免费智能真题库 > 历年试卷 > 系统分析师 > 2019年上半年 系统分析师 上午试卷 综合知识
  第46题      
  知识点:   进程
  关键词:   进程        章/节:   操作系统       

 
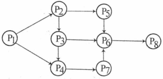
前趋图是一个有向无环图,记为→={(Pi,Pj)pi完成时间先于Pj开始时间}。假设系统中进P={P1,P2,P3,P4,P5,P6,P7,P8},且进程的前趋图如下:

那么,该前趋图可记为(46),图中(47)。
 
 
  A.  →={(P1,P2),(P1,P3),(P1,P4),(P2,P5),(P3,P2),(P3.P4).(P3,P6).(P4,P7),(P5,P8)
 
  B.  →={(P1,P2),(P1,P4),(P2,P3),(P2,P5),(P3,P4),(P3,P6),(P4,P7),(P5,P6),(P6,P8),(P7,P6)}
 
  C.  →={(P1,P2),(P1,P4),(P2,P5),(P3,P2),(P3,P4),(P3,P6),(P4,P6),(P4,p7),(p6,p8),(p7,P8)}
 
  D.  →={(P1,P2),(P1,P3),(P2,P4),(P2,P5),(P3,P2),(P3 ,P4),(P3,P5),(P4,P7),(P6,P8),(P7,P8)}
 
 
 

  相关试题:操作系统          更多>  
 
  第50题    2022年上半年  
   39%
程P1、P2、P3、P4、P5和P6的前趋图如下所示:

若用PV操作控制进程PI、P2、P3、P4、P5和P6并发执行的过程,则需要..
  第48题    2021年上半年  
   36%
某文件系统采用索引节点管理,其磁盘索引块和磁盘数据块大小均为4KB节,且每个文件索引节点有8个地址项iaddr[0]~iaddr[7],每个地..
  第43题    2024年上半年  
   0%
若读取(47)的某个磁盘块进行修改,将结果写回磁盘前系统崩溃,则对系统的影响相对较大。
   知识点讲解    
   · 进程
 
       进程
        简单而言,一个进程就是一个正在运行的程序。一般来说,一个进程至少应该包括以下几个方面的内容。
        .相应的程序:进程既然是一个正在运行的程序,当然需要有相应程序的代码和数据。
        .CPU上下文:指程序在运行时,CPU中各种寄存器的当前值,包括:程序计数器,用于记录将要取出的指令的地址;程序状态字,用于记录处理器的运行状态信息;通用寄存器,用于存放数据或地址;段寄存器,用于存放程序中各个段的地址;栈指针寄存器,用于记录栈顶的当前位置。
        .一组系统资源:包括操作系统用来管理进程的数据结构、进程的内存地址空间、进程正在使用的文件等。
        进程有动态性、独立性和并发行三个特性。
        (1)动态性。进程是一个正在运行的程序,而程序的运行状态是在不断地变化的。例如,当一个程序在运行的时候,每执行完一条指令,PC寄存器的值就会增加,指向下一条即将执行的指令。而CPU中用来存放数据和地址的那些通用寄存器,它们的值肯定也不断地变化。另外,堆和栈的内容也在不断地变化,每当发生一次函数调用时,就会在栈中分配一块空间,用来存放此次函数调用的参数和局部变量。而当函数调用结束后,这块栈空间就会被释放掉。
        (2)独立性。一个进程是一个独立的实体,是计算机系统资源的使用单位。每个进程都有自己的运行上下文和内部状态,在它运行的时候独立于其他的进程。
        (3)并发性。从宏观上来看,在系统中同时有多个进程存在,它们相互独立地运行。
        下图表示四个进程A、B、C、D在系统中并发地运行。从中可以看出,虽然从宏观上来说,这四个进程都是在系统中运行,但从微观上来看,在任何一个特定的时刻,只有一个进程在CPU上运行。从时间上来看,开始是进程A在运行,然后是进程B在运行,然后是进程C和进程D。接下来又轮到了进程A去运行。因此,在单CPU的情形下,所谓的并发性,指的是宏观上并发运行,而微观上还是顺序运行,各个进程轮流去使用CPU资源。
        
        四个进程在并发运行
        在具体实现上,以CPU中的程序计数器PC为例,真正物理上的PC寄存器只有一个。当四个进程在轮流执行时,PC取值的运动轨迹是先在进程A内部流动,然后再到进程B的内部流动,再到进程C和D。从进程的独立性角度来说,每个进程都有“自己”独立的PC寄存器,即逻辑上的PC寄存器,它们的取值相互独立、互不影响。所谓的逻辑PC,其实就是一个内存变量。例如,在上图中,当进程A要执行的时候,就把A的逻辑PC的值拷贝到物理PC中,然后开始运行。当轮到B运行的时候,先把物理PC的当前值保存到A的逻辑PC中,然后再把B的逻辑PC的值装入到物理PC中,即可运行。这样就实现了各个进程的轮流运行。
   题号导航      2019年上半年 系统分析师 上午试卷 综合知识   本试卷我的完整做题情况  
1 /
2 /
3 /
4 /
5 /
6 /
7 /
8 /
9 /
10 /
11 /
12 /
13 /
14 /
15 /
 
16 /
17 /
18 /
19 /
20 /
21 /
22 /
23 /
24 /
25 /
26 /
27 /
28 /
29 /
30 /
 
31 /
32 /
33 /
34 /
35 /
36 /
37 /
38 /
39 /
40 /
41 /
42 /
43 /
44 /
45 /
 
46 /
47 /
48 /
49 /
50 /
51 /
52 /
53 /
54 /
55 /
56 /
57 /
58 /
59 /
60 /
 
61 /
62 /
63 /
64 /
65 /
66 /
67 /
68 /
69 /
70 /
71 /
72 /
73 /
74 /
75 /
 
第46题    在手机中做本题