免费智能真题库 > 历年试卷 > 系统分析师 > 2009年上半年 系统分析师 上午试卷 综合知识
  第20题      
  知识点:   甘特图和时标网络图   关键路径   关键路径法
  关键词:   关键路径法   项目进度   关键路径        章/节:   项目管理知识       

 
关键路径法是多种项目进度分析方法的基础。(20)将关键路径法分析的结果应用到项目日程表中:(21)是关键路径法的延伸,为项目实施过程中引入活动持续期的变化:(22)允许相互依赖的活动可以部分并行进行。
 
 
  A.  PERT网络分析
 
  B.  甘特图
 
  C.  优先日程图法
 
  D.  启发式分析法
 
 
 

  相关试题:项目管理知识          更多>  
 
  第75题    2023年上半年  
   83%
Safety cntical systos are syste me in which failures may affect the environment of the esem ard cwse injury or desth to ..
  第73题    2023年上半年  
   67%
Safety cntical systos are syste me in which failures may affect the environment of the esem ard cwse injury or desth to ..
  第32题    2015年上半年  
   51%
软件配置管理中,每一项配置变更都要在配置状态报告中进行详细的记录。配置状态报告的信息流如下图所示,图中①②③处分别是()..
   知识点讲解    
   · 甘特图和时标网络图    · 关键路径    · 关键路径法
 
       甘特图和时标网络图
        甘特(Gantt)图也称为横道图或条形图,把计划和进度安排两种智能结合在一起。用水平线段表示活动的工作阶段,线段的起点和终点分别对应着活动的开始时间和完成时间,线段的长度表示完成活动所需的时间。下图给出了一个具有5个任务的甘特图。
        
        甘特图
        如果这5条线段分别代表完成活动的计划时间,则在横坐标方向附加一条可向右移动的纵线。它可随着项目的进展,指明已完成的活动(纵线扫过的)和有待完成的活动(纵线尚未扫过的)。我们从甘特图上可以很清楚地看出各子活动在时间上的对比关系。
        在甘特图中,每一个活动完成的标准,不是以能否继续下一阶段活动为标准,而是必须交付应交付的文档与通过评审为标准。因此在甘特图中,文档编制与评审是项目进度的里程碑。甘特图的优点是标明了各活动的计划进度和当前进度,能动态地反映项目进展情况,能反映活动之间的静态的逻辑关系。缺点是难以反映多个活动之间存在的复杂的逻辑关系,没有指出影响项目生命周期的关键所在,不利于合理地组织安排整个系统,更不利于对整个系统进行动态优化管理。
        时标网络图(Time Scalar Network)克服了甘特图的缺点,用带有时标的网状图表示各子任务的进度情况,以反映各子任务在进度上的依赖关系。如下图所示,E2的开始取决于A3的完成。在下图中,虚箭头表示虚任务,即耗时为0的任务,只用于表示活动间的相互关系。
 
       关键路径
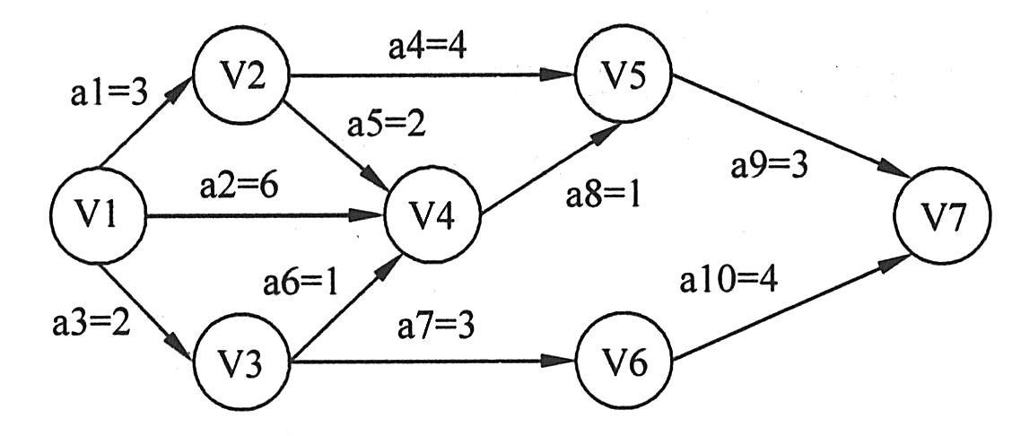
        在AOV网络中,如果边上的权表示完成该活动所需的时间,则称这样的AOV为AOE网络。例如,下图表示一个具有10个活动的某个工程的AOE网络。图中有7个节点,分别表示事件1~7,其中1表示工程开始状态,7表示工程结束状态,边上的权表示完成该活动所需的时间。
        
        AOE网络的例子
        因AOE网络中的某些活动可以并行地进行,所以完成工程的最少时间是从开始节点到结束节点的最长路径长度,称从开始节点到结束节点的最长路径为关键路径(临界路径),关键路径上的活动为关键活动。为了找出给定的AOE网络的关键活动,从而找出关键路径,先定义几个重要的量。
        Vej)、Vlj):节点j事件最早、最迟发生时间。
        ei)、li):活动i最早、最迟开始时间。
        从源点Vl到某结点Vj的最长路径长度,称为事件Vj的最早发生时间,记作Vej)。Vej)也是以Vj为起点的出边<VjVk>所表示的活动ai的最早开始时间ei)。
        在不推迟整个工程完成的前提下,一个事件Vj允许的最迟发生时间,记作Vlj)。显然,li)=Vlj)-(ai所需时间),其中jai活动的终点。满足条件li)=ei)的活动为关键活动。
        求结点VjVej)和Vlj)可按以下两步来做:
 
       关键路径法
        关键路径法(Critical Path Method, CPM)是借助网络图和各活动所需时间(估计值),计算每一活动的最早或最迟开始和结束时间。CPM法的关键是计算总时差,这样可决定哪一活动有最小时间弹性。CPM算法的核心思想是将WBS分解的活动按逻辑关系加以整合,统筹计算出整个项目的工期和关键路径。
               关键路径
               因网络图中的某些活动可以并行地进行,所以完成工程的最少时间是从开始节点到结束节点的最长路径长度,称从开始节点到结束节点的最长路径为关键路径(临界路径),关键路径上的活动为关键活动。
               有关关键路径的具体求法,请阅读17.2.3节。
               时差
               一般来说,不在关键路径上的活动时间的缩短,不能缩短整个工期。而不在关键路径上的活动时间的延长,可能导致关键路径的变化,因此可能影响整个工期。
               活动的总时差是指在不延误总工期的前提下,该活动的机动时间。活动的总时差等于该活动最迟完成时间与最早完成时间之差,或该活动最迟开始时间与最早开始时间之差。
               活动的自由时差是指在不影响紧后活动的最早开始时间前提下该活动的机动时间。活动自由时差的计算应按以下两种情况分别考虑:
               (1)对于有紧后活动的活动,其自由时差等于所有紧后活动最早开始时间减本活动最早完成时间所得之差的最小值。例如,假设活动A的最早完成时间为4,活动A有2项紧后活动A和B,其最早开始时间分别为5和7,则A的自由时差为1。
               (2)对于没有紧后活动的活动,也就是以网络计划终点节点为完成节点的活动,其自由时差等于计划工期与本活动最早完成时间之差。
               对于网络计划中以终点节点为完成节点的活动,其自由时差与总时差相等。此外,由于活动的自由时差是其总时差的构成部分,所以,当活动的总时差为零时,其自由时差必然为零,可不必进行专门计算。
               费用斜率
               一项活动所用的时间可以有标准所需时间S和特急所需时间E,对应的费用分别为SCEC,则活动的费用斜率的计算公式如下:
               C=(EC-SC)/(S-E
               由上述公式,我们可以发现,费用斜率描述的是某一项活动加急所需要的代价比,即平均每加急一个时间单位所需要付出的代价。因此,在实际制定进度计划时,要选择费用斜率较低的活动进行优化,缩短其时间。
               进度压缩
               进度压缩是指在不改变项目范围的条件下缩短项目进度的途径。常用的进度压缩的技术有赶工、快速跟进等。进度压缩的方法有加强控制、资源优化(增加资源数量)、提高资源利用率(提高资源质量)、改变工艺或流程、加强沟通、加班、外包、缩小范围等。
               赶工是一种通过分配更多的资源,达到以成本的最低增加进行最大限度的进度压缩的目的,赶工不改变活动之间的顺序;快速跟进也称为快速追踪,是指并行或重叠执行原来计划串行执行的活动。快速跟进会改变工作网络图原来的顺序。
               在软件工程项目中必须处理好进度与质量之间的关系。在软件开发实践中常常会遇到这样的事情,当任务未能按计划完成时,只好设法加快进度赶上去。但事实告诉我们,在进度压力下赶任务,其成果往往是以牺牲产品的质量为代价的。因此,当某一开发项目的进度有可能拖期时,应该分析拖期原因,加以补救;不应该盲目地投入新的人员或推迟预定完成日期,增加资源有可能导致产生额外的问题并且降低效率。Brooks曾指出:为延期的软件项目增加人员将可能使其进度更慢。
   题号导航      2009年上半年 系统分析师 上午试卷 综合知识   本试卷我的完整做题情况  
1 /
2 /
3 /
4 /
5 /
6 /
7 /
8 /
9 /
10 /
11 /
12 /
13 /
14 /
15 /
 
16 /
17 /
18 /
19 /
20 /
21 /
22 /
23 /
24 /
25 /
26 /
27 /
28 /
29 /
30 /
 
31 /
32 /
33 /
34 /
35 /
36 /
37 /
38 /
39 /
40 /
41 /
42 /
43 /
44 /
45 /
 
46 /
47 /
48 /
49 /
50 /
51 /
52 /
53 /
54 /
55 /
56 /
57 /
58 /
59 /
60 /
 
61 /
62 /
63 /
64 /
65 /
66 /
67 /
68 /
69 /
70 /
71 /
72 /
73 /
74 /
75 /
 
第20题    在手机中做本题