免费智能真题库 > 历年试卷 > 系统集成项目管理工程师 > 2022年下半年 系统集成项目管理工程师 下午试卷 案例
  第2题      
  知识点:   资源计划

 
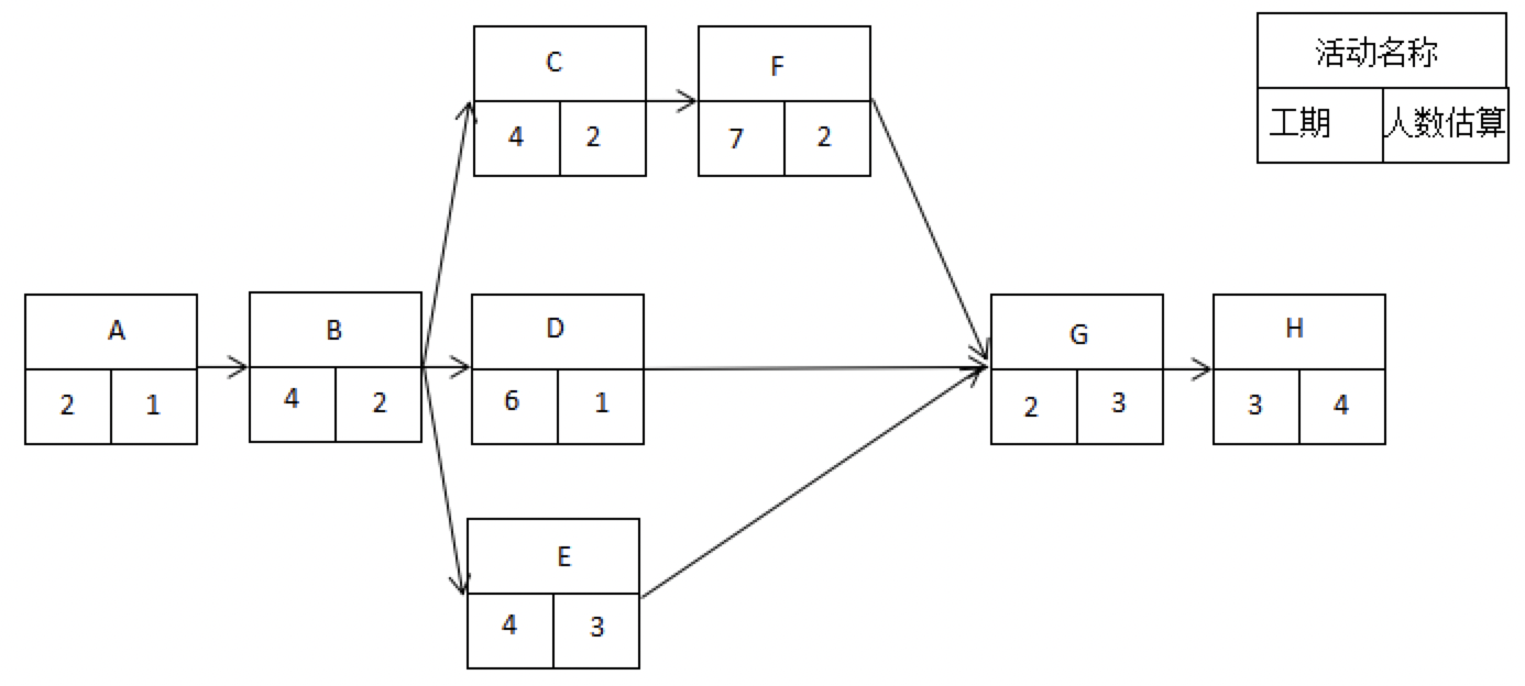
某项目的网络资源计划如图所示,已知每位工程师的日均成本为400元/天。

 
问题:2.1   (5分)
请计算项目的工期及关键路径,并说明活动E最晚应在哪天开始。依据是什么??
 
问题:2.2   (8分)
第9日工作结束时,项目组已完成ABC三项工作,D工作完成了三分之一,E工作完成了二分之一,其余工作尚未开展,此时人力资源管理部门统计总人力成本为9800元。
(1)请给出项目此时的挣值;
(2)计算此时项目的SV和CV,并评价项目当前的进度绩效和成本绩效。?
 
问题:2.3   (9分)
假设每位工程师均可胜任各项工作,在不影响工期的前提下。可重新安排有关活动的顺序以减少项目所需人数。此种情况下,请按照项目的网络资源计划。画出项目的时标网络计划图,并判断该项目最少需要多少人??
 
 
 

   知识点讲解    
   · 资源计划
 
       资源计划
        确定完成信息系统工程项目所需要的资源种类和数量,并编制资源计划书,进行资源计划审核、批准等一系列活动。资源的种类包括人、设备、材料及资金等。
   题号导航      2022年下半年 系统集成项目管理工程师 下午试卷 案例   本试卷我的完整做题情况  
1 /
2 /
3 /
4 /
 
第2题    在手机中做本题