免费智能真题库 > 历年试卷 > 系统集成项目管理工程师 > 2009年下半年 系统集成项目管理工程师 上午试卷 综合知识
  第37题      
  知识点:   三点估算
  关键词:   算法   项目经理        章/节:   估算活动持续时间       

 
A公司的某项目即将开始,项目经理估计该项目10天即可完成,如果出现问题耽搁了也不会超过20天完成,最快6天即可完成。根据项目历时估计中的3点估算法,你认为该项目的历时为(37),该项目历时的估算方差为(38)。
 
 
  A.  10 天
 
  B.  11 天
 
  C.  12 天
 
  D.  13 天
 
 
 

  相关试题:估算活动持续时间          更多>  
 
  第48题    2010年下半年  
   67%
围绕三点估算技术在风险评估中的应用,以下论述(48)是正确的。
  第51题    2009年上半年  
   51%
在项目实施中间的某次周例会上,项目经理小王用下表向大家通报了目前的进度。 根据这个表格,目前项目的进度(51).
  第47题    2019年上半年  
   42%
下图为某项目规划的的进度网络图(单位:周)。在实际实施过程中,活动B-E 比计划延迟了2周,活动J-K比计划提前了3周,则该项目的..
   知识点讲解    
   · 三点估算
 
       三点估算
        通过考虑估算中的不确定性和风险,可以提高活动历时估算的准确性。这个概念源自计划评审技术(PERT)。PERT使用三种估算值来界定活动持续时间的近似区间。
               活动历时估算
               对活动进行最乐观、最悲观及最可能时间估算:
               To(Optimistic Time,最乐观时间)
               Tm(Most likely Time,最可能时间)
               Tp(Pessimistic Time,最悲观时间)
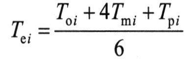
               假定三个估值服从β分布,由此可算出每个活动的期望历时Tei为:
               
               其中i表示第i项活动。
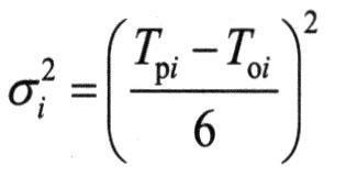
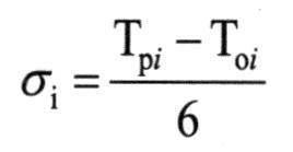
               根据β分布的方差计算方法,第i项活动的持续时间方差为:
               
               标准差为:
               
               总工期估算
               PERT方法中总工期期望值为各活动期望历时之和,且服从正态分布。
               总工期期望值:Te=∑Tei
               总工期方差:
               标准差:
               总工期的正态分布示意图如下图所示。
               
               总工期的正态分析
               正态分布图的X轴代表工期,Y轴代表工期发生的概率密度,曲线下的面积代表了累积概率分布。由正态分布图可以得到下面的信息:
               .以工期期望值Te为中心,概率分布曲线对称分布。
               .如果需要了解某一天完成项目的可能性,只要看对应的概率密度即可,特殊点的可以通过计算得到,其他点的需要查正态分布表。
               .如果需要了解某一段时间内完成项目的可能性,需要求解该段时间内累积概率密度和,即该段时间内曲线下的面积。
               .以工期期望值为中心,±1σ范围内完成的概率为68%,±2σ范围内完成的概率为95%,±3σ范围内完成的概率为99%。
               例1:A活动历时的悲观估计是36天,乐观估计是6天,最可能估计是21天,那么该活动在16~26天完成的概率有多大?在16天以前完成的概率有多大?
               A活动的期望工期为TeA=(36+4×21+6)/6=21天
               标准差为σA=(36-6)/6=5
               根据正态分布规律,A活动在16~26天完成正好落在±1σ范围内,所以完成的概率为68%。
               16天恰好是Te-1σ,所以A活动在16天之前完成的概率为50%-68%/2=16%。
               例2:下图所示为一个项目的关键路径,图中标出了每个活动的ToiTmiTpi,计算项目在57天内完成的概率为多少。
               
               某项目的关键路径
               分别对每个活动计算期望工期及方差,得到下表中的数据。
               
               各活动的期望工期及方差
               该项目的期望工期为Te=4+11+25+12=52天
               总方差为σ2=0.444+2.778+20.25+2.26=25.732
               标准差为σ=5.072
               因为Te+1σ=52+5.072=57.072,57天落在正态分布的Te+1σ处,所以项目在57天内完成的概率为50%+68%/2=84%。
   题号导航      2009年下半年 系统集成项目管理工程师 上午试卷 综合知识   本试卷我的完整做题情况  
1 /
2 /
3 /
4 /
5 /
6 /
7 /
8 /
9 /
10 /
11 /
12 /
13 /
14 /
15 /
 
16 /
17 /
18 /
19 /
20 /
21 /
22 /
23 /
24 /
25 /
26 /
27 /
28 /
29 /
30 /
 
31 /
32 /
33 /
34 /
35 /
36 /
37 /
38 /
39 /
40 /
41 /
42 /
43 /
44 /
45 /
 
46 /
47 /
48 /
49 /
50 /
51 /
52 /
53 /
54 /
55 /
56 /
57 /
58 /
59 /
60 /
 
61 /
62 /
63 /
64 /
65 /
66 /
67 /
68 /
69 /
70 /
71 /
72 /
73 /
74 /
75 /
 
第37题    在手机中做本题