免费智能真题库 > 历年试卷 > 系统分析师 > 2022年上半年 系统分析师 上午试卷 综合知识
  第57题      
  知识点:   网络图
  关键词:   网络        章/节:   应用数学       

 
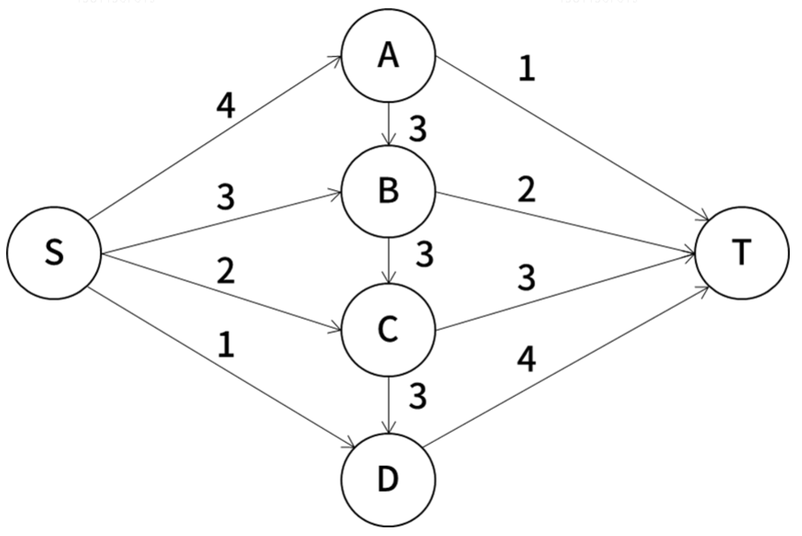
某地天然气输送管线网络图如下,每段管线旁的数字表示输气能力(单位:万立方米/小时)。根据该图,从源S到目的地T的最大输气能力为()万立方米/小时。
 
 
  A.  4
 
  B.  8
 
  C.  9
 
  D.  10
 
 
 

  相关试题:应用数学          更多>  
 
  第53题    2021年上半年  
   88%
某项目包括8个作业A~H,每天需要间接费用5万元,完成各作业所需的时间与直接费用、赶进度时每天需要增加的费用以及作业之间的衔接..
  第64题    2025年下半年  
   0%
某工厂每年需要铁矿原料100万吨,切假设全年对这种原料的消耗是均匀的。为了减少库存费用,准备平均分多批进货。库存费按平均年库..
  第57题    2016年上半年  
   69%
某地区仅有甲、乙两个企业为销售同种电子产品竞争市场份额。甲企业有三种策略A、B、C,乙企业也有三种策略Ⅰ、Ⅱ、Ⅲ。两企业分别..
   知识点讲解    
   · 网络图
 
       网络图
               网络计划技术
               甘特图虽然简单直观,但对于复杂的大型项目来说,很难清楚表明各项工作之间的逻辑关系,时间参数计算也不便,不能指出影响项目周期的关键所在,难以对计划在执行过程中进行明确的修改和调整。网络计划技术是指在应用网络模型的基础上,利用相关信息进行分析计算,通过对时间、费用、资源等要素的不断调整优化,并在工作过程中加强控制,以达到节省费用、缩短工期、提高工作效率,它是能有效实现项目目标的一种科学管理方法。网络计划技术的基本原理,可以归纳为以下4点。
               (1)把一个项目的全部实现过程分解成若干项工作,并按各项工作的开展顺序和相互制约关系,绘制成网络图形。
               (2)通过网络图时间参数计算,找出关键工作和关键线路。
               (3)利用最优化原理,不断改进网络计划的初始方案,寻求其最优方案。
               (4)在网络计划执行过程中,对其进行有限监督和控制,合理安排人力、物力和资源,以最少的资源消耗,获得最大的经济效果。
               网络图
               网络图是网络计划技术的基础。网络图是由箭线和节点组成,用来表示工作流程的方向、顺序的网状图形,一个网络图表示一个项目任务。网络图包含三个因素即作业、事件和路线。作业,是指一项工作或一道工序,需要消耗人力、物力和时间的具体活动过程,在网络图中作业用箭线或节点表示;事件是指某项作业的开始或结束,它不消耗任何资源和时间;路线,是指自网络始点开始,顺着箭线的方向,经过一系列连续不断的作业和事件直至网络终点的通道,一条路线上各项作业的时间之和是该路线的总长度(路长)。
               
               双代号网络图
               网络图有双代号网络图和单代号网络图两种。双代号网络图又称箭线式网络图,它是以箭线及其两端节点的编号表示工作,同时,节点表示工作的开始或结束以及工作之间的连接状态,如上图所示;单代号网络图又称节点式网络图,它是以节点及其编号表示工作,箭线表示工作之间的逻辑关系,如下图所示。
               
               单代号网络图
               网络图的绘制
               网络图中工作的表示方法如下图一和下图二所示。网络图中的节点都必须有编号,其编号严禁重复,并应使每一条箭线上箭尾节点编号小于箭头节点编号。在双代号网络图中,一项工作必须有唯一的一条箭线和相应的一对不重复出现的箭尾、箭头节点编号。因此,一项工作的名称可以用其箭尾和箭头节点编号来表示。可以允许存在虚箭线,虚箭线不代表实际工作,我们称之为虚工作。虚工作既不消耗时间,也不消耗资源。虚工作主要用来表示相邻两项工作之间的逻辑关系。但有时为了避免两项同时开始、同时进行的工作具有相同的开始节点和完成节点,也需要用虚工作加以区分。而在单代号网络图中,一项工作必须有唯一的一个节点及相应的一个代号,该工作的名称可以用其节点编号来表示。在单代号网络图中,虚拟工作只能出现在网络图的起点节点或终点节点处。
               
               双代号网络图工作表示法
               
               单代号网络图工作表示法
               工作之间先后顺序关系是项目逻辑关系的组成部分。工作关系可以被描述为紧前工作、紧后工作和平行工作。紧前工作、紧后工作及平行工作是工作之间逻辑关系的具体表现,只要能根据工作之间的关系明确其紧前或紧后关系,即可据此绘出网络图。它是正确绘制网络图的前提条件。
               (1)紧前工作。在网络图中,相对于某工作而言,紧排在该工作之前的工作称为该工作的紧前工作。在双代号网络图中,工作与其紧前工作之间可能有虚工作存在。
               (2)紧后工作。在网络图中,相对于某工作而言,紧排在该工作之后的工作称为该工作的紧后工作。在双代号网络图中,工作与其紧后工作之间也可能有虚工作存在。
               (3)平行工作。在网络图中,相对于某工作而言,可以与该工作同时进行的工作即为该工作的平行工作。
               在关于网络图的描述中还有几个相关概念:
               (1)先行工作和后续工作:先行工作指对于某工作而言,从网络图的第一个节点(起点节点)开始,顺箭头方向经过一系列箭线与节点到达该工作为止的各条通路上的所有工作。后续工作指相对于某工作而言,从该工作之后开始,顺箭头方向经过一系列箭线与节点到网络图最后一个节点(终点节点)的各条通路上的所有工作。
               (2)线路:网络图中从起点节点开始,沿箭头方向顺序通过一系列箭线与节点,最后到达终点节点的通路称为线路。线路既可依次用该线路上的节点编号来表示,也可依次用该线路上的工作名称来表示。如下图所示,该网络图中有2条线路,可表示为:①—②—③—⑤—⑥和①—②—④—⑤—⑥,也可表示为:A—B—D—F和A—C—E—F。
               
               双代号网络图
               网络图的绘图一般应遵循以下基本规则:
               (1)网络图必须按照已定的逻辑关系绘制。
               (2)网络图中严禁出现循环回路。
               (3)网络图中的箭线(包括虚箭线,以下同)应保持自左向右的方向,不应出现箭头指向左方的水平箭线和箭头偏向左方的斜向箭线。
               (4)网络图中严禁出现双向箭线和无箭头箭线,严禁出现没有箭尾节点的箭线和没有箭头节点的箭线。
               (5)严禁在箭线上引出箭线。
               (6)应避免出现交叉箭线,当不可避免时,可采用过桥法和指向法处理。
               (7)网络图中应只有一个起点节点和一个终点节点(任务中部分工作需要分期完成的网络计划除外)。除网络图的起点节点和终点节点外,不允许出现没有外向箭线的节点和没有内向箭线的节点。
               网络计划及参数计算
               网络计划是指在网络图上加注时间参数而编制的进度计划。网络时间参数是指网络计划及其工作、节点所具有的各种时间值。网络时间参数的计算应在各项工作的持续时间确定之后进行。
               (1)网络时间参数及含义。
               工作持续时间是指一项工作从开始到完成的时间。
               工作的最早开始时间(ES)是指在其所有紧前工作全部完成后,本工作有可能开始的最早时刻。工作的最早完成时间(EF)是指在其所有紧前工作全部完成后,本工作有可能完成的最早时刻。工作的最早完成时间等于本工作的最早开始时间与其持续时间之和。
               工作的最迟完成时间(LF)是指在不影响整个任务按期完成的前提下,本工作必须完成的最迟时刻。工作的最迟开始时间(LS)是指在不影响整个任务按期完成的前提下,本工作必须开始的最迟时刻。工作的最迟开始时间等于本工作的最迟完成时间与其持续时间之差。
               工作的总时差(TF)是指在不影响总工期的前提下,本工作可以利用的机动时间。工作的自由时差(FF)是指在不影响其紧后工作最早开始时问的前提下,本工作可以利用的机动时间。对于同一项工作而言,自由时差不会超过总时差。当工作的总时差为零时,其自由时差必然为零。
               (2)网络时间参数的计算。
               网络参数的计算应在确定各项工作的持续时间之后进行,网络计划的起点节点的最早开始时间为零。
               网络计划中各项工作的最早开始时间(ES)和最早完成时间(EF)的计算应从网络计划的起点节点开始,顺着箭线方向依次逐项计算。工作的最早开始时间等于该工作的各个紧前工作的最早完成时间的最大值,ES=max{紧前工作的EF};工作的最早完成时间等于该工作的最早开始时间加上其持续时间,EF=ES+本工作持续时间。
               网络计划中各项工作的最迟开始时间(LS)和最迟完成时间(LF)的计算应以项目规定或计算的工期为基准,从网络计划的终止节点,逆着箭线方向依次逐项计算。某工作的最迟完成时间等于该工作的各项紧后工作的最迟开始时间的最小值,LF=min{紧后工作的LS};最迟开始时间等于本项工作的最迟完成时间减本项工作的持续时间,LS=LF-工作的持续时间。
               某项工作总时差(TF)等于该工作最迟完成时间与最早完成时间之差,或该工作最迟开始时间与最早开始时间之差,TF=LF-EF或TF=LS-ES。
               某项工作自由时差(FF)的计算有两种情况,对于有紧后工作的工作,其自由时差等于本工作之紧后工作最早开始时间减本工作最早完成时间所得之差的最小值,FF=min{ES(紧后工作)}-EF;对于无紧后工作的工作,也就是以网络计划终点节点为完成节点的工作,其自由时差等于计划工期与本工作最早完成时间之差。
   题号导航      2022年上半年 系统分析师 上午试卷 综合知识   本试卷我的完整做题情况  
1 /
2 /
3 /
4 /
5 /
6 /
7 /
8 /
9 /
10 /
11 /
12 /
13 /
14 /
15 /
 
16 /
17 /
18 /
19 /
20 /
21 /
22 /
23 /
24 /
25 /
26 /
27 /
28 /
29 /
30 /
 
31 /
32 /
33 /
34 /
35 /
36 /
37 /
38 /
39 /
40 /
41 /
42 /
43 /
44 /
45 /
 
46 /
47 /
48 /
49 /
50 /
51 /
52 /
53 /
54 /
55 /
56 /
57 /
58 /
59 /
60 /
 
61 /
62 /
63 /
64 /
65 /
66 /
67 /
68 /
69 /
70 /
71 /
72 /
73 /
74 /
75 /
 
第57题    在手机中做本题