免费智能真题库 > 历年试卷 > 系统分析师 > 2013年上半年 系统分析师 上午试卷 综合知识
  第53题      
  关键词:   信息系统        章/节:   财务成本管理实务       

 
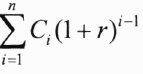
设某信息系统明年初建成后预计在第i (i=l、2、...n)年将能获得经济效益Ci元,则该系统总的经济效益可以估计为(53)元,其中r是贴现率(利率)。
 
 
  A. 
 
  B. 
 
  C. 
 
  D. 
 
 
 

  相关试题:财务成本管理实务          更多>  
 
  第29题    2016年上半年  
   66%
成本是信息系统生命周期内各阶段的所有投入之和,按照成本性态分类,可以分为固定成本、变动成本和混合成本。其中(28)属于固定..
  第28题    2016年上半年  
   48%
成本是信息系统生命周期内各阶段的所有投入之和,按照成本性态分类,可以分为固定成本、变动成本和混合成本。其中(28)属于固定..
 
   题号导航      2013年上半年 系统分析师 上午试卷 综合知识   本试卷我的完整做题情况  
1 /
2 /
3 /
4 /
5 /
6 /
7 /
8 /
9 /
10 /
11 /
12 /
13 /
14 /
15 /
 
16 /
17 /
18 /
19 /
20 /
21 /
22 /
23 /
24 /
25 /
26 /
27 /
28 /
29 /
30 /
 
31 /
32 /
33 /
34 /
35 /
36 /
37 /
38 /
39 /
40 /
41 /
42 /
43 /
44 /
45 /
 
46 /
47 /
48 /
49 /
50 /
51 /
52 /
53 /
54 /
55 /
56 /
57 /
58 /
59 /
60 /
 
61 /
62 /
63 /
64 /
65 /
66 /
67 /
68 /
69 /
70 /
71 /
72 /
73 /
74 /
75 /
 
第53题    在手机中做本题