免费智能真题库 > 历年试卷 > 系统集成项目管理工程师 > 2019年上半年 系统集成项目管理工程师 上午试卷 综合知识
  第48题      
  知识点:   活动历时估算
  章/节:   估算活动持续时间       

 
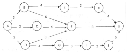
下图为某项目规划的的进度网络图(单位:周)。在实际实施过程中,活动B-E 比计划延迟了2周,活动J-K比计划提前了3周,则该项目的关键路径是(47),总工期是(48)周。
 
 
  A.  15
 
  B.  14
 
  C.  13
 
  D.  12
 
 
 

  相关试题:估算活动持续时间          更多>  
 
  第44题    2022年下半年  
   53%
某活动的最乐观时间为6天,最可能时间为9天,最悲观时间为12天,则该活动持续时问的PERT估算值和估算的标准差分别为()。
  第35题    2012年上半年  
   48%
关于项目进度管理中的活动历时估算的叙述,(35)是正确的。
  第48题    2018年下半年  
   52%
某工程由8个活动组成,其各活动情况如下表所示,该工程关键路径为()
   知识点讲解    
   · 活动历时估算
 
       活动历时估算
        对活动进行最乐观、最悲观及最可能时间估算:
        To(Optimistic Time,最乐观时间)
        Tm(Most likely Time,最可能时间)
        Tp(Pessimistic Time,最悲观时间)
        假定三个估值服从β分布,由此可算出每个活动的期望历时Tei为:
        
        其中i表示第i项活动。
        根据β分布的方差计算方法,第i项活动的持续时间方差为:
        
        标准差为:
        
   题号导航      2019年上半年 系统集成项目管理工程师 上午试卷 综合知识   本试卷我的完整做题情况  
1 /
2 /
3 /
4 /
5 /
6 /
7 /
8 /
9 /
10 /
11 /
12 /
13 /
14 /
15 /
 
16 /
17 /
18 /
19 /
20 /
21 /
22 /
23 /
24 /
25 /
26 /
27 /
28 /
29 /
30 /
 
31 /
32 /
33 /
34 /
35 /
36 /
37 /
38 /
39 /
40 /
41 /
42 /
43 /
44 /
45 /
 
46 /
47 /
48 /
49 /
50 /
51 /
52 /
53 /
54 /
55 /
56 /
57 /
58 /
59 /
60 /
 
61 /
62 /
63 /
64 /
65 /
66 /
67 /
68 /
69 /
70 /
71 /
72 /
73 /
74 /
75 /
 
第48题    在手机中做本题