免费智能真题库 > 历年试卷 > 系统分析师 > 2014年上半年 系统分析师 上午试卷 综合知识
  第60题      
  知识点:   排列   信号   总线和接口   传输速率   大数据   带宽   数据传输速率   系统总线   总线
  关键词:   并行传输   大数据   带宽   时钟频率   时钟周期   数据传输   信号线   总线   传输   数据   信号        章/节:   计算机组成与体系结构       

 
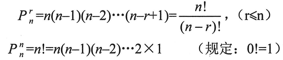
总线规范会详细描述总线各方面的特性,其中(60)特性规定了总线的线数,以及总线的插头、插座的形状、尺寸和信号线的排列方式等要素。总线带宽定义为总线的最大数据传输速率,即每秒传输的字节数。假设某系统总线在一个总周期中并行传输4B信息,一个总线周期占用2个时钟周期,总线时钟频率为10MHz,则总线带宽为(61)Mbps。
 
 
  A.  物理
 
  B.  电气
 
  C.  功能
 
  D.  时间
 
 
 

  相关试题:计算机组成与体系结构          更多>  
 
  第34题    2025年下半年  
   0%
在计算机系统中,对构成内存的半导体存储器进行自检的方法有许多种,其中对(14)一般采用对其内容求累加和进行自检的方法。
  第58题    2014年上半年  
   53%
流水线技术是通过并行硬件来提高系统性能的常用方法。对于一个k段流水线,假设其各段的执行时间均相等(设为t),输入到流水线中..
  第15题    2020年下半年  
   25%
IEEE-1394总线采用菊花链的拓扑结构时,可最多支持63个节点。当1394总线支持1023条桥接总线时,最多可以采用菊花链的拓扑结构互连..
   知识点讲解    
   · 排列    · 信号    · 总线和接口    · 传输速率    · 大数据    · 带宽    · 数据传输速率    · 系统总线    · 总线
 
       排列
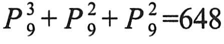
        设S为具有n个不同元素的n元集,从S中选取r个元素且考虑其顺序称为S的一个r排列,不同排列的总数记为,有时也用Pn,r)表示。如果r=n,则称这个排列为S的全排列。从排列的定义可知,如果两个排列相同,不仅这两个排列的元素必须完全相同,而且排列的顺序也必须完全相同。
        
        例:用0到9这十个数字,可以组成多少个没有重复数字的三位数?
        解法1:由于百位数上的数字不能为0,因此可先考虑排百位上的数字,再排十位和个位上的数字。百位数上的数字只能从除0以外的1~9这九个数字中任选一个,有种;十位和个位上的数字,可以从余下的九个数字中任选两个,有种。根据乘法原理,所求的三位数的个数是
        解法2:可先考虑从0~9这十个数字中任取3个数字的排列数,再减去其中以0开头的排列数。因此,所求的三位数的个数是
        解法3:符合条件的三位数可以分为3类:每一位数字都不是0的三位数有个;个位数是0的三位数有个;十位数是0的三位数有个。根据加法原理,符合条件的三位数个数是
 
       信号
        信号是当一个事件发生时产生的软中断,它将信号接收者从其正常的执行路径移开并触发相关的异步处理。本质上,信号通知其他任务或ISR运行期间发生的事件,与正常中断类似,这些事件与被通知的任务是异步的。信号的编号和类型依赖于具体的嵌入式系统的实现。通常,嵌入式系统均提供信号设施,任务可以为每个希望处理的信号提供一个信号处理程序,或是使用内核提供的默认处理程序,也可以将一个信号处理程序用于多种类型的信号。信号可以有被忽略、挂起、处理或阻塞等4种不同的响应处理。
 
       总线和接口
        总线就是一组进行互连和传输信息(指令、数据和地址)的信号线,它好比连接计算机系统各个部件之间的桥梁。
               总线的分类
               按总线相对于CPU或其他芯片的位置可分为内部总线和外部总线两种。在CPU内部,寄存器之间和算术逻辑部件ALU与控制部件之间传输数据所用的总线称为内部总线;外部总线是指CPU与内存RAM、ROM和输入/输出设备接口之间进行通信的通路。由于CPU通过总线实现程序取指令、内存/外设的数据交换,在CPU与外设一定的情况下,总线速度是制约计算机整体性能的最大因素。
               按总线功能来划分又可分为地址总线、数据总线和控制总线3类。我们通常所说的总线都包括上述三个组成部分,地址总线用来传送地址信息,数据总线用来传送数据信息,控制总线用来传送各种控制信号。例如ISA(Industrial Standard Architecture,工业标准结构)总线共有98条线,其中数据线有16条、地址线24条,其余为控制信号线、接地线和电源线。
               按总线在微机系统中的位置可分为机内总线和机外总线两种。我们上面所说的总线都是机内总线,而机外总线是指与外部设备接口相连的,实际上是一种外设的接口标准。如目前计算机上流行的接口标准IDE(Integrated Drive Electronics,电子集成驱动器)、SCSI(Small Computer Standard Interface,小型计算机系统接口)、USB(Universal Serial Bus,通用串行总线)和IEEE(Institute of Electrical and Electronics Engineers,美国电气电子工程师协会)1394等,前两种主要是与硬盘、光驱等IDE设备接口相连,后面两种新型外部总线可以用来连接多种外部设备。
               计算机的总线按其功用来划分主要有局部总线、系统总线、通信总线3种类型。其中局部总线是在传统的ISA总线和CPU总线之间增加的一级总线或管理层,它的出现是由于计算机软硬件功能的不断发展,系统原有的ISA或EISA(Extended ISA,扩展的ISA)等已远远不能适应系统高传输能力的要求,而成为整个系统的主要瓶颈。系统总线是计算机系统内部各部件(插板)之间进行连接和传输信息的一组信号线,例如ISA、EISA、MCA(Micro Channel Architecture,微通道结构)、VESA(Vedio Electronic Standard Association,视频电子标准协会)、PCI(Peripheral Component Interconnect,外设组件互连)、AGP(Accelerate Graphical Port,加速图形接口)等,通信总线是系统之间或微机系统与设备之间进行通信的一组信号线。
               总线标准
               总线标准是指计算机部件各生产厂家都需要遵守的系统总线要求,从而使不同厂家生产的部件能够互换。总线标准主要规定总线的机械结构规范、功能结构规范和电气规范。总线标准可以分为正式标准和工业标准,其中正式标准是由IEEE等国际组织正式确定和承认的标准,工业标准是首先由某一厂家提出,然后得到其他厂家广泛使用的标准。
               接口的分类
               根据外部设备与I/O模块交换数据的方式,系统接口可以分为串行接口和并行接口两种。串行接口一次只能传送1位信息,而并行接口一次就可传送多位信息(一般为8的倍数)。串行通信又可分为异步通信方式和同步通信方式两种。并行接口数据传输率高,控制简单,通常用于高速数据通道接口;但是所需连线很多,不适于远距离传送。串行通信连线少,适于长距离传送;但是控制复杂而且传输速度较慢。
               常见接口
               常见的设备接口有以下几种:
               (1)ESDI(Enhanced Small Drive Interface,加强型小型设备接口)。一种通用的标准接口,不仅适用于小型温盘,还适用于磁带机和光盘存储器。该接口除了完成信息的读写放大外,还要完成数据的编码解码。数据传输率5Mbps~10Mbps,最多可支持4个硬盘,硬盘空间最大可达600MB。
               (2)IDE(Integrated Device Electronics,集成设备电路),是最常用的磁盘接口,分为普通IDE和增强型IDE(EIDE)接口。普通IDE数据传输率不超过1.5Mbps,数据传输宽度为8位,最多可连接4个IDE设备,每个IDE硬盘容量不超过528MB。EIDE的数据传输率可达150Mbps,数据传输宽度32位。
               (3)SCSI。SCSI是大容量存储设备、音频设备和CD-ROM驱动器的一种标准。SCSI接口通常被看作是一种总线,可用于连接多个外设,这些SCSI设备以菊花链形式接入,并被分配给惟一的ID号,其中最后一个ID分配给SCSI控制器。SCSI设备彼此独立运作,相互之间可以交换数据,也可以和主机进行交互。数据以分组消息的形式进行传输。目前,SCSI的最大同步传输速率为5Gbps(640MB/s)。
               (4)PCMCIA(Personal Computer Memory Card International Association,个人计算机内存卡国际联合会)。PCMCIA是一种广泛用于笔记本电脑的接口标准,体积小,扩展较方便、灵活。最初PCMCIA主要用于笔记本电脑扩展内存,目前常用作一种存储器卡接口或进行传真、调制解调器功能扩展接口。现在,用PCMCIA代表个人计算机储器卡国际协会,而PCMCIA接口更名为PC Card接口。PC Card接口具有以下特点:电源管理服务,允许系统控制PC Card的工作状态(开/关),支持3.3V/5V电压,可降低功耗,支持多功能卡、扩充卡的信息结构,以提高其兼容性,规定了直接内存访问规范,增加了一个32位的总线接口。
               (5)IEEE-1394。1394也被称为i.Link或FireWire,是由IEEE于1995年发布的,它的最初版本被称为1394a,初始数据传输速率为200Mbps(25MB/s),现在(Firewire 800)的数据传输速率为800Mbps,而新的1394b(Firewire 3200)有望支持3200Mbps的数据传输速率。1394是构建在菊花链或树状的拓扑结构上的,它支持63个节点,每个节点可以支持多达16台设备的菊花链。如果还不够用的话,该标准还支持最多1023条桥接的总线,这样就可以互连1023×63=64449个节点。另外,与SCSI一样,1394能够在同一条总线上支持不同速率的设备。1394支持设备的热插拔,即允许计算机在未关机带电的情况下,插入或拔除所连接的外设而不会造成损害。1394有许多优于SCSI等其他外设接口的特点,数据传输率高、价格低且容易实现,所以不仅应用于计算机系统中,也广泛用于消费类电子产品,例如,数码相机、摄像机等。
               (6)USB。USB接口是一种串行总线式的接口,在串行接口中可达到较高的数据传输率,并且也允许设备以雏菊链形式接入,最多可连接127个设备。USB的最大特点是允许热插拔,目前在便携式计算机和台式计算机中已成为标准配置。许多数码相机、闪存、视频摄像头以及打印机等都可通过USB口接入计算机。USB1.0的速度是12Mbps(1.5MB/s),USB2.0的速度达到了480Mbps,USB3.0的速度将达到4.8Gbps。
 
       传输速率
        传输速率是指数据在信道中传输的速度。可以用码元传输速率和信息传输速率两种方式来描述。
        码元是在数字通信中常常用时间间隔相同的符号来表示一位二进制数字。这样的时间间隔内的信号称为二进制码元,而这个间隔被称为码元长度。码元传输速率又称为码元速率或传码率。码元速率又称为波特率,每秒中传送的码元数。若数字传输系统所传输的数字序列恰为二进制序列,则等于每秒钟传送码元的数目,而在多电平中则不等同。单位为“波特/秒”,常用符号Baud/s表示。
        信息传输速率即位率,位/秒(b/s),表示每秒中传送的信息量。
        设定码元传输速率为RB,信息速率Rb,则两者的关系如下:
        Rb=RB×log2M
        其中,M为采用的进制。例如,对于采用十六进制进行传输信号,则其信息速率就是码元速率的4倍;如果数字信号采用四级电平即四进制,则一个四进制码元对应两个二进制码元(4=22)。
 
       大数据
               大数据相关概念
                      大数据概念
                      大数据的应用和技术是在互联网快速发展中诞生的,起点可追溯到2000年前后。当时互联网网页爆发式增长,每天新增约700万个网页,到2000年底全球网页数达到40亿,用户检索信息越来越不方便。谷歌等公司率先建立了覆盖数十亿网页的索引库,开始提供较为精确的搜索服务,大大提升了人们使用互联网的效率,这是大数据应用的起点。当时搜索引擎要存储和处理的数据,不仅数量之大前所未有,而且以非结构化数据为主,传统技术无法应对。为此,谷歌提出了一套以分布式为特征的全新技术体系,即后来陆续公开的分布式文件系统(Google File System,GFS)、分布式并行计算(MapReduce)和分布式数据库(BigTable)等技术,以较低的成本实现了之前技术无法达到的规模。这些技术奠定了当前大数据技术的基础,可以认为是大数据技术的源头。
                      伴随着互联网产业的崛起,这种创新的海量数据处理技术在电子商务、定向广告、智能推荐、社交网络等方面得到应用,取得巨大的商业成功。这启发全社会开始重新审视数据的巨大价值,于是金融、电信等拥有大量数据的行业开始尝试这种新的理念和技术,取得初步成效。与此同时,业界也在不断对谷歌提出的技术体系进行扩展,使之能在更多的场景下使用。2011年,麦肯锡、世界经济论坛等知名机构对这种数据驱动的创新进行了研究总结,随即在全世界兴起了一股大数据热潮。
                      虽然大数据已经成为全社会热议的话题,但至今“大数据”尚无公认的统一定义。我们认为,认识大数据要把握“资源、技术、应用”三个层次。大数据是具有体量大、结构多样、时效强等特征的数据;处理大数据需采用新型计算架构和智能算法等新技术;大数据的应用强调以新的理念应用于辅助决策、发现新的知识,更强调在线闭环的业务流程优化。因此可以说,大数据不仅“大”,而且“新”,是新资源、新工具和新应用的综合体。
                      大数据特点
                      业界通常用Volume、Variety、Value、Velocity这4个V来概括大数据的特点:
                      (1)数据体量巨大(Volume)。IDC研究表明,数字领域存在着1.8万亿吉字节的数据。企业数据正在以55%的速度逐年增长。实体世界中,数以百万计的数据采集传感器被嵌入到各种设备中,在数字化世界中,消费者每天的生活(通信、上网浏览、购物、分享、搜索)都在产生着数量庞大的数据。
                      (2)数据类型繁多(Variety)。数据可分为结构化数据、半结构化数据和非结构化数据。相对于以往便于存储的以文本为主的结构化数据,音频、视频、图片、地理位置信息等类型的非结构化数据量占比达到了80%,并在逐步提升,有用信息的提取难度不断增大。
                      (3)价值密度低(Value)。价值密度的高低与数据总量的大小成反比。以视频为例,一部1小时的视频,在连续不间断监控过程中,可能有用的数据仅仅只有一两秒。
                      (4)时效性高(Velocity)。这是大数据区分于传统数据挖掘最显著的特征。数据的价值除了与数据规模相关,还与数据处理周期成正比关系。也就是,数据处理的速度越快、越及时,其价值越大,发挥的效能越大。
               大数据技术
                      大数据技术体系
                      大数据来源于互联网、企业系统和物联网等信息系统,经过大数据处理系统的分析挖掘,产生新的知识用以支撑决策或业务的自动智能化运转。从数据在信息系统中的生命周期看,大数据从数据源经过分析挖掘到最终获得价值一般需要经过5个主要环节,包括数据准备、数据存储与管理、计算处理、数据分析和知识展现,技术体系如下图所示。每个环节都面临不同程度的技术上的挑战。
                      
                      大数据技术框架
                      (1)数据准备环节。在进行存储和处理之前,需要对数据进行清洗、整理,传统数据处理体系中称为ETL(Extracting,Transforming,Loading)过程。与以往数据分析相比,大数据的来源多种多样,包括企业内部数据库、互联网数据和物联网数据,不仅数量庞大、格式不一,质量也良莠不齐。这就要求数据准备环节一方面要规范格式,便于后续存储管理,另一方面要在尽可能保留原有语义的情况下去粗取精、消除噪声。
                      (2)数据存储与管理环节。当前全球数据量正以每年超过50%的速度增长,存储技术的成本和性能面临非常大的压力。大数据存储系统不仅需要以极低的成本存储海量数据,还要适应多样化的非结构化数据管理需求,具备数据格式上的可扩展性。
                      (3)计算处理环节。需要根据处理的数据类型和分析目标,采用适当的算法模型,快速处理数据。海量数据处理要消耗大量的计算资源,对于传统单机或并行计算技术来说,速度、可扩展性和成本上都难以适应大数据计算分析的新需求。分而治之的分布式计算成为大数据的主流计算架构,但在一些特定场景下的实时性还需要大幅提升。
                      (4)数据分析环节。数据分析环节需要从纷繁复杂的数据中发现规律提取新的知识,是大数据价值挖掘的关键。传统数据挖掘对象多是结构化、单一对象的小数据集,挖掘更侧重根据先验知识预先人工建立模型,然后依据既定模型进行分析。对于非结构化、多源异构的大数据集的分析,往往缺乏先验知识,很难建立显式的数学模型,这就需要发展更加智能的数据挖掘技术。
                      (5)知识展现环节。在大数据服务于决策支撑场景下,以直观的方式将分析结果呈现给用户,是大数据分析的重要环节。如何让复杂的分析结果易于理解是主要挑战。在嵌入多业务中的闭环大数据应用中,一般是由机器根据算法直接应用分析结果而无需人工干预,这种场景下知识展现环节则不是必需的。
                      总的来看,大数据对数据准备环节和知识展现环节来说只是量的变化,并不需要根本性的变革。但大数据对数据分析、计算和存储三个环节影响较大,需要对技术架构和算法进行重构,是当前和未来一段时间大数据技术创新的焦点。下面简要分析上述3个环节面临的挑战及发展趋势。
                      大数据技术创新
                      大数据技术体系纷繁复杂,其中一些技术创新格外受到关注。随着社交网络的流行导致大量非结构化数据出现,传统处理方法难以应对,数据处理系统和分析技术开始不断发展。从2005年Hadoop的诞生开始,形成了数据分析技术体系这一热点。伴随着量急剧增长和核心系统对吞吐量以及时效性的要求提升,传统数据库需向分布式转型,形成了事务处理技术体系这一热点。然而时代的发展使得单个企业甚至行业的数据都难以满足要求,融合价值更加显现,形成了数据流通技术体系这一热点。
                             数据分析技术
                             从数据在信息系统中的生命周期看,数据分析技术生态主要有5个发展方向,包括数据采集与传输、数据存储与管理、计算处理、查询与分析、可视化展现。在数据采集与传输领域渐渐形成了Sqoop、Flume、Kafka等一系列开源技术,兼顾离线和实时数据的采集和传输。在存储层,HDFS已经成为了大数据磁盘存储的事实标准,针对关系型以外的数据模型,开源社区形成了K-V(key-value)、列式、文档、图这四类NoSQL数据库体系,Redis、HBase、Cassandra、MongoDB、Neo4j等数据库是各个领域的领先者。计算处理引擎方面,Spark已经取代MapReduce成为了大数据平台统一的计算平台,在实时计算领域Flink是Spark Streaming强力的竞争者。在数据查询和分析领域形成了丰富的SQL on Hadoop的解决方案,Hive、HAWQ、Impala、Presto、Spark SQL等技术与传统的大规模并行处理(Massively Parallel Processor,MPP)数据库竞争激烈,Hive还是这个领域当之无愧的王者。在数据可视化领域,敏捷商业智能(Business Intelligence,BI)分析工具Tableau、QlikView通过简单的拖拽来实现数据的复杂展示,是目前最受欢迎的可视化展现方式。
                             相比传统的数据库和MPP数据库,Hadoop最初的优势来源于良好的扩展性和对大规模数据的支持,但失去了传统数据库对数据精细化的操作,包括压缩、索引、数据的分配裁剪以及对SQL的支持度。经过10多年的发展,数据分析的技术体系渐渐在完善自己的不足,也融合了很多传统数据库和MPP数据库的优点,从技术的演进来看,大数据技术正在发生以下变化:
                             (1)更快。Spark已经替代MapReduce成为了大数据生态的计算框架,以内存计算带来计算性能的大幅提高,尤其是Spark 2.0增加了更多了优化器,计算性能进一步增强。
                             (2)流处理的加强。Spark提供一套底层计算引擎来支持批量、SQL分析、机器学习、实时和图处理等多种能力,但其本质还是小批的架构,在流处理要求越来越高的现在,Spark Streaming受到Flink激烈的竞争。
                             (3)硬件的变化和硬件能力的充分挖掘。大数据技术体系本质是数据管理系统的一种,受到底层硬件和上层应用的影响。当前硬件的芯片的发展从CPU的单核到多核演变转化为向GPU、FPGA、ASIC等多种类型芯片共存演变。而存储中大量使用SSD来代替SATA盘,NVRAM有可能替换DRAM成为主存。大数据技术势必需要拥抱这些变化,充分兼容和利用这些硬件的特性。
                             (4)SQL的支持。从Hive诞生起,Hadoop生态就在积极向SQL靠拢,主要从兼容标准SQL语法和性能等角度来不断优化,层出不穷的SQL on Hadoop技术参考了很多传统数据库的技术。而Greenplum等MPP数据库技术本身从数据库继承而来,在支持SQL和数据精细化操作方面有很大的优势。
                             (5)深度学习的支持。深度学习框架出现后,和大数据的计算平台形成了新的竞争局面,以Spark为首的计算平台开始积极探索如何支持深度学习能力,TensorFlow on Spark等解决方案的出现实现了TensorFlow与Spark的无缝连接,更好地解决了两者数据传递的问题。
                             事务处理技术
                             随着移动互联网的快速发展,智能终端数量呈现爆炸式增长,银行和支付机构传统的柜台式交易模式逐渐被终端直接交易模式替代。以金融场景为例,移动支付以及普惠金融的快速发展,为银行业、支付机构和金融监管机构带来了海量高频的线上小额资金支付行为,生产业务系统面临大规模并发事务处理要求的挑战。
                             传统事务技术模式以集中式数据库的单点架构为主,通过提高单机的性能上限适应业务的扩展。而随着摩尔定律的失效(底层硬件的变化),单机性能扩展的模式走到了尽头,而数据交易规模的急速增长(上层应用的变化)要求数据库系统具备大规模并发事务处理的能力。大数据分析系统经过10多年的实践,积累了丰富的分布式架构的经验,Paxos、Raft等一致性协议的诞生为事务系统的分布式铺平了道路。新一代分布式数据库技术在这些因素的推动下应运而生。
                             如下图所示,经过多年发展,当前分布式事务架构正处在快速演进的阶段,综合学术界以及产业界工作成果,目前主要分为三类:
                             
                             事务型数据库架构演进图
                             (1)基于原有单机事务处理关系数据库的分布式架构改造:利用原有单机事务处理数据库的成熟度优势,通过在独立应用层面建立起数据分片和数据路由的规则,建立起一套复合型的分布式事务处理数据库的架构。
                             (2)基于新的分布式事务数据库的工程设计思路的突破。通过全新设计关系数据库的核心存储和计算层,将分布式计算和分布式存储的设计思路和架构直接植入数据库的引擎设计中,提供对业务透明和非侵入式的数据管理和操作/处理能力。
                             (3)基于新的分布式关系数据模型理论的突破。通过设计全新的分布式关系数据管理模型,从数据组织和管理的最核心理论层面,构造出完全不同于传统单机事务数据库的架构,从数据库的数据模型的根源上解决分布式关系数据库的架构。
                             分布式事务数据库进入到各行各业面临诸多挑战,其一是多种技术路线,目前没有统一的定义和认识;其二是除了互联网公司有大规模使用外,其他行业的实践刚刚开始,需求较为模糊,采购、使用、运维的过程缺少可供参考的经验,需要较长时间的摸索;其三是缺少可行的评价指标、测试方法和测试工具来全方位比较当前的产品,规范市场,促进产品的进步。故应用上述技术进行交易类业务进行服务时,应充分考虑“可持续发展”“透明开放”“代价可控”三原则,遵循“知识传递先行”“测试评估体系建立”“实施阶段规划”三步骤,并认识到“应用过度适配和改造”“可用性管理策略不更新”“外围设施不匹配”三个误区。
                             大数据事务处理类技术体系的快速演进正在消除日益增长的数字社会需求同旧式的信息架构缺陷,未来人类行为方式、经济格局以及商业模式将会随大数据事务处理类技术体系的成熟而发生重大变革。
                             数据流通技术
                             数据流通是释放数据价值的关键环节。然而,数据流通也伴随着权属、质量、合规性、安全性等诸多问题,这些问题成为了制约数据流通的瓶颈。为了解决这些问题,大数据从业者从诸多方面进行了探索。目前来看,从技术角度的探索是卓有成效和富有潜力的。
                             从概念上讲,基础的数据流通只存在数据供方和数据需方这两类角色,数据从供方通过一定手段传递给需方。然而,由于数据权属和安全的需要,不能简单地将数据直接进行传送。数据流通的过程中需要完成数据确权、控制信息计算、个性化安全加密等一系列信息生产和再造,形成闭合环路。
                             安全多方计算和区块链是近年来常用的两种技术框架。由于创造价值的往往是对数据进行的加工分析等运算的结果而非数据本身,因此对数据需方来说,本身不触碰数据、但可以完成对数据的加工分析操作,也是可以接受的。安全多方计算这个技术框架就实现了这一点。其围绕数据安全计算,通过独特的分布式计算技术和密码技术,有区分地、定制化地提供安全性服务,使得各参与方在无需对外提供原始数据的前提下实现了对与其数据有关的函数的计算,解决了一组互不信任的参与方之间保护隐私的协同计算问题。区块链技术中多个计算节点共同参与和记录,相互验证信息有效性,既进行了数据信息防伪,又提供了数据流通的可追溯路径。业务平台中授权和业务流程的解耦对数据流通中的溯源、数据交易、智能合约的引入有了实质性的进展。
               大数据产业体系
               随着大数据技术不断演进和应用持续深化,以数据为核心的大数据产业体系正在加速构建。大数据产业体系中主要包括大数据解决方案提供商、大数据处理服务提供商和数据资源提供商三个角色,分别向大数据的应用者提供大数据服务、解决方案和数据资源,如下图所示。
               
               大数据产业体系
                      大数据解决方案提供商
                      大数据解决方案提供商面向企业用户提供大数据一站式部署方案,覆盖数据中心和服务器等硬件、数据存储和数据库等基础软件、大数据分析应用软件以及技术运维支持等方面内容。其中,大数据基础软件和应用软件是大数据解决方案中的重点内容。当前,企业提供的大数据解决方案大多基于Hadoop开源项目,例如,IBM基于Hadoop开发的大数据分析产品BigInsights、甲骨文融合了Hadoop开源技术的大数据一体机、Cloudera的Hadoop商业版等。大数据解决方案提供商中,主要包括传统IT厂商和新兴的大数据创业公司。传统IT厂商主要有IBM、HP等解决方案提供商以及甲骨文、Teradata等数据分析软件商。它们大多以原有IT解决方案为基础,融合Hadoop,形成融合了结构化和非结构化两条体系的“双栈”方案。通过一系列收购来提升大数据解决方案服务能力,成为这些IT巨头的主要策略。
                      国际上也诞生了一批专门提供非结构化数据处理方案的新兴创业公司。这些公司包括Cloudera、Hortonworks、MapR等,它们主要基于Hadoop开源项目,开发Hadoop商业版本和基于Hadoop的大数据分析工具,单独或者与传统IT厂商合作提供企业级大数据解决方案。这些新兴大数据企业成为资本市场的热点。国内华为、联想、浪潮、曙光等一批IT厂商也都纷纷推出大数据解决方案。但总体上,国内大数据解决方案提供商实力较弱,产品一些关键行业还未形成影响力,新兴大数据解决方案初创企业也凤毛麟角。
                      大数据处理服务提供商
                      大数据处理服务提供商主要以服务的方式为企业和个人用户提供大数据海量数据分析能力和大数据价值挖掘服务。按照服务模式进行划分,大数据处理服务提供商可以分为以下四类。
                      第一类是在线纯分析服务提供商。此类服务商主要是互联网企业、大数据分析软件商和新创企业等,通过SaaS或PaaS云服务形式为用户提供服务。典型的服务如谷歌提供的大数据分析工具Big Query、亚马逊提供的云数据仓库服务RedShift、微软的Azure HDInsigh1010data提供的商业智能服务等。国内一些云服务商也逐步开始提供大数据相关云服务,如阿里云的开放数据处理服务(ODPS)、百度的大数据引擎、腾讯的数据云等。
                      第二类是既提供数据又提供分析服务的在线提供商。此类服务商主要是拥有海量用户数据的大型互联网企业,主要以SaaS形式为用户提供大数据服务,服务背后以自有大数据资源为支撑。典型的服务如谷歌Facebook的自助式广告下单服务系统、Twitter基于实时搜索数据的产品满意度分析等。国内百度推出的大数据营销服务“司南”就属于此类。
                      第三类是单纯提供离线分析服务的提供商。此类服务商主要为企业提供专业、定制化的大数据咨询服务和技术支持,主要集中为大数据咨询公司、软件商等,例如专注于大数据分析的奥浦诺管理咨询公司(Opera Solutions)、数据分析服务提供商美优管理顾问公司(Mu Sigma)等。
                      第四类是既提供数据又提供离线分析服务的提供商。此类服务商主要集中在信息化水平较高、数据较为丰富的传统行业。例如日本日立集团(Hitachi)于2013年6月初成立的日立创新分析全球中心,其广泛收集汽车行驶记录、零售业购买动向、患者医疗数据、矿山维护数据和资源价格动向等庞大数据信息,并基于收集的海量信息开展大数据分析业务。又如美国征信机构Equifax基于全球8000亿条企业和消费者行为数据,提供70余项面向金融的大数据分析离线服务。
                      大数据资源提供商
                      既然数据成为了重要的资源和生产要素,必然会产生供应与流通需求。数据资源提供商因此应运而生,它是大数据产业的特有环节,也是大数据资源化的必然产物。数据资源提供商,包括数据拥有者和数据流通平台两个主要类型。数据拥有者可以是企业、公共机构或者个人。数据拥有者通常直接以免费或有偿的方式为其他有需求的企业和用户提供原数据或者处理过的数据。例如美国电信运营商Verizon推出的大数据应用精准营销洞察(Precision Market Insights),将向第三方企业和机构出售其匿名化和整合处理后的用户数据。国内阿里巴巴公司推出的淘宝量子恒道、数据魔方和阿里数据超市等,属于此种类型。
                      数据数据流通平台是多家数据拥有者和数据需求方进行数据交换流通的场所。按平台服务目的不同,可分为政府数据开放平台和数据交易市场。
                      (1)政府数据开放平台。主要提供政府和公共机构的非涉密数据开放服务,属于公益性质。全球不少国家已经加入到开放政府数据行动,推出公共数据库开放网站,例如美国数据开放网站Data.gov已有超过37万个数据集、1209个数据工具、309个网页应用和137个移动应用,数据源来自171个机构。国内地方政府数据开放平台开始出现,如国家统计局的国家数据网站、北京市政府和上海市政府的信息资源平台等数据开放平台正在建设过程中。
                      (2)数据交易市场。商业化的数据交易活动催生了多方参与的第三方数据交易市场。国际上比较有影响力的有微软的AzureData Marketplace、被甲骨文收购的BlueKai、DataMarket、Factual、Infochimps、DataSift等等,主要提供地理空间、营销数据和社交数据的交易服务。大数据交易市场发展刚刚起步,在市场机制、交易规则、定价机制、转售控制和隐私保护等方面还有很多工作要做。国内,2014年2月,在北京市和中关村管委会指导下,中关村大数据交易产业联盟成立,将在国内推动国内大数据交易相关规范化方面开展工作。
               大数据对电子商务的发展影响
                      大数据更好地支撑了电子商务营销精准化和实时化
                      电子商务发展到今天,其营销平台、营销方式都发生了很大的改变。电子商务平台、移动终端、社交网络以及物联网等设备的使用大大增加了消费者数据,而云计算、复杂分析系统等大数据处理手段,为人们整合各个渠道消费者数据、形成有用的营销信息提供了可能。与传统的电子商务数据处理方式相比,大数据处理方式更快捷、更精细,它给我们科学分析消费者偏好及其消费行为轨迹提供巨大帮助。特别是在移动设备进入电子商务领域后,地理位置服务信息处理使电子商务一对一精准营销成为可能,极大程度提升了电子商务营销的准确性,有力地支撑了电子商务营销的精准化与实时化。
                      大数据更好地支撑了电子商务高度差异化和个性化
                      在传统电子商务营销背景下,企业与消费者总是处于双向信息不对称状态。一方面企业很难掌握消费者的消费行为和消费习惯,另一方面消费者了解企业产品的信息渠道相对较窄。进入大数据时代后,企业可以通过科学分析海量数据来获得更加丰富的消费者信息,从而针对不同消费者消费需求,提供特定的产品和服务,以最大限度地提高其满意度。消费者可以通过移动终端等渠道及时向电子商务企业传递信息,为企业进行个性化服务提供依据。由此可以推断,未来电子商务价值创造将会围绕消费者个性化需求展开,并将消费者纳入到企业产品设计与生产过程,实现共同的价值创造。
                      大数据进一步推进了价值链、供应链一体化
                      大数据等新型信息技术可以促进各个渠道的跨界数据整合,使所有围绕消费者消费行为的价值链、供应链企业成为一个整体。如大数据可以将地理位置不同、从事行业不同的研发、生产、加工、营销、仓储、配送、服务等各环节企业在满足消费者消费需求这一共同目的下组成动态联盟,通过彼此协作和创造,真正为消费者提供个性化产品和服务。相对于传统意义上的供应链,通过大数据连接起来的动态联盟反应速度更快、智能化程度更高,这既有利于联盟内企业的信息、资源共享,也有利于联盟内企业的分工协作,从而创造新的价值。
                      大数据推动了新型增值服务模式发展
                      电子商务中应用众多的新型信息技术产生了生产、消费、金融、物流等一系列大数据,这些本属于不同领域的大数据在被综合运用的过程中会产生新的融合,从而形成新的增值服务。如电子商务中产生的买卖双方信息、物流信息、金融信息,如果加以整合肯定能够使企业在市场竞争中处于比较有利的位置。在此基础上,企业还可以积极开展类似金融信用服务、供应链整合等增值服务。随着大数据的广泛应用,加之大数据分析手段创新,已经产生了互联网金融等多个增值服务,给包括电子商务企业在内的众多中小企业提供了新的发展空间。假以时日,大数据还会催生更多新型增值服务模式、产生众多的产业。
 
       带宽
        带宽是指介质能传输的最高频率和最低频率之间的差值,带宽通常用Hz表示。
 
       数据传输速率
        数据传输速率主要涉及比特率、信道带宽、波特率、奈奎斯特定理、香农定理、误码率等。
        1)比特率
        比特率指单位时间内所传送的二进制码元(码元是对于网络中传送的二进制数字中每一位的通称,也常称作"位"或比特(bit))的有效位数,以每秒多少比特数计,即b/s(或bps)。计算公式为
        S=(log2N/T
        式中:T为一个数字脉冲信号的宽度或重复周期,单位为秒(s);N为一个码元所取的离散值个数。
        通常N=2K,K为二进制信息的位数,K=log2NN=2时,S=1/T,表示数据传输速率等于码元脉冲的重复频率。
        2)信道带宽
        信道带宽W=f2-f1,其中f1是信道能通过的最低频率,f2是信道能通过的最高频率,两者都是由信道的物理特性决定的。为了使信号传输中的失真小些,信道要有足够的带宽。
        3)波特率
        波特率是指单位时间内传输的码元位数,以波特为单位,即Baud,通常用于表示调制解调器之间传输信号的速率。这里码元可以是二进制的,也可以是多进制的。计算公式为
        B=1/T
        式中:T为信号码元的宽度,单位为秒(s)。
        比特率和波特率的关系用下面公式所示,即
        S=Blog2NB=S/log2N
        4)奈奎斯特定理
        1924年,哈里.奈奎斯特(Harry Nyquist)就推导出了有限带宽无噪声信道的极限波特率,称为奈奎斯特(Nyquist)定理。若信道带宽为W,则最大码元速率为
        B=2W(Baud)
        奈奎斯特定理指定的信道容量也叫作奈奎斯特极限,这是由信道的物理特性决定的。超过奈奎斯特极限传送脉冲信号是不可能的,所以要进一步提高波特率必须改善信道带宽。
        码元携带的信息量由码元取的离散值个数决定。一个码元携带的信息量n(比特)与码元的种类数N有以下关系,即
        n=log2N
        即若码元取两个离散值,则一个码元携带1比特信息;若码元取4种离散值,则一个码元携带2比特信息。
        在一定的波特率下提高速率的途径是用一个码元表示更多的比特数。如果把2比特编码为一个码元,则数据速率可成倍提高,即
        R=Blog2N=2Wlog2N
        式中:R为数据速率,b/s。
        5)香农定理
        奈奎斯特定理是在无噪声的理想情况下的极限值。实际信道会受到各种噪声的干扰,因而远远达不到按奈奎斯特定理计算出的数据传送速率。香农的研究表明,有噪声信道的极限数据速率为
        C=Wlog2(1+S/N
        式中:W为信道带宽;S为信号的平均功率;N为噪声平均功率;S/N叫作信噪比。这个公式叫作香农(Shannon)定理。由于在实际使用中SN的比值太大,故常取其分贝数(dB)。分贝与信噪比的关系为
        dB=10 lg(S/N)
        例如,当S/N=1000时,信噪比为30dB。这个公式与信号取的离散值个数无关,也就是说,无论用什么方式调制,只要给定了信噪比,则单位时间内最大的信息传输量就确定了。例如,信道带宽为3000Hz,信噪比为30dB,则最大数据速率为
        C=3000log2(1+1000)≈3000×9.97≈30 000b/s
        这是极限值,只有理论上的意义。实际上,在3000Hz带宽的电话线上数据速率能达到9600b/s就很不错了。
        6)误码率
        误码率指信息传输的错误率,即已接收信息中错误比特数占总传输比特数的比例。它是衡量数据通信系统在正常工作情况下的传输可靠性的指标。在计算机网络中,一般要求误码率低于10-6。若误码率达不到这个指标,可通过差错控制方法检错和纠错。
        误码率公式为
        Pe=Ne/N
        式中:Ne为其中出错的位数;N为传输的数据总数。
 
       系统总线
        系统总线有时也称为内总线,其性能直接影响计算机的性能。常见的内总线标准有以下3种。
        (1)ISA(Industry Standard Architecture)总线。它是工业标准总线,向上兼容更早的PC总线,在PC总线62个插座信号的基础上,再扩充另一个36个信号的插座构成ISA总线。它主要包括24个地址线、16条数据线等。
        (2)EISA(Extended Industry Standard Architecture)总线。它是在ISA总线的基础上发展起来的36位总线。该总线定义32位地址线、32位数据线以及其他控制信号线、电源线等共196个连接点。总线传输速率达33Mb/s。该总线利用总线插座与ISA总线相兼容。
        (3)PCI(Peripheral Component Interconnection,外部设备组件互连)总线。当前最流行的总线之一,它是由Intel公司推出的一种局部总线。它定义了32位数据总线,且可扩展为64位。PCI总线的传输速率至少为133Mb/s,64位PCI总线的传输速率为266Mb/s。PCI总线的工作与处理器相互独立。PCI总线上的设备是即插即用的。
 
       总线
        所谓总线(Bus),是指计算机设备和设备之间传输信息的公共数据通道。总线是连接计算机硬件系统内多种设备的通信线路,它的一个重要特征是由总线上的所有设备共享,因此可以将计算机系统内的多种设备连接到总线上。
               总线的分类
               微机中的总线分为数据总线、地址总线和控制总线3类。不同型号的CPU芯片,其数据总线、地址总线和控制总线的条数可能不同。
               数据总线(Data Bus,DB)用来传送数据信息,是双向的。CPU既可通过DB从内存或输入设备读入数据,也可通过DB将内部数据送至内存或输出设备。DB的宽度决定了CPU和计算机其他设备之间每次交换数据的位数。
               地址总线(Address Bus,AB)用于传送CPU发出的地址信息,是单向的。传送地址信息的目的是指明与CPU交换信息的内存单元或I/O设备。存储器是按地址访问的,所以每个存储单元都有一个固定地址,要访问1MB存储器中的任一单元,需要给出220个地址,即需要20位地址(220=1M)。因此,地址总线的宽度决定了CPU的最大寻址能力。
               控制总线(Control Bus,CB)用来传送控制信号、时序信号和状态信息等。其中有的信号是CPU向内存或外部设备发出的信息,有的是内存或外部设备向CPU发出的信息。显然,CB中的每一条线的信息传送方向是单方向且确定的,但CB作为一个整体则是双向的。所以,在各种结构框图中,凡涉及控制总线CB,均是以双向线表示。
               总线的性能直接影响整机系统的性能,而且任何系统的研制和外围模块的开发都必须依从所采用的总线规范。总线技术随着微机结构的改进而不断发展与完善。
               在计算机的概念模型中,CPU通过系统总线和存储器之间直接进行通信。实际上在现代的计算机中,存在一个控制芯片的模块。CPU需要和存储器、I/O设备等进行交互,会有多种不同功能的控制芯片,称之为控制芯片组。对于目前的计算机结构来说,控制芯片集成在主板上,典型的有南北桥结构和单芯片结构。与芯片相连接的总线可以分为前端总线(FSB)、存储总线、I/O总线、扩展总线等。
                      南北桥芯片结构
                      北桥芯片直接与CPU、内存、显卡、南桥相连,控制着CPU的类型、主板的总线频率、内存控制器、显示核心等。前端总线(FSB)是将CPU连接到北桥芯片的总线。内存总线是将内存连接到北桥芯片的总线,用于和北桥之间的通信。显卡则通过I/O总线连接到北桥芯片。
                      南桥芯片主要负责外部设备接口与内部CPU的联系。其中,通过I/O总线将外部I/O设备连接到南桥,比如USB设备、ATA和SATA设备以及一些扩展接口。扩展总线则是指主板上提供的一些PCI、ISA等插槽。
                      单芯片结构
                      单芯片组方式取消了北桥。由于CPU中内置了内存控制器,不再需要通过北桥来控制,这样就能提高内存控制器的频率,减少延迟。还有一些CPU集成了显示单元,使得显示芯片的频率更高,延迟更低。
               常见总线
               常见总线包括:
               (1)ISA总线。ISA是工业标准总线,只能支持16位的I/O设备,数据传输率大约是16MB/s,也称为AT标准。
               (2)EISA总线。EISA是在ISA总线的基础上发展起来的32位总线。该总线定义32位地址线、32位数据线以及其他控制信号线、电源线、地线等共196个接点。总线传输速率达33MB/s。
               (3)PCI总线。PCI总线是目前微型机上广泛采用的内总线,采用并行传输方式。PCI总线有适于32位机的124个信号的标准和适于64位机的188个信号的标准。PCI总线的传输速率至少为133MB/s,64位PCI总线的传输速率为266MB/s。PCI总线的工作与CPU的工作是相互独立的,也就是说,PCI总线时钟与处理器时钟是独立的、非同步的。PCI总线上的设备是即插即用的。接在PCI总线上的设备均可以提出总线请求,通过PCI管理器中的仲裁机构允许该设备成为主控设备,主控设备与从属设备间可以进行点对点的数据传输。PCI总线能够对所传输的地址和数据信号进行奇偶校验检测。
               (4)PCI Express总线。PCI Express简称为PCI-E,采用点对点串行连接,每个设备都有自己的专用连接,不需要向整个总线请求带宽,而且可以把数据传输率提高到一个很高的频率。相对于传统PCI总线在单一时间周期内只能实现单向传输,PCI Express的双单工连接能提供更高的传输速率和质量。
               PCI Express的接口根据总线位宽不同而有所差异,包括X1、X4、X8以及X16(X2模式将用于内部接口而非插槽模式),其中X1的传输速度为250MB/s,而X16就是等于16倍于X1的速度,即是4GB/s。较短的PCI Express卡可以插入较长的PCI Express插槽中使用。PCI Express接口能够支持热拔插。同时,PCI Express总线支持双向传输模式,还可以运行全双工模式,它的双单工连接能提供更高的传输速率和质量,它们之间的差异与半双工和全双工类似。因此连接的每个装置都可以使用最大带宽。
               (5)前端总线。微机系统中,前端总线(Front Side Bus,FSB)是将CPU连接到北桥芯片的总线。选购主板和CPU时,要注意两者的搭配问题,一般来说,如果CPU不超频,那么前端总线是由CPU决定的,如果主板不支持CPU所需要的前端总线,系统就无法工作。也就是说,需要主板和CPU都支持某个前端总线,系统才能工作。通常情况下,一个CPU默认的前端总线是唯一的。北桥芯片负责联系内存、显卡等数据吞吐量最大的部件,并与南桥芯片连接。CPU通过前端总线(FSB)连接到北桥芯片,进而通过北桥芯片与内存、显卡交换数据。FSB是CPU和外界交换数据的最主要通道,因此FSB的数据传输能力对计算机整体性能作用很大,如果没足够快的FSB,再强的CPU也不能明显提高计算机整体速度。
               (6)RS-232C。RS-232C是一条串行外总线,其主要特点是所需传输线比较少,最少只需三条线(一条发、一条收、一条地线)即可实现全双工通信。传送距离远,用电平传送为15m,电流环传送可达千米。有多种可供选择的传送速率。采用非归零码负逻辑工作,电平≤-3V为逻辑1,而电平≥+3V为逻辑0,具有较好的抗干扰性。
               (7)SCSI总线。小型计算机系统接口(SCSI)是一条并行外总线,广泛用于连接软硬磁盘、光盘、扫描仪等。其中,SCSI-1是第一个SCSI标准,传输速率为5MB/s;Ultra2 SCSI的传输速率为80MB/s;Ultra160 SCSI也称Ultra3 SCSI LVD,传输速率为160MB/s;Ultra320 SCSI也称Ultra4 SCSI LVD,传输速率可高达320MB/s。
               (8)SATA。SATA是Serial ATA的缩写,即串行ATA。它主要用作主板和大量存储设备(如硬盘及光盘驱动器)之间的数据传输。SATA总线使用嵌入式时钟信号,具备了更强的纠错能力,与以往相比其最大的区别在于能对传输指令(不仅仅是数据)进行检查,如果发现错误会自动矫正,这在很大程度上提高了数据传输的可靠性。串行接口还具有结构简单、支持热插拔的优点。
               (9)USB。通用串行总线(USB)当前风头正劲,目前得到十分广泛的应用。USB由4条信号线组成,其中两条用于传送数据,另外两条传送+5V容量为500mA的电源。可以经过集线器(Hub)进行树状连接,最多可达5层。该总线上可接127个设备。USB 1.0有两种传送速率:低速为1.5Mb/s,高速为12Mb/s。USB 2.0的传送速率为480Mb/s。USB 3.0的传送速率为5Gb/s。USB总线最大的优点还在于它支持即插即用,并支持热插拔。
               (10)IEEE-1394。IEEE-1394是高速串行外总线,近几年得到广泛应用。IEEE-1394也支持外设热插拔,可为外设提供电源,省去了外设自带的电源,能连接多个不同设备,支持同步和异步数据传输。IEEE-1394由6条信号线组成,其中两条用于传送数据,两条传送控制信号,另外两条传送8~40V容量为1500mA的电源,IEEE-1394总线理论上可接63个设备。IEEE-1394的传送速率从400Mb/s、800Mb/s、1600Mb/s直到3.2Gb/s。
               (11)IEEE-488总线。IEEE-488是并行总线接口标准。微计算机、数字电压表、数码显示器等设备及其他仪器仪表均可用IEEE-488总线连接装配,它按照位并行、字节串行双向异步方式传输信号,连接方式为总线方式,仪器设备不需中介单元直接并联于总线上。总线上最多可连接15台设备。最大传输距离为20m,信号传输速率一般为500KB/s,最大传输速率为1MB/s。
   题号导航      2014年上半年 系统分析师 上午试卷 综合知识   本试卷我的完整做题情况  
1 /
2 /
3 /
4 /
5 /
6 /
7 /
8 /
9 /
10 /
11 /
12 /
13 /
14 /
15 /
 
16 /
17 /
18 /
19 /
20 /
21 /
22 /
23 /
24 /
25 /
26 /
27 /
28 /
29 /
30 /
 
31 /
32 /
33 /
34 /
35 /
36 /
37 /
38 /
39 /
40 /
41 /
42 /
43 /
44 /
45 /
 
46 /
47 /
48 /
49 /
50 /
51 /
52 /
53 /
54 /
55 /
56 /
57 /
58 /
59 /
60 /
 
61 /
62 /
63 /
64 /
65 /
66 /
67 /
68 /
69 /
70 /
71 /
72 /
73 /
74 /
75 /
 
第60题    在手机中做本题