免费智能真题库 > 历年试卷 > 系统分析师 > 2015年上半年 系统分析师 上午试卷 综合知识
  第48题      
  知识点:   信号量与PV操作   进程   进程的同步与互斥   同步与互斥
  关键词:   PV   进程        章/节:   操作系统       

 
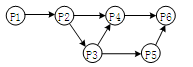
进程P1、P2、P3、P4、P5和P6的前趋图如下所示:

若用PV操作控制这6个进程的同步与互斥的程序如下,那么程序中的空①和空②处应分别为(48);空③和空④处应分别为(49);空⑤和空⑥处应分别为(50)。
 
 
  A.  V(S1)和P(S2)
 
  B.  P(S1)和V(S2)
 
  C.  V(S1)和V(S2)
 
  D.  V(S2)和P(S1)
 
 
 

  相关试题:操作系统          更多>  
 
  第14题    2022年上半年  
   31%
嵌入式系统已被广泛应用到各行各业。嵌入式系统是一个内置于设备中,对设备的各种传感器进行管理与控制的系统。通常,根据系统对..
  第48题    2020年下半年  
   35%
某文件管理系统在磁盘上建立了位示图(bitmap),记录磁盘的使用情况。若计算机系统的字长为32位(注:每位可以表示一个物理块“使..
  第50题    2020年下半年  
   32%
进程P1、P2、P3、P4和P5的前趋图如下所示:

若用pv操作控制这5个进程的同步与互斥的程序如下,那么程序中的空①和..
   知识点讲解    
   · 信号量与PV操作    · 进程    · 进程的同步与互斥    · 同步与互斥
 
       信号量与PV操作
        对于本知识点的考查,重点在于理解信号量与P、V操作的基本概念,能够正确地理解在互斥、同步方面的控制应用,并能够灵活地运用,相对来说是个难点。
        在操作系统中,进程之间经常会存在互斥(都需要共享独占性资源时)和同步(完成异步的两个进程的协作)两种关系。为了有效地处理这两种情况,W.Dijkstra在1965年提出信号量和P、V操作。
        (1)信号量:是一种特殊的变量,表现形式是一个整型S和一个队列。
        (2)P操作:S=S-1,若S<0,进程暂停执行,进入等待队列。
        (3)V操作:S=S+1,若S≤0,唤醒等待队列中的一个进程。
               互斥控制
               互斥控制是为了保护共享资源,不让多个进程同时访问这个共享资源,换句话说,就是阻止多个进程同时进入访问这些资源的代码段,这个代码段称为临界区,而这种一次只允许一个进程访问的资源称为临界资源。为了实现进程互斥地进入自己的临界区,代码可以如下所示:
               
               由于只允许一个进程进入,因此信号量S的初值应该为1。该值表示可以允许多少个进程进入,当S<0时,其绝对值就是等待使用临界资源的进程数,也就是等待队列中的进程数。而当一个进程从临界区出来时,执行V操作(S=S+1),如果等待队列中还有进程(S≤0),则调入一个新的进程进入(唤醒)。
               同步控制
               最简单的同步形式是进程A在另一个进程B到达L2以前,不应前进到超过点L1,这样就可以使用如下程序:
               
               因此,要确保进程B执行V操作之前,不让进程A的运行超过L1,就要设置信号量S的初值为0。这样,如果进程A先执行到L1,那么执行P操作(S=S-1)后,则S<0,就停止执行。直到进程B执行到L2时,将执行V操作(S=S+1),唤醒A以继续执行。
               生产者-消费者问题
               生产者-消费者是一个经典的问题,它不仅要解决生产者进程与消费者进程的同步关系,还要处理缓冲区的互斥关系,因此通常需要3个信号量来实现,如下表所示。
               
               生产者-消费者问题
               如果对缓冲区的读写无须进行互斥控制的话,那么就可以省去mutex信号量。
               理解P、V操作
               信号量与P、V操作的概念比较抽象,在历年的考试中总是难倒许多考生,其实主要还是没有能够正确地理解信号量的含义。
               (1)信号量与P、V操作是用来解决并发问题的,而在并发问题中最重要的是互斥与同步两个关系,也就是说只要有这两个关系存在,信号量就有用武之地。因此,在解题时,应该先从寻找互斥与同步关系开始。这个过程可以套用简单互斥、简单同步、生产者-消费者问题。
               (2)通常来说,一个互斥或一个同步关系可以使用一个信号量来解决,但要注意经常会忽略一些隐藏的同步关系。例如:在生产者-消费者问题中,就有两个同步关系,一个是判断是否还有足够的空间给生产者存放产物,另一个是判断是否有足够的内容让消费者使用。
               (3)信号量的初值通常就是表示资源的可用数。而且通常对于初始为0的信号量,会先做V操作。
               (4)在资源使用之前,将会使用P操作;在资源用完之后,将会使用V操作。在互斥关系中,P、V操作是在一个进程中成对出现的;而在同步关系中,则P、V操作一定是在两个进程甚至是多个进程中成对出现的。
               实际应用
               在考试时,可能会出现一些需要综合应用的问题,需要考生根据基本的概念,结合实际问题进行解答。
               例如:在某并发系统中,有一个发送进程A、一个接收进程B、一个环形缓冲区BUFFER、信号量S1S2。发送进程不断地产生消息并写入缓冲区BUFFER,接收进程不断地从缓冲区BUFFER取消息。假设发送进程和接收进程可以并发地执行,那么,当缓冲区的容量为N时,如何使用P、V操作才能保证系统的正常工作。发送进程A和接收进程B的工作流程如下图所示。请在下图中的(1)~(4)处填写正确的操作。
               
               P、V操作实例一
               根据题意,很显然,这是一个“生产者-消费者”问题,根据该问题的特性,通常需要3个信号量来实现:两个用来管理缓冲区同步,信号量empty表示空闲缓冲区数量,初值为缓冲区最大数N,信号量full表示已填充缓冲区数量,初值为0;一个用于管理互斥,由信号量mutex保证只有一个进程在写缓冲区,初值为1。但在本题中,进程A和进程B允许并发地访问缓冲区,因此无须管理互斥,就不需要使用信号量mutex了。因此只需定义两个信号量:S1S2,初值为NS1在此承担的是信号量empty的功能,初值为0的S2在此则承担的是信号量full的功能。
               通过这样的分析,不难得出:(1)处应该是P(S1),将空闲缓冲区数量减1;(2)处应该是V(S2),将已填充的缓冲区数量加1;(3)处则是P(S2),(4)处为V(S1)。
               在这个例子的基础上,如果系统中有多个发送进程和接收进程,进程间的工作流程如下图所示,其中空(1)~(4)的内容与上图相同。发送进程产生消息并顺序地写入环形缓冲区BUFFER,接收者进程顺序地从BUFFER中取消息,且每条消息只能读取一次。为了保证进程间的正确通信,增加了信息量SASB。请说明信息量SASB的物理意义,在下图中的(5)和(6)处填入正确的内容,并从下图的(a)~(l)中选择四个位置正确地插入P(SA),V(SA),P(SB),V(SB)。
               下图所涉及的问题在普通的“生产者-消费者”问题上增加了一些复杂度:“系统中有多个发送进程和接收进程”,根据题意,我们可以得知它要完成的控制是:发送进程顺序写入,接收进程顺序读取,而且每条消息都只能够读取一次。这显然是两个互斥的问题,即多个发送进程在写缓冲区时是互斥关系,多个接收进程读缓冲区也是互斥关系。因此,信号量SASB分别实现这两个用来完成两个进程的互斥控制。
               (1)SA:初值为1,表示允许同时对缓冲区进行写操作的进程数量。
               (2)SB:初值为1,表示允许同时对缓冲区进行读操作的进程数量。
               当然,两个对调也是可以的。在发送进程和接收进程中分别有一组信号量SASB的P、V操作。因此,接下来的问题就是找出插入点。互斥控制的要点在于判断出临界区的范围,也就是哪部分程序必须互斥进入,否则将出现问题。根据这一点,我们可以进行如下分析。
               
               P、V操作实例二
               (1)发送进程:在进程产生消息之后准备写入缓冲区时,这时就需要进行互斥判断,因此在位置(b)应插入P(SA);而直到完成“i=(i+1)modN”操作后,才完成缓冲区操作,因此必须在位置(f)插入V(SA)。
               (2)接收进程:由于接收进程是负责读数据的,如果数据区是空的则应该等待,因此必须先完成P(S2)操作,来决定其是否需要阻塞。如果没有阻塞时,再进入临界区,因此应该在位置(h)处操作P(SB);而“对读取的消息进行处理”已显然在临界区之外,因此应该在位置(k)插入V(SB)。
 
       进程
        简单而言,一个进程就是一个正在运行的程序。一般来说,一个进程至少应该包括以下几个方面的内容。
        .相应的程序:进程既然是一个正在运行的程序,当然需要有相应程序的代码和数据。
        .CPU上下文:指程序在运行时,CPU中各种寄存器的当前值,包括:程序计数器,用于记录将要取出的指令的地址;程序状态字,用于记录处理器的运行状态信息;通用寄存器,用于存放数据或地址;段寄存器,用于存放程序中各个段的地址;栈指针寄存器,用于记录栈顶的当前位置。
        .一组系统资源:包括操作系统用来管理进程的数据结构、进程的内存地址空间、进程正在使用的文件等。
        进程有动态性、独立性和并发行三个特性。
        (1)动态性。进程是一个正在运行的程序,而程序的运行状态是在不断地变化的。例如,当一个程序在运行的时候,每执行完一条指令,PC寄存器的值就会增加,指向下一条即将执行的指令。而CPU中用来存放数据和地址的那些通用寄存器,它们的值肯定也不断地变化。另外,堆和栈的内容也在不断地变化,每当发生一次函数调用时,就会在栈中分配一块空间,用来存放此次函数调用的参数和局部变量。而当函数调用结束后,这块栈空间就会被释放掉。
        (2)独立性。一个进程是一个独立的实体,是计算机系统资源的使用单位。每个进程都有自己的运行上下文和内部状态,在它运行的时候独立于其他的进程。
        (3)并发性。从宏观上来看,在系统中同时有多个进程存在,它们相互独立地运行。
        下图表示四个进程A、B、C、D在系统中并发地运行。从中可以看出,虽然从宏观上来说,这四个进程都是在系统中运行,但从微观上来看,在任何一个特定的时刻,只有一个进程在CPU上运行。从时间上来看,开始是进程A在运行,然后是进程B在运行,然后是进程C和进程D。接下来又轮到了进程A去运行。因此,在单CPU的情形下,所谓的并发性,指的是宏观上并发运行,而微观上还是顺序运行,各个进程轮流去使用CPU资源。
        
        四个进程在并发运行
        在具体实现上,以CPU中的程序计数器PC为例,真正物理上的PC寄存器只有一个。当四个进程在轮流执行时,PC取值的运动轨迹是先在进程A内部流动,然后再到进程B的内部流动,再到进程C和D。从进程的独立性角度来说,每个进程都有“自己”独立的PC寄存器,即逻辑上的PC寄存器,它们的取值相互独立、互不影响。所谓的逻辑PC,其实就是一个内存变量。例如,在上图中,当进程A要执行的时候,就把A的逻辑PC的值拷贝到物理PC中,然后开始运行。当轮到B运行的时候,先把物理PC的当前值保存到A的逻辑PC中,然后再把B的逻辑PC的值装入到物理PC中,即可运行。这样就实现了各个进程的轮流运行。
 
       进程的同步与互斥
        在多道程序设计系统中,同一时刻可能有许多进程,这些进程之间存在两种基本关系:竞争关系和协作关系。
        第一种是竞争关系,系统中的多个进程之间彼此无关,它们并不知道其他进程的存在。例如,批处理系统中建立的多个用户进程,分时系统中建立的多个终端进程。由于这些进程共用了一套计算机系统资源,因而,必然要出现多个进程竞争资源的问题。当多个进程竞争共享硬设备、变量、表格、链表、文件等资源时,可能导致处理出错。
        (1)进程的互斥(Mutual Exclusion)。
        是解决进程间竞争关系的手段。指若干个进程要使用同一共享资源时,任何时刻最多允许一个进程去使用,其他要使用该资源的进程必须等待,直到占有资源的进程释放该资源。临界区管理可以解决进程互斥问题。
        第二种是协作关系,某些进程为完成同一任务需要分工协作。
        (2)进程的同步(synchronization)。
        是解决进程间协作关系的手段。指一个进程的执行依赖于另一个进程的消息,当一个进程没有得到来自于另一个进程的消息时则等待,直到消息到达才被唤醒。
        不难看出,进程互斥关系是一种特殊的进程同步关系,即逐次使用互斥共享资源。
               生产者-消费者问题
               下面通过例子来进一步阐明进程同步的概念。著名的生产者-消费者(Producer-Consumer)问题是计算机操作系统中并发进程内在关系的一种抽象,是典型的进程同步问题。在操作系统中,生产者进程可以是计算进程、发送进程;而消费者进程可以是打印进程、接收进程等。解决好了生产者-消费者问题就解决好了一类并发进程的同步问题。
               生产者-消费者问题表述如下:有n个生产者和m个消费者,连接在一个有k个单位缓冲区的有界缓冲上,故又叫有界缓冲问题。其中,pi和cj都是并发进程,只要缓冲区未满,生产者pi生产的产品就可投入缓冲区;类似地,只要缓冲区不空,消费者进程cj就可从缓冲区取走并消耗产品。
               可以把生产者-消费者问题的算法描述如下。
               
               其中,假如一般的高级语言都有sleep()和wakeup()这样的系统调用。从上面的程序可以看出,算法是正确的,两进程顺序执行结果也正确。但若并发执行,就会出现错误结果,出错的根源在于进程之间共享了变量counter,对counter的访问未加限制。
               生产者和消费者进程对counter的交替执行会使其结果不唯一。例如,counter当前值为8,如果生产者生产了一件产品,投入缓冲区,拟做conuter加1操作。同时消费者获取一个产品消费,拟做counter减1操作。假如两者交替执行加或减1操作,取决于它们的进行速度,counter的值可能是9,也可能是7,正确值应为8。
               操作系统实现进程同步的机制称为同步机制,它通常由同步原语组成。不同的同步机制采用不同的同步方法,迄今己设计出许多同步机制,最常用的同步机制:信号量及PV,管程。
               记录型信号量与PV操作
               1965年荷兰的计算机科学家E.W.Dijkstra提出了新的同步工具——信号量和P、V操作。他将交通管制中多种颜色的信号灯管理交通的方法引入操作系统,让两个或多个进程通过信号量(semaphore)展开交互。信号量仅能由同步原语对其进行操作,原语是操作系统中执行时不可中断的过程,即原子操作(Atomic Action)。Dijkstra发明了两个同步原语:P操作和V操作(荷兰语中“测试(Proberen)”和“增量(verhogen)”的头字母。利用信号量和P、V操作既可以解决并发进程的竞争问题,又可以解决并发进程的协作问题。
               使用PV操作实现同步时,对共享资源的管理分散在各个进程之中,进程能直接对共享变量进行处理,因此,难以防止有意或无意的违法同步操作,而且容易造成程序设计错误。如果能把有关共享变量的操作集中在一起,就可使并发进程之间的相互作用更为清晰,更容易编写出正确的并发程序。
               管程
               在1974年和1975年,霍尔(Hoare)和汉森(Brinch Hansen)提出了一个新的同步机制——管程。把系统中的资源用数据结构抽象地表示出来,因此,对资源的管理就可用数据及在其上实施操作的若干过程来表示;对资源的申请和释放通过过程在数据结构上的操作来实现。而代表共享资源的数据及在其上操作的一组过程就构成了管程,管程被请求和释放资源的进程所调用。
               管程是一种程序设计语言结构成分,便于用高级语言来书写,它和信号量有同等的表达能力。管程是由若干公共变量及其说明和所有访问这些变量的过程所组成的;进程可以互斥地调用这些过程;管程把分散在各个进程中互斥地访问公共变量的那些临界区集中了起来。管程可以作为语言的一个成分,采用管程作为同步机制便于用高级语言来书写程序,也便于程序正确性验证。
 
       同步与互斥
        同步是合作进程间的直接制约问题,互斥是申请临界资源进程间的间接制约问题。
               进程间的同步
               在计算机系统中,多个进程可以并发执行,每个进程都以各自独立的、不可预知的速度向前推进,但是需要在某些确定点上协调相互合作进程间的工作。例如,进程A向缓冲区送数据,进程B从缓冲区取数据加工,当进程B要取数据加工时,必须是进程A完成了向缓冲区送数据的操作,否则进程B必须停下来等待进程A的操作结束。
               可见,所谓进程间的同步是指在系统中一些需要相互合作,协同工作的进程,这样的相互联系称为进程的同步。
               进程间的互斥
               进程的互斥是指系统中多个进程因争用临界资源而互斥执行。在多道程序系统环境中,各进程可以共享各类资源,但有些资源一次只能供一个进程使用,称为临界资源(Critical Resource,CR),如打印机、共享变量和表格等。
               临界区管理的原则
               临界区(Critical Section,CS)是进程中对临界资源实施操作的那段程序。对互斥临界区管理的4条原则如下:
               (1)有空即进。当无进程处于临界区时,允许进程进入临界区,并且只能在临界区运行有限的时间。
               (2)无空则等。当有一个进程在临界区时,其他欲进入临界区的进程必须等待,以保证进程互斥地访问临界资源。
               (3)有限等待。对于要求访问临界资源的进程,应保证进程能在有限的时间进入临界区,以免陷入“饥饿”状态。
               (4)让权等待。当进程不能进入自己的临界区时,应立即释放处理机,以免进程陷入忙等状态。
   题号导航      2015年上半年 系统分析师 上午试卷 综合知识   本试卷我的完整做题情况  
1 /
2 /
3 /
4 /
5 /
6 /
7 /
8 /
9 /
10 /
11 /
12 /
13 /
14 /
15 /
 
16 /
17 /
18 /
19 /
20 /
21 /
22 /
23 /
24 /
25 /
26 /
27 /
28 /
29 /
30 /
 
31 /
32 /
33 /
34 /
35 /
36 /
37 /
38 /
39 /
40 /
41 /
42 /
43 /
44 /
45 /
 
46 /
47 /
48 /
49 /
50 /
51 /
52 /
53 /
54 /
55 /
56 /
57 /
58 /
59 /
60 /
 
61 /
62 /
63 /
64 /
65 /
66 /
67 /
68 /
69 /
70 /
71 /
72 /
73 /
74 /
75 /
 
第48题    在手机中做本题