免费智能真题库 > 历年试卷 > 系统架构设计师 > 2010年下半年 系统架构设计师 上午试卷 综合知识
  第16题      
  知识点:   CPU   多处理机   多处理机系统
  关键词:   CPU   多处理机系统   处理机        章/节:   系统配置与性能评价       

 
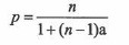
假设单个CPU的性能为1,则由个这种CPU组成的多处理机系统的性能P为:

其中,a是一个表示开销的常数。例如,a=0.1, n=4时,P约为3。也就是说,由4 个这种CPU组成的多机系统的性能约为3。该公式表明,多机系统的性能有一个上限,不管n如何增加,p都不会超过某个值。当a=0.1时,这个上限是(16)。
 
 
  A.  5
 
  B.  10
 
  C.  15
 
  D.  20
 
 
 

  相关试题:系统配置与性能评价          更多>  
 
  第16题    2018年下半年  
   54%
为了优化系统的性能,有时需要对系统进行调整。对于不同的系统,其调整参数也不尽相同。例如,对于数据库系统,主要包括CPU/内存..
  第39题    2010年下半年  
   51%
分布式系统开发中,通常需要将任务分配到不同的逻辑计算层。业务数据的综合计算分析任务属于(39).
  第47题    2025年上半年  
   0%
CPU的频率有主频、倍频和外频。某处理器外频是200MHz,倍频是13,该款处理器的主频是( )。
   知识点讲解    
   · CPU    · 多处理机    · 多处理机系统
 
       CPU
        CPU即中央处理器,它是计算机系统的核心部分。刚才所列的系统性能评价指标都是围绕CPU的。当然,这些指标的评价结果是建立在CPU与其他系统部件(如内存)的协同工作的基础上的。单就CPU而言,考察它在系统中的工作性能要关注CPU利用率、队列长度、每秒中断次数,等。
 
       多处理机
        多处理机系统是由多台处理机组成的系统,每台处理机有属于自己的控制部件,可以执行独立的程序,共享一个主存储器和所有的外部设备。它是多指令流多数据流计算机。在多处理机系统中,机间的互连技术决定着多处理机的性能。多处理机之间的互连,要满足高频带、低成本、连接方式的多样性以及在不规则通信情况下连接的无冲突性。
 
       多处理机系统
               多处理机系统的基本概念
               流水线处理器通过若干级流水的时间并行技术来获得高性能。并行处理器由多台处理机组成,每台处理机执行相同的程序。这两类处理器都是执行单个程序,可对向量或数组进行运算。这种系统结构能高效地执行适合于SIMD的程序,所以这类处理器对某些应用问题非常有效。但是有些大型题目在这种SIMD结构的处理器上运行并不那么有效,原因是这类问题没有对结构化数据进行重复运算的操作,它所要求的操作通常是非结构化的而且是不可预测的。要想解决这类问题并保持高性能,只能在多处理机结构中寻找出路。
               多处理机的系统结构由若干台独立的计算机组成,每台计算机能够独立执行自己的程序。Flynn称这种结构为MIMD(多指令流多数据流)结构。在多处理机系统中,处理机与处理机之间通过互连网络进行连接,从而实现程序之间的数据交换和同步。
               下图给出了多处理机系统的一般模型。系统中有n个处理机(P1到Pn),它们通过一个处理机存储器互连网络(PMIN)连接到一个共享的主存储器上,这些处理机之间通过共享主存储器进行通信。处理机间还可以有一个处理机互连网络(PPIN),PPIN通常用来从一台处理机向处理机发送中断信号,以达到进程同步的目的。此外,这些处理机还通过处理机-I/O互连网络(PIOIN)同各I/O设备连接。有时为了使系统简单,可以把全部I/O设备连接在一台I/O处理机或少数几台处理机上。
               
               多处理机系统模型
               多处理机的特点
               多处理机属于MIMD计算机,它和SIMD计算机的并行处理机相比,有很大的差别。它们的本质差别在于并行性级别的不同:多处理机要实现任务或作业一级的并行,而并行处理机只实现指令一级的并行。下面通过与并行处理机的比较,进一步说明多处理机系统的特点。
               (1)结构灵活性。并行处理机的结构主要是针对数组向量处理算法而设计的。结构特点是:处理单元(PE)数目很多甚至上万,但只需设置有限和固定的互连网络,即可满足一批并行性很高的算法的需要。而多处理机需要有较强的通用性。这就要求多处理机能适应更为多样的算法,具备更为灵活多变的系统结构以实现各种复杂的计算机间互联模式,同时还要解决共享资源的冲突问题。目前,多处理机中处理单元的数目还不可能做得很多。
               (2)程序并行性。并行处理机实现操作一级的并行,其并行性存在于指令内部,一条指令可以同时对整个数组进行处理,再加上系统具有的专用性特点,就使程序并行性的识别较易实现。在多处理机中,并行性存在于指令外部,即表现在多个任务之间,再加上系统通用性的要求,就使程序并行性的识别难度增大。因此,它必须利用多种途径,如算法、程序语言、编译、操作系统以至指令、硬件等,尽量挖掘潜在的并行性。
               (3)并行任务派生。并行处理机依靠单指令流对多数据流实现并行操作,即通过指令本身就可以启动多个PE并行工作。但多处理机处于多指令流操作方式,一个程序中就存在多个并发的程序段,需要采用专门的指令来表示并发关系,因此一个任务开始执行时能够派生出与它并行执行的另一些任务。如果任务数多于处理机数,多余的任务就进入排队器等待。
               (4)进程同步。并行处理机仅有一个控制部件CU,自然是同步的。而多处理机执行不同的指令,工作进度不会也不必保持相同。如果某个处理机先做完,那么就要停下来等待。当然如果发生数据相关和控制相关,那么处理机也要停下来等待。因此,在多处理机系统中要采取特殊的同步措施来确保程序按所要求的正确顺序进行。
               (5)资源分配和进程调度。并行处理机的PE是固定的,采用屏蔽手段可改变实际参加操作的PE数目。多处理机执行并发任务,需要的处理机数目不固定,各个处理机进入或退出任务的时刻不相同,所需共享资源的品种、数量又随时变化。因此提出了资源分配和进程调度问题,它对整个系统的效率有很大的影响。
   题号导航      2010年下半年 系统架构设计师 上午试卷 综合知识   本试卷我的完整做题情况  
1 /
2 /
3 /
4 /
5 /
6 /
7 /
8 /
9 /
10 /
11 /
12 /
13 /
14 /
15 /
 
16 /
17 /
18 /
19 /
20 /
21 /
22 /
23 /
24 /
25 /
26 /
27 /
28 /
29 /
30 /
 
31 /
32 /
33 /
34 /
35 /
36 /
37 /
38 /
39 /
40 /
41 /
42 /
43 /
44 /
45 /
 
46 /
47 /
48 /
49 /
50 /
51 /
52 /
53 /
54 /
55 /
56 /
57 /
58 /
59 /
60 /
 
61 /
62 /
63 /
64 /
65 /
66 /
67 /
68 /
69 /
70 /
71 /
72 /
73 /
74 /
75 /
 
第16题    在手机中做本题