免费智能真题库 > 历年试卷 > 系统分析师 > 2010年上半年 系统分析师 上午试卷 综合知识
  第52题      
  知识点:   信号量与PV操作
  章/节:   操作系统       

 
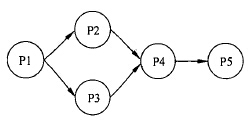
进程P1、P2、P3、P4、P5的前趋图如下。

若用PV操作控制进程并发执行的过程,则需要相应于进程执行过程设置5个信号量S1、S2、S3、S4和S5,且信号量初值都等于零。下图中a处应填写(50) :b和c、 d和e处应分别填写(51),f、g和h应分别填写(52)。
 
 
  A.  P(S3)V(S4)、V(S5)和P(S5)
 
  B.  V(S3)V(S4)、P(S5)和V(S5)
 
  C.  P(S3)P(S4)、V(S5)和P(S5)
 
  D.  V(S3)P(S4)、P(S5)和V(S5)
 
 
 

  相关试题:操作系统          更多>  
 
  第40题    2024年上半年  
   0%
进程P1、P2、P3、P4、P5和P6的前趋图如下所示:
  第51题    2023年上半年  
   36%
进程 P1、P2、P3、P4、P5 和 P6 的前趋图如下所示:

若用 PV 操作控制这 6 个进程的同步与互斥的程序如下,那么程..
  第47题    2012年上半年  
   63%
进程P有6个页面,页号分别为0〜5,页面大小为4K,页面变换表如下所示。表中状态位等于1和0分别表示页面在内存和不在内存。..
   知识点讲解    
   · 信号量与PV操作
 
       信号量与PV操作
        对于本知识点的考查,重点在于理解信号量与P、V操作的基本概念,能够正确地理解在互斥、同步方面的控制应用,并能够灵活地运用,相对来说是个难点。
        在操作系统中,进程之间经常会存在互斥(都需要共享独占性资源时)和同步(完成异步的两个进程的协作)两种关系。为了有效地处理这两种情况,W.Dijkstra在1965年提出信号量和P、V操作。
        (1)信号量:是一种特殊的变量,表现形式是一个整型S和一个队列。
        (2)P操作:S=S-1,若S<0,进程暂停执行,进入等待队列。
        (3)V操作:S=S+1,若S≤0,唤醒等待队列中的一个进程。
               互斥控制
               互斥控制是为了保护共享资源,不让多个进程同时访问这个共享资源,换句话说,就是阻止多个进程同时进入访问这些资源的代码段,这个代码段称为临界区,而这种一次只允许一个进程访问的资源称为临界资源。为了实现进程互斥地进入自己的临界区,代码可以如下所示:
               
               由于只允许一个进程进入,因此信号量S的初值应该为1。该值表示可以允许多少个进程进入,当S<0时,其绝对值就是等待使用临界资源的进程数,也就是等待队列中的进程数。而当一个进程从临界区出来时,执行V操作(S=S+1),如果等待队列中还有进程(S≤0),则调入一个新的进程进入(唤醒)。
               同步控制
               最简单的同步形式是进程A在另一个进程B到达L2以前,不应前进到超过点L1,这样就可以使用如下程序:
               
               因此,要确保进程B执行V操作之前,不让进程A的运行超过L1,就要设置信号量S的初值为0。这样,如果进程A先执行到L1,那么执行P操作(S=S-1)后,则S<0,就停止执行。直到进程B执行到L2时,将执行V操作(S=S+1),唤醒A以继续执行。
               生产者-消费者问题
               生产者-消费者是一个经典的问题,它不仅要解决生产者进程与消费者进程的同步关系,还要处理缓冲区的互斥关系,因此通常需要3个信号量来实现,如下表所示。
               
               生产者-消费者问题
               如果对缓冲区的读写无须进行互斥控制的话,那么就可以省去mutex信号量。
               理解P、V操作
               信号量与P、V操作的概念比较抽象,在历年的考试中总是难倒许多考生,其实主要还是没有能够正确地理解信号量的含义。
               (1)信号量与P、V操作是用来解决并发问题的,而在并发问题中最重要的是互斥与同步两个关系,也就是说只要有这两个关系存在,信号量就有用武之地。因此,在解题时,应该先从寻找互斥与同步关系开始。这个过程可以套用简单互斥、简单同步、生产者-消费者问题。
               (2)通常来说,一个互斥或一个同步关系可以使用一个信号量来解决,但要注意经常会忽略一些隐藏的同步关系。例如:在生产者-消费者问题中,就有两个同步关系,一个是判断是否还有足够的空间给生产者存放产物,另一个是判断是否有足够的内容让消费者使用。
               (3)信号量的初值通常就是表示资源的可用数。而且通常对于初始为0的信号量,会先做V操作。
               (4)在资源使用之前,将会使用P操作;在资源用完之后,将会使用V操作。在互斥关系中,P、V操作是在一个进程中成对出现的;而在同步关系中,则P、V操作一定是在两个进程甚至是多个进程中成对出现的。
               实际应用
               在考试时,可能会出现一些需要综合应用的问题,需要考生根据基本的概念,结合实际问题进行解答。
               例如:在某并发系统中,有一个发送进程A、一个接收进程B、一个环形缓冲区BUFFER、信号量S1S2。发送进程不断地产生消息并写入缓冲区BUFFER,接收进程不断地从缓冲区BUFFER取消息。假设发送进程和接收进程可以并发地执行,那么,当缓冲区的容量为N时,如何使用P、V操作才能保证系统的正常工作。发送进程A和接收进程B的工作流程如下图所示。请在下图中的(1)~(4)处填写正确的操作。
               
               P、V操作实例一
               根据题意,很显然,这是一个“生产者-消费者”问题,根据该问题的特性,通常需要3个信号量来实现:两个用来管理缓冲区同步,信号量empty表示空闲缓冲区数量,初值为缓冲区最大数N,信号量full表示已填充缓冲区数量,初值为0;一个用于管理互斥,由信号量mutex保证只有一个进程在写缓冲区,初值为1。但在本题中,进程A和进程B允许并发地访问缓冲区,因此无须管理互斥,就不需要使用信号量mutex了。因此只需定义两个信号量:S1S2,初值为NS1在此承担的是信号量empty的功能,初值为0的S2在此则承担的是信号量full的功能。
               通过这样的分析,不难得出:(1)处应该是P(S1),将空闲缓冲区数量减1;(2)处应该是V(S2),将已填充的缓冲区数量加1;(3)处则是P(S2),(4)处为V(S1)。
               在这个例子的基础上,如果系统中有多个发送进程和接收进程,进程间的工作流程如下图所示,其中空(1)~(4)的内容与上图相同。发送进程产生消息并顺序地写入环形缓冲区BUFFER,接收者进程顺序地从BUFFER中取消息,且每条消息只能读取一次。为了保证进程间的正确通信,增加了信息量SASB。请说明信息量SASB的物理意义,在下图中的(5)和(6)处填入正确的内容,并从下图的(a)~(l)中选择四个位置正确地插入P(SA),V(SA),P(SB),V(SB)。
               下图所涉及的问题在普通的“生产者-消费者”问题上增加了一些复杂度:“系统中有多个发送进程和接收进程”,根据题意,我们可以得知它要完成的控制是:发送进程顺序写入,接收进程顺序读取,而且每条消息都只能够读取一次。这显然是两个互斥的问题,即多个发送进程在写缓冲区时是互斥关系,多个接收进程读缓冲区也是互斥关系。因此,信号量SASB分别实现这两个用来完成两个进程的互斥控制。
               (1)SA:初值为1,表示允许同时对缓冲区进行写操作的进程数量。
               (2)SB:初值为1,表示允许同时对缓冲区进行读操作的进程数量。
               当然,两个对调也是可以的。在发送进程和接收进程中分别有一组信号量SASB的P、V操作。因此,接下来的问题就是找出插入点。互斥控制的要点在于判断出临界区的范围,也就是哪部分程序必须互斥进入,否则将出现问题。根据这一点,我们可以进行如下分析。
               
               P、V操作实例二
               (1)发送进程:在进程产生消息之后准备写入缓冲区时,这时就需要进行互斥判断,因此在位置(b)应插入P(SA);而直到完成“i=(i+1)modN”操作后,才完成缓冲区操作,因此必须在位置(f)插入V(SA)。
               (2)接收进程:由于接收进程是负责读数据的,如果数据区是空的则应该等待,因此必须先完成P(S2)操作,来决定其是否需要阻塞。如果没有阻塞时,再进入临界区,因此应该在位置(h)处操作P(SB);而“对读取的消息进行处理”已显然在临界区之外,因此应该在位置(k)插入V(SB)。
   题号导航      2010年上半年 系统分析师 上午试卷 综合知识   本试卷我的完整做题情况  
1 /
2 /
3 /
4 /
5 /
6 /
7 /
8 /
9 /
10 /
11 /
12 /
13 /
14 /
15 /
 
16 /
17 /
18 /
19 /
20 /
21 /
22 /
23 /
24 /
25 /
26 /
27 /
28 /
29 /
30 /
 
31 /
32 /
33 /
34 /
35 /
36 /
37 /
38 /
39 /
40 /
41 /
42 /
43 /
44 /
45 /
 
46 /
47 /
48 /
49 /
50 /
51 /
52 /
53 /
54 /
55 /
56 /
57 /
58 /
59 /
60 /
 
61 /
62 /
63 /
64 /
65 /
66 /
67 /
68 /
69 /
70 /
71 /
72 /
73 /
74 /
75 /
 
第52题    在手机中做本题