免费智能真题库 > 历年试卷 > 系统架构设计师 > 2020年下半年 系统架构设计师 上午试卷 综合知识
  第6题      
  知识点:   函数依赖
  关键词:   AC   候选关键字   属性闭包   闭包        章/节:   数据库系统       

 
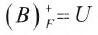
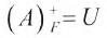
给出关系R(U,F), U= {A,B,C,D,E), F={A→B,D→C,BC→E,AC→B),求属性闭包的等式成立的是(6)。R的候选关键字为(7)。
 
 
  A. 
 
  B. 
 
  C. 
 
  D. 
 
 
 

  相关试题:数据库系统          更多>  
 
  第6题    2018年下半年  
   26%
给定关系R(A,B,C,D,E)与S(A,B,C,F,G),那么与表达式等价的SQL语句如下:
SELECT(5)FROM R,S  WHERE(6);
  第6题    2013年下半年  
   54%
假设关系模式R(U,F),属性集U={A,B,C},函数依赖集F={A→B,B→C}。若将其分解为p={Rl(U1,F1),R2(U2,F2)},其中U1={A,..
  第7题    2022年下半年  
   62%
给定关系模式R(U,F),其中U为属性集,F是U上的一组函数依赖,那么函数依赖的公理系统(Armstrong 公理系统)中的分解规则是指( )为..
   知识点讲解    
   · 函数依赖
 
       函数依赖
        设R(U)是属性U上的一个关系模式,X和Y是U的子集,r为R的任一关系,如果对于r中的任意两个元组u、v,只要有u[X]=v[X],就有u[Y]=v[Y],则称X函数决定Y,或称Y函数依赖于X,记为X→Y。
        从函数依赖的定义可以看出,如果有X→U在关系模式R(U)上成立,并且不存在X的任一真子集X'使X'→U成立,那么称X是R的一个候选键。也就是X值唯一决定关系中的元组。由此可见,函数依赖是键概念的推广,键是一种特殊的函数依赖。
        在R(U)中,如果X→Y,并且对于X的任何一个真子集X',都有X'→Y不成立,则称Y对X完全函数依赖。若X→Y,但Y不完全函数依赖于X,则称Y对X部分函数依赖。
        在R(U)中,如果X→Y(Y不是X的真子集),且Y→X不成立,Y→Z,则称Z对X传递函数依赖。
        设U是关系模式R的属性集,F是R上成立的只涉及U中属性的FD集,则有以下3条推理规则:
        (1)自反性:若YXU,则X→Y在R上成立。
        (2)增广性:若X→Y在R上成立,且ZU,则XZ→YZ在R上成立。
        (3)传递性:若X→Y和Y→Z在R上成立,则X→Z在R上成立。
        这里XZ,YZ等写法表示X∪Z,Y∪Z。上述三条推理规则是函数依赖的一个正确的和完备的推理系统。根据上述三条规则还可以推出其他三条常用的推理规则:
        (1)并规则:若X→Y和X→Z在R上成立,则X→YZ在R上成立。
        (2)分解规则:若X→Y在R上成立,且ZY,则X→Z在R上成立。
        (3)伪传递规则:若X→Y和WY→Z在R上成立,则WX→Z在R上成立。
        在关系模式R(U,F)中为F所逻辑蕴含的函数依赖全体叫做F的闭包,记作F+
        设F为属性集U上的一组函数依赖,X是U的子集,那么相对于F属性集X的闭包用X+表示,它是一个从F集使用推理规则推出的所有满足X→A的属性A的集合:
        X+={属性A|X→A在F+中}
        如果G+=F+,就说函数依赖集F覆盖G(F是G的覆盖,或G是F的覆盖),或F与G等价。
        如果函数依赖集F满足下列条件,则称F为一个极小函数依赖集,也称为最小依赖集或最小覆盖。
        (1)F中任一函数依赖的右部仅含有一个属性。
        (2)F中不存在这样的函数依赖X→A,使得F与F-{X→A}等价。
        (3)F中不存在这样的函数依赖X→A,X有真子集Z使得F-{X→A}∪{Z→A}与F等价。
   题号导航      2020年下半年 系统架构设计师 上午试卷 综合知识   本试卷我的完整做题情况  
1 /
2 /
3 /
4 /
5 /
6 /
7 /
8 /
9 /
10 /
11 /
12 /
13 /
14 /
15 /
 
16 /
17 /
18 /
19 /
20 /
21 /
22 /
23 /
24 /
25 /
26 /
27 /
28 /
29 /
30 /
 
31 /
32 /
33 /
34 /
35 /
36 /
37 /
38 /
39 /
40 /
41 /
42 /
43 /
44 /
45 /
 
46 /
47 /
48 /
49 /
50 /
51 /
52 /
53 /
54 /
55 /
56 /
57 /
58 /
59 /
60 /
 
61 /
62 /
63 /
64 /
65 /
66 /
67 /
68 /
69 /
70 /
71 /
72 /
73 /
74 /
75 /
 
第6题    在手机中做本题