(0<x<1) (0<x<1)
免费智能真题库 > 历年试卷 > 系统分析师 > 2025年上半年 系统分析师 上午试卷 综合知识
  第40题      
  知识点:   概率统计应用
  关键词:   函数   开发   数据        章/节:   概率统计应用       

 
根据历史数据和理论推导可知,某应用中,随机变量s的分布密度函数为f(x)=3x2(0<x<1)。这意味着,当Δx充分小时,随机变量s落在区间(x,x+Δx)内的概率约等于f(x)Δx。为此,开发该应用的仿真系统时,可用()来模拟该随机变量,其中,r1.r2.r3...为计算机逐个产生的、均匀分布在(0,1)区间内的互相独立的伪随机数。
 
 
  A.  max(r1,r2,r3)
 
  B.  r1*r2*r3
 
  C.  min(r1,r2,r3)
 
  D.  (r1+r2+r3)/3
 
 
 

  相关试题:概率统计应用          更多>  
 
  第53题    2014年上半年  
   54%
设甲乙丙三人独立解决某个问题的概率分别为0.45、0.55、0.6,则三人一起解决该问题的概率约为(53)。
  第52题    2016年上半年  
   50%
某市场上某种零件由甲、乙、丙、丁四厂供货,供货数量之比为4:3:2:1。各厂产品的合格率分别为99%、98%、97.5%和95%。某抽检员发现..
  第55题    2013年上半年  
   56%
根据近几个月的数据统计,某车次火车到站晚点时间t (分钟)的概率分布密度函数可用函数)来描述,因此可以计算出其中的待定系数k=..
   知识点讲解    
   · 概率统计应用
 
       概率统计应用
        在概率统计应用方面,主要考查概率的基本概念和常用分布的应用。
                      概率基础知识
                      在不变的条件下,重复做n次试验,设n次试验中事件A发生m次。如果当n很大时,频率m/n稳定地在某一数值p的附近摆动,而且随着n的增大,这种摆动的幅度越小,则称数值p为事件A的概率,记作PA)=p
                             概率的基本性质
                             ①P?)=0,PΩ)=1。
                             注意:概率为0的事件不一定是不可能事件,概率为1的事件也不一定是必然事件。
                             ①对于任何事件A,0≤PA)≤1。
                             ②
                             ③PA-B)=PA)-PAB)。
                             ④当B?A时,则PA-B)=PA)-PB)。
                             条件概率和事件的独立性
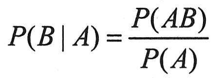
                             如果AB是两个事件,且PA)>0,称
                             
                             为事件A发生的条件下事件B的条件概率。
                             如果PAB)=PAPB),则称AB相互独立。
                             容易推出,AB相互独立当且仅当PB|A)=PB)。也就是说,AB相互独立意味着B发生的概率与A是否发生无关。同样,A发生的概率与B是否发生也无关。
                             加法公式
                             ①PAB)=PA)+PB)-PAB)。
                             ②PABC)=PA)+PB)+PC)-PAB)-PAC)-PBC)+PABC)。
                             全概率公式
                             如果n个事件B1B2,…,Bn两两互斥,且,则称这n个事件是一个完全事件组。
                             设B1B2,…,Bn是一个完全事件组,且PBi)>0(1≤in),则
                             
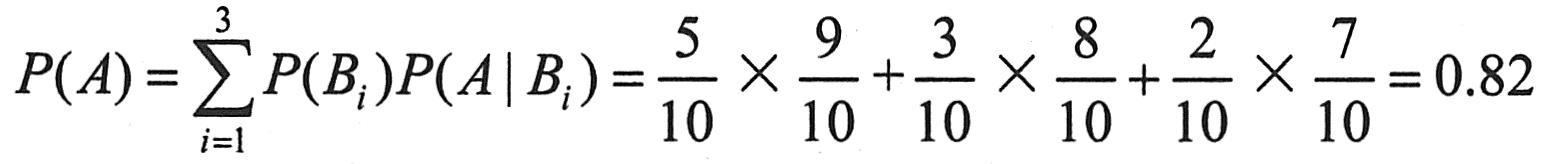
                             【例】设一仓库中有10箱同种规格的产品,其中由甲、乙、丙3厂生产的分别有5箱、3箱、2箱,3厂产品的废品率依此为0.1、0.2、0.3。从这10箱产品中任取一箱,再从这箱中任取一件产品,求取得的正品的概率。
                             【解】A表示事件“取得的产品为正品”,B1B2B3分别表示事件“任取一件产品是甲、乙、丙厂生产的”。显然,B1B2B3是一个完全事件组。根据全概率公式,
                             
                      常用分布
                      本节介绍7种常见的分布,考生要对这些分布的分布函数有所了解。
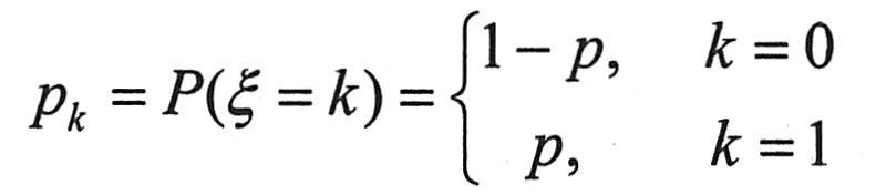
                             0-1分布
                             当随机实验只有两种可能的结果时,可以用服从0-1分布的随机变量来描述。
                             
                             其中0<p<1。
                             二项分布
                             设伯努利概型在每次试验中事件A发生的概率为p,则n次实验中A发生的次数可以用服从二项分布Bnp)的随机变量来描述。
                             
                             其中n是正整数,0<p<1。
                             几何分布
                             设独立重复中每次试验“成功”的概率均为p。如果某次试验“成功”,就不再继续试验,则试验次数可用服从几何分布Gp)的随机变量来表示。
                             pk=Pξ=k)=p(1-pk-1k=0,1,2,…
                             其中0<p<1。
                             泊松分布
                             泊松(Poisson)分布可作为描述大量试验中稀有事件出现次数的概率分布的数学模型。例如,数字通信中的误码数、大批量产品中不合格品数、原子蜕变放射出的粒子数都可用服从泊松分布的随机变量来表示。
                             
                             其中λ>0。
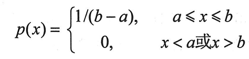
                             均匀分布
                             当随机实验的结果在[ab]均匀分布时,可以用服从均匀分布μab)的随机变量来描述。
                             
                             其中-∞<a<b<∞。
                             指数分布
                             设备、器件和工具的无故障工作时间或使用寿命常用服从指数分布的随机变量来描述。
                             
                             其中λ>0。
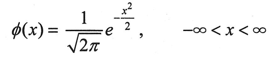
                             标准正态分布
                             μ=0,σ=1的正态分布N(0,1)称作标准正态分布,其密度函数记作?x),它的分布函数记作Φx)。
                             
   题号导航      2025年上半年 系统分析师 上午试卷 综合知识   本试卷我的完整做题情况  
1 /
2 /
3 /
4 /
5 /
6 /
7 /
8 /
9 /
10 /
11 /
12 /
13 /
14 /
15 /
 
16 /
17 /
18 /
19 /
20 /
21 /
22 /
23 /
24 /
25 /
26 /
27 /
28 /
29 /
30 /
 
31 /
32 /
33 /
34 /
35 /
36 /
37 /
38 /
39 /
40 /
41 /
42 /
43 /
44 /
45 /
 
46 /
47 /
48 /
49 /
50 /
51 /
52 /
53 /
54 /
55 /
56 /
57 /
58 /
59 /
60 /
 
61 /
62 /
63 /
64 /
65 /
66 /
67 /
68 /
69 /
70 /
71 /
72 /
73 /
74 /
75 /
 
第40题    在手机中做本题