表所示。
               
               求关键路径的过程
               
               因此,上图的关键活动为a1a2a4a8a9,其对应的关键路径有两条,分别为(V1V2V5V7)和(V1V4V5V7),长度都是10。
               一般来说,不在关键路径上的活动时间的缩短,不能缩短整个工期。而不在关键路径上的活动时间的延长,可能导致关键路径的变化,因此可能影响整个工期。
               在实际解答试题时,一般所给出的活动数并不多,我们可以采取观察法求得其关键路径,即路径最长的那条路径就是关键路径。
 
       计划评审技术
        PERT技术(Plan Evaluation and Review Technique,计划评审技术)和CPM都是安排项目进度,制定项目进度计划的最常用的方法。
        另外,优先进度图示法、搭接网络、图形评审技术、风险评审技术等也称为网络计划技术。它们都采用网络图来描述一个项目的任务网络,也就是从一个项目的开始到结束,把应当完成的任务用图或表的形式表示出来。通常用两张表来定义网络图。一张表给出与一特定软件项目有关的所有任务(也称为任务分解结构),另一张表给出应当按照什么样的次序来完成这些任务(也称为限制表)。PERT图不仅可以表达子任务的计划安排,还可在任务计划执行过程中估计任务完成的形势,分析某些子任务完成情况对全局的影响,找出影响全局的区域和关键子任务,以便及早采取措施,确保整个任务的完成。
        在PERT图中,用箭号表示事件,即要完成的任务。箭头旁给出子任务的名称和完成该子任务所需要的时间。用圆圈结点表示事件的起点和终点。
               活动的时间估计
               PERT对各个项目活动的完成时间按3种不同情况估计:
               (1)乐观时间(optimisti ctime):任何事情都顺利的情况下,完成某项工作的时间。
               (2)最可能时间(most likely time):正常情况下,完成某项工作的时间。
               (3)悲观时间(pessimistic time):最不利的情况下,完成某项工作的时间。
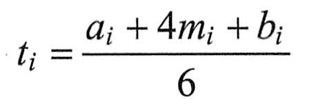
               假定3个估计服从β分布,由此可算出每个活动的期望ti
               
               其中ai表示第i项活动的乐观时间,mi表示第i项活动的最可能时间,bi表示第i项活动的悲观时间。
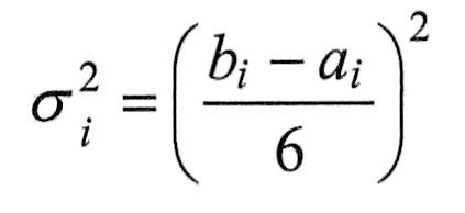
               根据β分布的方差计算方法,第i项活动的持续时间方差为:
               
               例如,软考在线教育网在线辅导平台系统的建设可分解为需求分析、设计编码、测试、安装部署这4个活动,各个活动按顺次进行,没有时间上的重叠,活动的完成时间估计如下图所示。
               
               工作分解和活动工期估计
               则各活动的期望工期和方差为:
               
               项目周期估算
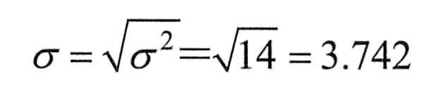
               PERT认为整个项目的完成时间是各个活动完成时间之和,且服从正态分布。整个项目完成的时间t的数学期望T和方差σ2分别等于:
               
               标准差为:
               
               据此,可以得出正态分布曲线如下图所示。
               
               项目的工期正态分布
               因为上图是正态曲线,根据正态分布规律,在±σ范围内,即在47.258天与54.742天之间完成的概率大约为68%;在±2σ范围内,即在43.516天到58.484天完成的概率大约为95%;在±3σ范围内,即39.774天到62.226天完成的概率大约为99%。如果客户要求在39天内完成,则可完成的概率几乎为0,也就是说,项目有不可压缩的最小周期,这是客观规律。
 
       进度管理
        进度安排包括把一个项目所有的工作分解为若干个独立的活动,并描述这些活动之间的依赖关系,估算完成这些活动所需的工作量,分配人力和其他资源,制定进度时序。进度的合理安排是如期完成软件项目的重要保证,也是合理分配资源的重要依据,因此进度安排是管理工作的一个重要组成部分。有两种安排软件开发项目进度的方式:
        (1)系统最终交付日期已经确定,系统开发部门必须在规定期限内完成;
        (2)系统最终交付日期只确定了大致的年限,最后交付日期由软件开发部门确定。
        进度安排的常用图形描述方法有Gantt图(甘特图)和PERT(Program Evaluation&Review Technique,项目计划评审技术)图。
        (1)Gantt图。Gantt图中横坐标表示时间(如时、天、周、月、年等),纵坐标表示任务,图中的水平线段表示一个任务的进度安排,线段的起点和终点对应在横坐标上的时间分别表示该任务的开始时间和结束时间,线段的长度表示完成该任务所持续的时间。当日历中同一时段中存在多个水平条时,表示任务之间的并发。下图所示的Gantt图描述了三个任务的进度安排。该图表示:任务1首先开始,完成它需要12周时间;任务2在2周后开始,完成它需要18周;任务3在12周后开始,完成它需要10周。
        
        Gantt图实例
        Gantt图能清晰地描述每个任务从何时开始,到何时结束,任务的进展情况以及各个任务之间的并行性;但是它不能清晰地反映出各任务之间的依赖关系,难以确定整个项目的关键所在,也不能反映计划中有潜力的部分。
        (2)PERT图。PERT图是一个有向图,其基本符号如下图所示。
        
        PERT图的基本符号
        PERT图中的有向弧表示任务,可以标上完成该任务所需的时间,图中的结点表示流入结点的任务已结束,并开始流出结点的任务,这里把结点称为事件。只有当流入该结点的所有任务都结束时,结点所表示的事件才出现,流出结点的任务才可以开始。事件本身不消耗时间和资源,它仅表示某个时间点。每个事件有一个事件号及出现该事件的最早时刻和最迟时刻。最早时刻表示在此时刻之前从该事件出发的任务不可能开始;最迟时刻表示从该事件出发的任务必须在此时刻之前开始,否则整个工程就不能如期完成。每个任务还可以有一个松弛时间(slack time),表示在不影响整个工期的前提下,完成该任务有多少机动时间。为了表示任务间的关系,图中还可以加入一些空任务(用虚线有向弧表示),完成空任务的时间为0。
        PERT图的一个实例如下图所示,该图所表示的工程可分为12个任务,事件号1表示工程开始,事件号11表示工程结束(完成所有任务需要23个时间单位)。松弛时间为0的任务构成了完成整个工程的关键任务,其事件流为1→2→3→4→6→8→10→11,也就是说,这些任务不能拖延,否则整个工程就不能在23个时间单位内完成。
        
        PERT图示例
        PERT图不仅给出了每个任务的开始时间、结束时间和完成该任务所需的时间,还给出了任务之间的关系,即哪些任务完成后才能开始另外一些任务,还可以找出如期完成整个工程的关键任务。任务的松弛时间则反映了完成任务时可以推迟其开始时间或延长其所需完成的时间。PERT图不能反映任务之间的并行关系。
 
       网络图
               网络计划技术
               甘特图虽然简单直观,但对于复杂的大型项目来说,很难清楚表明各项工作之间的逻辑关系,时间参数计算也不便,不能指出影响项目周期的关键所在,难以对计划在执行过程中进行明确的修改和调整。网络计划技术是指在应用网络模型的基础上,利用相关信息进行分析计算,通过对时间、费用、资源等要素的不断调整优化,并在工作过程中加强控制,以达到节省费用、缩短工期、提高工作效率,它是能有效实现项目目标的一种科学管理方法。网络计划技术的基本原理,可以归纳为以下4点。
               (1)把一个项目的全部实现过程分解成若干项工作,并按各项工作的开展顺序和相互制约关系,绘制成网络图形。
               (2)通过网络图时间参数计算,找出关键工作和关键线路。
               (3)利用最优化原理,不断改进网络计划的初始方案,寻求其最优方案。
               (4)在网络计划执行过程中,对其进行有限监督和控制,合理安排人力、物力和资源,以最少的资源消耗,获得最大的经济效果。
               网络图
               网络图是网络计划技术的基础。网络图是由箭线和节点组成,用来表示工作流程的方向、顺序的网状图形,一个网络图表示一个项目任务。网络图包含三个因素即作业、事件和路线。作业,是指一项工作或一道工序,需要消耗人力、物力和时间的具体活动过程,在网络图中作业用箭线或节点表示;事件是指某项作业的开始或结束,它不消耗任何资源和时间;路线,是指自网络始点开始,顺着箭线的方向,经过一系列连续不断的作业和事件直至网络终点的通道,一条路线上各项作业的时间之和是该路线的总长度(路长)。
               
               双代号网络图
               网络图有双代号网络图和单代号网络图两种。双代号网络图又称箭线式网络图,它是以箭线及其两端节点的编号表示工作,同时,节点表示工作的开始或结束以及工作之间的连接状态,如上图所示;单代号网络图又称节点式网络图,它是以节点及其编号表示工作,箭线表示工作之间的逻辑关系,如下图所示。
               
               单代号网络图
               网络图的绘制
               网络图中工作的表示方法如下图一和下图二所示。网络图中的节点都必须有编号,其编号严禁重复,并应使每一条箭线上箭尾节点编号小于箭头节点编号。在双代号网络图中,一项工作必须有唯一的一条箭线和相应的一对不重复出现的箭尾、箭头节点编号。因此,一项工作的名称可以用其箭尾和箭头节点编号来表示。可以允许存在虚箭线,虚箭线不代表实际工作,我们称之为虚工作。虚工作既不消耗时间,也不消耗资源。虚工作主要用来表示相邻两项工作之间的逻辑关系。但有时为了避免两项同时开始、同时进行的工作具有相同的开始节点和完成节点,也需要用虚工作加以区分。而在单代号网络图中,一项工作必须有唯一的一个节点及相应的一个代号,该工作的名称可以用其节点编号来表示。在单代号网络图中,虚拟工作只能出现在网络图的起点节点或终点节点处。
               
               双代号网络图工作表示法
               
               单代号网络图工作表示法
               工作之间先后顺序关系是项目逻辑关系的组成部分。工作关系可以被描述为紧前工作、紧后工作和平行工作。紧前工作、紧后工作及平行工作是工作之间逻辑关系的具体表现,只要能根据工作之间的关系明确其紧前或紧后关系,即可据此绘出网络图。它是正确绘制网络图的前提条件。
               (1)紧前工作。在网络图中,相对于某工作而言,紧排在该工作之前的工作称为该工作的紧前工作。在双代号网络图中,工作与其紧前工作之间可能有虚工作存在。
               (2)紧后工作。在网络图中,相对于某工作而言,紧排在该工作之后的工作称为该工作的紧后工作。在双代号网络图中,工作与其紧后工作之间也可能有虚工作存在。
               (3)平行工作。在网络图中,相对于某工作而言,可以与该工作同时进行的工作即为该工作的平行工作。
               在关于网络图的描述中还有几个相关概念:
               (1)先行工作和后续工作:先行工作指对于某工作而言,从网络图的第一个节点(起点节点)开始,顺箭头方向经过一系列箭线与节点到达该工作为止的各条通路上的所有工作。后续工作指相对于某工作而言,从该工作之后开始,顺箭头方向经过一系列箭线与节点到网络图最后一个节点(终点节点)的各条通路上的所有工作。
               (2)线路:网络图中从起点节点开始,沿箭头方向顺序通过一系列箭线与节点,最后到达终点节点的通路称为线路。线路既可依次用该线路上的节点编号来表示,也可依次用该线路上的工作名称来表示。如下图所示,该网络图中有2条线路,可表示为:①—②—③—⑤—⑥和①—②—④—⑤—⑥,也可表示为:A—B—D—F和A—C—E—F。
               
               双代号网络图
               网络图的绘图一般应遵循以下基本规则:
               (1)网络图必须按照已定的逻辑关系绘制。
               (2)网络图中严禁出现循环回路。
               (3)网络图中的箭线(包括虚箭线,以下同)应保持自左向右的方向,不应出现箭头指向左方的水平箭线和箭头偏向左方的斜向箭线。
               (4)网络图中严禁出现双向箭线和无箭头箭线,严禁出现没有箭尾节点的箭线和没有箭头节点的箭线。
               (5)严禁在箭线上引出箭线。
               (6)应避免出现交叉箭线,当不可避免时,可采用过桥法和指向法处理。
               (7)网络图中应只有一个起点节点和一个终点节点(任务中部分工作需要分期完成的网络计划除外)。除网络图的起点节点和终点节点外,不允许出现没有外向箭线的节点和没有内向箭线的节点。
               网络计划及参数计算
               网络计划是指在网络图上加注时间参数而编制的进度计划。网络时间参数是指网络计划及其工作、节点所具有的各种时间值。网络时间参数的计算应在各项工作的持续时间确定之后进行。
               (1)网络时间参数及含义。
               工作持续时间是指一项工作从开始到完成的时间。
               工作的最早开始时间(ES)是指在其所有紧前工作全部完成后,本工作有可能开始的最早时刻。工作的最早完成时间(EF)是指在其所有紧前工作全部完成后,本工作有可能完成的最早时刻。工作的最早完成时间等于本工作的最早开始时间与其持续时间之和。
               工作的最迟完成时间(LF)是指在不影响整个任务按期完成的前提下,本工作必须完成的最迟时刻。工作的最迟开始时间(LS)是指在不影响整个任务按期完成的前提下,本工作必须开始的最迟时刻。工作的最迟开始时间等于本工作的最迟完成时间与其持续时间之差。
               工作的总时差(TF)是指在不影响总工期的前提下,本工作可以利用的机动时间。工作的自由时差(FF)是指在不影响其紧后工作最早开始时问的前提下,本工作可以利用的机动时间。对于同一项工作而言,自由时差不会超过总时差。当工作的总时差为零时,其自由时差必然为零。
               (2)网络时间参数的计算。
               网络参数的计算应在确定各项工作的持续时间之后进行,网络计划的起点节点的最早开始时间为零。
               网络计划中各项工作的最早开始时间(ES)和最早完成时间(EF)的计算应从网络计划的起点节点开始,顺着箭线方向依次逐项计算。工作的最早开始时间等于该工作的各个紧前工作的最早完成时间的最大值,ES=max{紧前工作的EF};工作的最早完成时间等于该工作的最早开始时间加上其持续时间,EF=ES+本工作持续时间。
               网络计划中各项工作的最迟开始时间(LS)和最迟完成时间(LF)的计算应以项目规定或计算的工期为基准,从网络计划的终止节点,逆着箭线方向依次逐项计算。某工作的最迟完成时间等于该工作的各项紧后工作的最迟开始时间的最小值,LF=min{紧后工作的LS};最迟开始时间等于本项工作的最迟完成时间减本项工作的持续时间,LS=LF-工作的持续时间。
               某项工作总时差(TF)等于该工作最迟完成时间与最早完成时间之差,或该工作最迟开始时间与最早开始时间之差,TF=LF-EF或TF=LS-ES。
               某项工作自由时差(FF)的计算有两种情况,对于有紧后工作的工作,其自由时差等于本工作之紧后工作最早开始时间减本工作最早完成时间所得之差的最小值,FF=min{ES(紧后工作)}-EF;对于无紧后工作的工作,也就是以网络计划终点节点为完成节点的工作,其自由时差等于计划工期与本工作最早完成时间之差。
   题号导航      2017年下半年 系统集成项目管理工程师 上午试卷 综合知识   本试卷我的完整做题情况  
1 /
2 /
3 /
4 /
5 /
6 /
7 /
8 /
9 /
10 /
11 /
12 /
13 /
14 /
15 /
 
16 /
17 /
18 /
19 /
20 /
21 /
22 /
23 /
24 /
25 /
26 /
27 /
28 /
29 /
30 /
 
31 /
32 /
33 /
34 /
35 /
36 /
37 /
38 /
39 /
40 /
41 /
42 /
43 /
44 /
45 /
 
46 /
47 /
48 /
49 /
50 /
51 /
52 /
53 /
54 /
55 /
56 /
57 /
58 /
59 /
60 /
 
61 /
62 /
63 /
64 /
65 /
66 /
67 /
68 /
69 /
70 /
71 /
72 /
73 /
74 /
75 /
 
第65题    在手机中做本题