免费智能真题库 > 历年试卷 > 系统架构设计师 > 2011年下半年 系统架构设计师 上午试卷 综合知识
  第3题      
  知识点:   信号量与PV操作
  章/节:   操作系统       

 
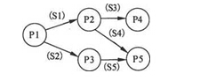
进程P1、P2、P3、P4和P5的前趋图如下:

若用PV操作控制进程P1?P5并发执行的过程,则需要设置5个信号量S1、S2、 S3、S4和S5,进程间同步所使用的信号量标注在上图中的边上,且信号量S1?S5的初值都等于零,初始状态下进程P1开始执行。下图中a、b和c处应分别填写(2) ; d 和e处应分别填写(3) , f和g处应分别填写(4) 。
 
 
  A.  P(S1)和V(S5)
 
  B.  V(S1)和P(S5)
 
  C.  P(S2)和V(S5)
 
  D.  V(S2)和P(S5)
 
 
 

  相关试题:操作系统          更多>  
 
  第70题    2025年下半年  
   0%
分页内存管理的核心是将虚拟内存空间和物理内存空间皆划分成大小相同的页面,并以页面作为内存空间的最小分配单位。下图给出了内..
  第2题    2018年下半年  
   35%
某计算机系统中的进程管理采用三态模型,那么下图所示的PCB(进程控制块)的组织方式采用(2),图中(3)。
  第3题    2018年下半年  
   22%
某计算机系统中的进程管理采用三态模型,那么下图所示的PCB(进程控制块)的组织方式采用(2),图中(3)。
   知识点讲解    
   · 信号量与PV操作
 
       信号量与PV操作
        对于本知识点的考查,重点在于理解信号量与PV操作的基本概念,能够正确地理解在互斥、同步方面的控制应用,并能够灵活地运用,相对来说是个难点。
        在操作系统中,进程之间经常会存在互斥(都需要共享独占性资源时)和同步(完成异步的两个进程的协作)两种关系。为了有效地处理这两种情况,W. Dijkstra在1965年提出信号量和PV操作。
        (1)信号量:是一种特殊的变量,表现形式是一个整型S和一个队列。
        (2)P操作:S=S-1,若S<0,进程暂停执行,进入等待队列。
        (3)V操作:S=S+1,若S≤0,唤醒等待队列中的一个进程。
               互斥控制
               互斥控制是为了保护共享资源,不让多个进程同时访问这个共享资源,换句话说,就是阻止多个进程同时进入访问这些资源的代码段,这个代码段称为临界区,而这种一次只允许一个进程访问的资源称为临界资源。为了实现进程互斥地进入自己的临界区,代码可以写为:
               
               由于只允许一个进程进入,因此信号量S的初值应该为1。该值表示可以允许多少个进程进入,当S<0时,其绝对值就是等待使用临界资源的进程数,也就是等待队列中的进程数。而当一个进程从临界区出来时,执行V操作(S=S+1),如果等待队列中还有进程(S≤0),则调入一个新的进程进入(唤醒)。
               同步控制
               最简单的同步形式是进程A在另一个进程B到达L2以前,不应前进到超过点L1,这样就可以使用如下程序:
               
               因此,要确保进程B执行V操作之前,不让进程A的运行超过L1,就要设置信号量S的初值为0。这样,如果进程A先执行到L1,那么执行P操作(S=S-1)后,则S<0,就停止执行。直到进程B执行到L2时,将执行V操作(S=S+1),唤醒A以继续执行。
               生产者-消费者问题
               生产者-消费者是一个经典的问题,它不仅要解决生产者进程与消费者进程的同步关系,还要处理缓冲区的互斥关系,因此通常需要3个信号量来实现,如下表所示。
               
               生产者-消费者问题
               如果对缓冲区的读写无须进行互斥控制的话,那么就可以省去mutex信号量。
               理解PV操作
               信号量与PV操作的概念比较抽象,在历年的考试中总是难倒许多考生,其实主要还是没有能够正确地理解信号量的含义。
               (1)信号量与PV操作是用来解决并发问题的,而在并发问题中最重要的是互斥与同步两个关系,也就是说只要有这两个关系存在,信号量就有用武之地。因此,在解题时,应该先从寻找互斥与同步关系开始。这个过程可以套用简单互斥、简单同步、生产者-消费者问题。
               (2)通常来说,一个互斥或一个同步关系可以使用一个信号量来解决,但要注意经常会忽略一些隐藏的同步关系。例如,在生产者-消费者问题中,就有两个同步关系,一个是判断是否还有足够的空间给生产者存放产物,另一个是判断是否有足够的内容让消费者使用。
               (3)信号量的初值通常就是表示资源的可用数。而且通常对于初始为0的信号量,会先做V操作。
               (4)在资源使用之前,将会使用P操作;在资源用完之后,将会使用V操作。在互斥关系中,PV操作是在一个进程中成对出现的;而在同步关系中,则PV操作一定是在两个进程甚至是多个进程中成对出现的。
               实际应用
               在考试时,可能会出现一些需要综合应用的问题,需要考生根据基本的概念,结合实际问题进行解答。
               例如,在某并发系统中,有一个发送进程A、一个接收进程B、一个环形缓冲区BUFFER、信号量S1S2。发送进程不断地产生消息并写入缓冲区BUFFER,接收进程不断地从缓冲区BUFFER取消息。假设发送进程和接收进程可以并发地执行,那么,当缓冲区的容量为N时,如何使用PV操作才能保证系统能够正常工作。发送进程A和接收进程B的工作流程如下图所示。请在下图中的①~④处填写正确的操作。
               
               PV操作实例一
               根据题意,很显然,这是一个“生产者-消费者”问题,根据该问题的特性,通常需要3个信号量来实现:两个用来管理缓冲区同步,信号量empty表示空闲缓冲区数量,初值为缓冲区最大数N,信号量full表示已填充缓冲区数量,初值为0;一个用于管理互斥,由信号量mutex保证只有一个进程在写缓冲区,初值为1。但在本题中,进程A和进程B允许并发地访问缓冲区,因此无须管理互斥,就不需要使用信号量mutex了。因此只需定义两个信号量:S1S2,初值为NS1在此承担的是信号量empty的功能,初值为0的S2在此则承担的是信号量full的功能。
               通过这样的分析,不难得出结论:①处应该是P(S1),将空闲缓冲区数量减1;②处应该是V(S2),将已填充的缓冲区数量加1;③处则是P(S2);④处为V(S1)。
               在这个例子的基础上,如果系统中有多个发送进程和接收进程,进程间的工作流程如下图所示,其中空①~④的内容与上图相同。发送进程产生消息并顺序地写入环形缓冲区BUFFER,接收者进程顺序地从BUFFER中取消息,且每条消息只能读取一次。为了保证进程间的正确通信,增加了信息量SASB。请说明信息量SA和SB的物理意义,在下图中的⑤和⑥处填入正确的内容,并从下图的~①中选择4个位置正确地插入P(SA)、V(SA)、P(SB)和V(SB)。
               
               PV操作实例二
               上图所涉及的问题在普通的“生产者-消费者”问题上增加了一些复杂度:“系统中有多个发送进程和接收进程”,根据题意,我们可以得知它要完成的控制是:发送进程顺序写入,接收进程顺序读取,而且每条消息都只能够读取一次。这显然是两个互斥的问题,即多个发送进程在写缓冲区时是互斥关系,多个接收进程读缓冲区也是互斥关系。因此,信号量SASB分别实现这两个用来完成两个进程的互斥控制。
               (1)SA:初值为1,表示允许同时对缓冲区进行写操作的进程数量。
               (2)SB:初值为1,表示允许同时对缓冲区进行读操作的进程数量。
               当然,两个对调也是可以的。在发送进程和接收进程中分别有一组信号量SASB的PV操作。因此,接下来的问题就是找插入点。互斥控制的要点在于判断出临界区的范围,也就是哪部分程序必须互斥进入,否则将出现问题。根据这一点,可以进行如下分析。
               (1)发送进程:在进程产生消息之后准备写入缓冲区时,这时就需要进行互斥判断,因此在位置应插入P(SA);而直到完成“i=(i+1)mod N”操作后,才完成缓冲区操作,因此必须在位置插入V(SA)。
               (2)接收进程:由于接收进程是负责读数据的,如果数据区是空的则应该等待,因此必须先完成P(S2)操作,来决定其是否需要阻塞。如果没有阻塞时,再进入临界区,因此应该在位置处操作P(SB);而“对读取的消息进行处理”已显然在临界区之外,因此应该在位置插入V(SB)。
   题号导航      2011年下半年 系统架构设计师 上午试卷 综合知识   本试卷我的完整做题情况  
1 /
2 /
3 /
4 /
5 /
6 /
7 /
8 /
9 /
10 /
11 /
12 /
13 /
14 /
15 /
 
16 /
17 /
18 /
19 /
20 /
21 /
22 /
23 /
24 /
25 /
26 /
27 /
28 /
29 /
30 /
 
31 /
32 /
33 /
34 /
35 /
36 /
37 /
38 /
39 /
40 /
41 /
42 /
43 /
44 /
45 /
 
46 /
47 /
48 /
49 /
50 /
51 /
52 /
53 /
54 /
55 /
56 /
57 /
58 /
59 /
60 /
 
61 /
62 /
63 /
64 /
65 /
66 /
67 /
68 /
69 /
70 /
71 /
72 /
73 /
74 /
75 /
 
第3题    在手机中做本题